求解方程y(x)=∫0xg(x,y(t))dt+h(x)的方法
【主要内容】
求满足方程y
(其中,g(x,u)是已知的连续函数,h(x)是已知的可微函数)的连续函数y(t)的步骤如下:
(1)将g(x,y(t))中的x移走,例如移出到积分号外,或通过适当的变量代换移到积分上限.
(2)经过上述处理后的方程两边对x求导(一次或两次)转换成微分方程,求解此微分方程(此时的初始条件可从所给的方程中得到),即得未知函数y(x)的表达式.
【典型例题】
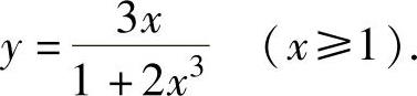
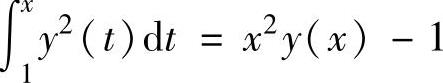
例4.6.1 求满足方程
的连续函数y(x)(x≥1).
精解 由y(x)连续知∫
可导,从而由所给方程知y(x)(x≥1)可导.因此,所给方程两边对x求导得
y2(x)=2xy(x)+x2y′(x),
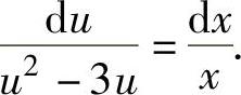
即
令y=xu,代入式(1)得
, 即
上式两边分别积分得
, 即
由此得到
(https://www.daowen.com)
由所给的方程知y(1)=1.将它代入式(2)得
,即C=-2.将它代入式(2)得

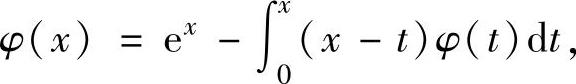
例4.6.2 设φ(x)是连续函数,且满足方程

求φ(x).
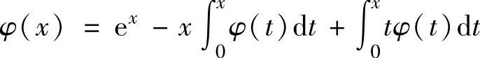
精解 将所给方程改写成

(即将被积函数中的x移出积分号),并在上式两边对x求导(由于φ(x)连续,所以由上列表达式知φ(x)可导)得

即
式(1)两边对x求导得
φ″(x)=ex-φ(x),即φ″(x)+φ(x)=ex.(2)
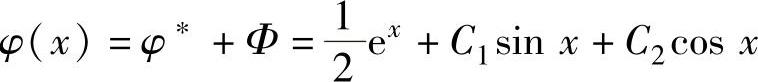
它有特解
.此外它对应齐次线性微分方程φ″(x)+φ(x)=0的通解为
Φ=C1sinx+C2cosx.因此式(2)的通解为
,(3)
并且
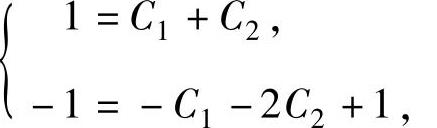
由题设中所给的方程及式(1)知φ(0)=1,φ′(0)=1.将它们代入式(3)和式(4)得
即
将它们代入式(3)得

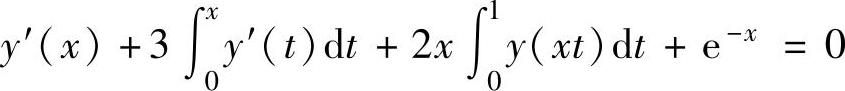
例4.6.3 设函数y(x)具有连续导数,且满足方程

及y(0)=1,求y(x)的表达式.
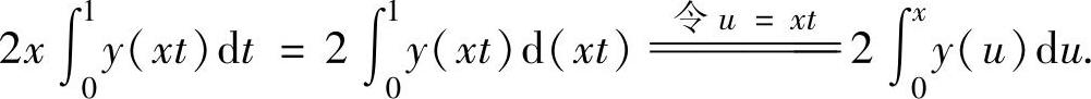
精解 首先应由变量代换u=xt将
中的x移到积分上限:

将它代入所给方程得

上式两边对x求导得y″+3y′+2y=e-x(二阶常系数非齐次线性微分方程)(1)
式(1)对应的齐次线性微分方程为y″+3y′+2y=0,(2)
它的特征方程r2+3r+2=0有根r=-1,-2,所以式(2)的通解为Y=C1e-x+C2e-2x.此外,式(1)有特解y∗=Axe-x.将它代入式(1)得(Axe-x)″+3(Axe-x)′+2(Axe-x)=e-x,
即A(x-2)e-x+3A(1-x)e-x+2Axe-x=e-x.
化简得A=1,所以式(1)有特解y∗=xe-x.从而式(1)的通解为y(x)=C1e-x+C2e-2x+xe-x,(3)
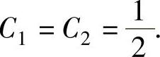
且y′(x)=-C1e-x-2C2e-2x+(1-x)e-x.(4)由题设知y(0)=1,此外由所给方程知y′(0)=-1,将它们代入式(3)、式(4)得
即C1=0,C2=1.将它们代入式(3)得所求的
y(x)=e-2x+xe-x.
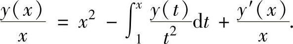
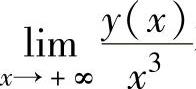
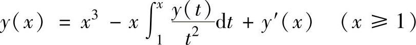
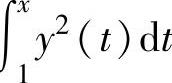
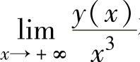
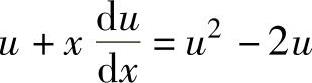
例4.6.4 设连续函数y(x)满足方程
,
且
存在,求y(x)的表达式.
精解 将
前的x除去得

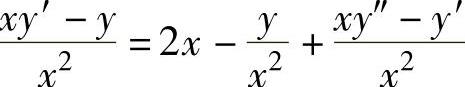
上式两边分别对x求导得
,
化简后得
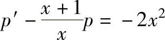
(可降阶的二阶微分方程)(1)
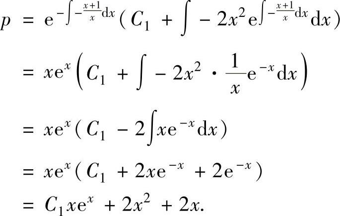
令p=y′,则式(1)成为
(一阶线性微分方程).
它的通解为

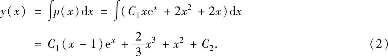
于是式(1)的通解为

下面确定式(2)中的C1与C2.
由
存在知C1=0,所以

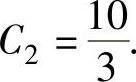
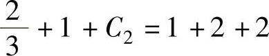
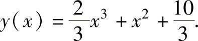
将x=1代入所给的方程得y(1)=1+y′(1).于是由式(3)得
,即
将它代入式(3)得