可降阶的二阶微分方程
【主要内容】
二阶微分方程的一般形式是F(x,y,y′,y″)=0(其中y″必定出现),它的标准形是y″=f(x,y,y′).
有三类二阶微分方程可降阶成一阶微分方程,然后求解,分别如下:
1.微分方程y″=f(x).
求这类微分方程通解的步骤如下:
(1)降阶成一阶微分方程
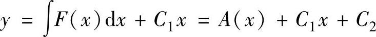
(2)于是二阶微分方程的通解为
(其中,

2.微分方程y″=f(x,y′)
求这类微分方程通解的步骤如下:
(1)令p=y′降阶为一阶微分方程p′=f(x,p),设它的通解为p=φ(x,C1),即

(2)求解式(∗)得二阶微分方程的通解为

3.微分方程y″=f(y,y′)
求这类微分方程通解的步骤如下:
(1)令p=y′降阶成一阶微分方程
设它的通解为p=φ(y,C1),即

(2)求解式(∗∗)得二阶微分方程的通解

【典型例题】
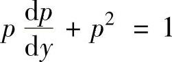
例4.3.1 求微分方程
的通解.
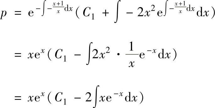
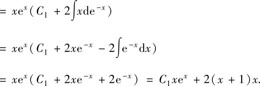
精解 所给微分方程是y″=f(x,y′)类型的二阶微分方程,所以令p=y′,则所给微分方程降阶为

式(1)的通解


由此得到

因此,原微分方程的通解为

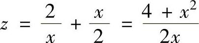
例4.3.2 求微分方程xy″+x(y′)2-y′=0满足
的特解.(https://www.daowen.com)
精解 所给微分方程是y″=f(x,y′)类型的二阶微分方程,所以令p=y′,则所给微分方程降阶成
,即
(n=2的伯努利方程).(1)
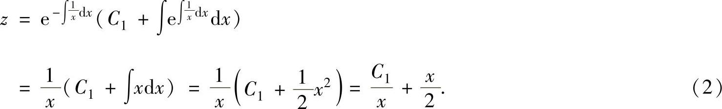
令z=p1-2=p-1,则(1)成为

它的通解为

由初始条件
得zx=2=2,将它代入式(2)得
,即C1=2.所以
,即
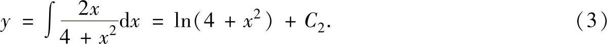
由此得到

从而原微分方程的通解为

将初始条件y(2)=0代入式(3)得0=ln8+C2,即C2=-3ln2.所以所求微分方程的
特解为
y=ln(4+x2)-3ln2.
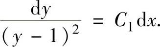
例4.3.3 求微分方程
的通解.
精解 所给微分方程是y″=f(y,y′)类型的二阶微分方程,令p=y′,则
将
它们代入所给的微分方程得
,
即
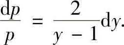
上式两边分别积分得
lnp=2ln(y-1)+lnC1,即p=C1(y-1)2.由此得到
,即
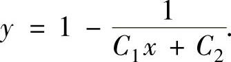
上式两边分别积分得原微分方程的通解为
,即
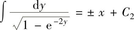
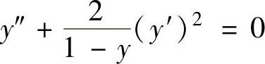
例4.3.4 求微分方程y″+(y′)2=1满足y(0)=y′(0)=0的特解.
精解 所给的微分方程是y″=f(y,y′)类型的二阶微分方程,令p=y′则
将
它们代入所给的微分方程得
,即
上式两边分别积分得
,即p2=C1e2y+1.(1)
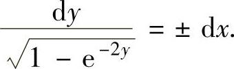
将y(0)=0,p(0)=y′(0)=0代入式(1)得C1=-1.于是式(1)成为p2=1-e-2y,即
.
由此得到
,即
上式两边分别积分得
,即
所以
将y(0)=0代入式(2)得C2=0.所以
,
即
,得
上式两边平方得e2y-1=e±2x-2e±xey+e2y,即
因此所求的特解为