级数收敛性的概念与收敛级数的性质
【主要内容】
1.级数收敛性的概念
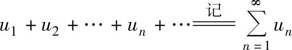
设数列{un},则称记号
为无穷级数,简称级数.记
,则称{sn}为级数
的部分和数列.如果{sn}收敛于s,则称级数
收敛,且称s
为该级数的和,记为
;如果{sn}发散,则称级数
发散.
2.收敛级数的基本性质
(1)如果级数
和
分别收敛于u与v,则级数
和
都收
敛,它们的和分别为u+v和u-v.
(2)如果级数
收敛,k为常数,则级数
收敛,且当
时,
(3)如果级数
收敛,则在它的前面任意添加有限项、去掉或改变它开头的有限项而成的级数仍收敛.
(4)如果级数
收敛,则对它的项任意加括号后所得级数仍收敛,且其和不变.
(5)如果级数收敛,则
(级数收敛的必要条件).
3.常用级数收敛性
(1)级数
收敛,且其和为1.
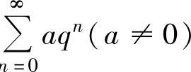
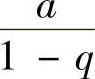
(2)等比级数
:当0<q<1时,
收敛,且其和为
;当q≥
1时,
发散.
(3)p级数
:当p>1时,
收敛;当p≤1时,
发散.
(4)
:当p>1或p=1而q>1时,
收敛;当p<1或p=1
而q≤1时,
发散.
【典型例题】
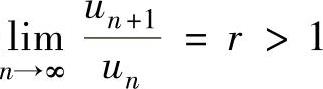
例4.8.1(单项选择题) 设有命题
① 如果
收敛,则
收敛.
② 如果
收敛,则
收敛.
③ 如果
,则
发散.
④ 如果
收敛,则
和
都收敛.则以上命题中正确的是( ).
A.①② B.②③ C.③④ D.①④(https://www.daowen.com)
精解 由收敛级数基本性质知,当
收敛时,
收敛,所以命题②正确.
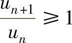
在假定
成立的情况下,必存在正整数N,当n≥N时有
,于是由
,即
知
,
所以
发散.所以命题③正确.
因此本题选B.
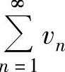
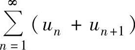
例4.8.2(单项选择题) 设由收敛级数
构造以下级数
①
,②
,
③
,④
,
则上面四个级数中必收敛的是( ).
A.①② B.②③ C.③④ D.①④
精解 由于③是对
两项加括号而成的级数,所以由收敛级数的基本性质知,③必收敛.
由于④是两个收敛级数
与
相加而成的级数,所以由收敛级数的基本性质
知,④必收敛.
因此本题选C.
注 (ⅰ)
未必收敛.例如
收敛,但
发散.
(ⅱ)
也未必收敛,例如
收敛,但
发散.
例4.8.3(单项选择题) 如果级数
,
都发散,则( ).
A.
必发散B.
必发散
C.
必发散D.
必发散
精解 选项A,B,D是不正确的.例如
,
都是发散级数,
但
,
都是收敛的.
因此本题选C.
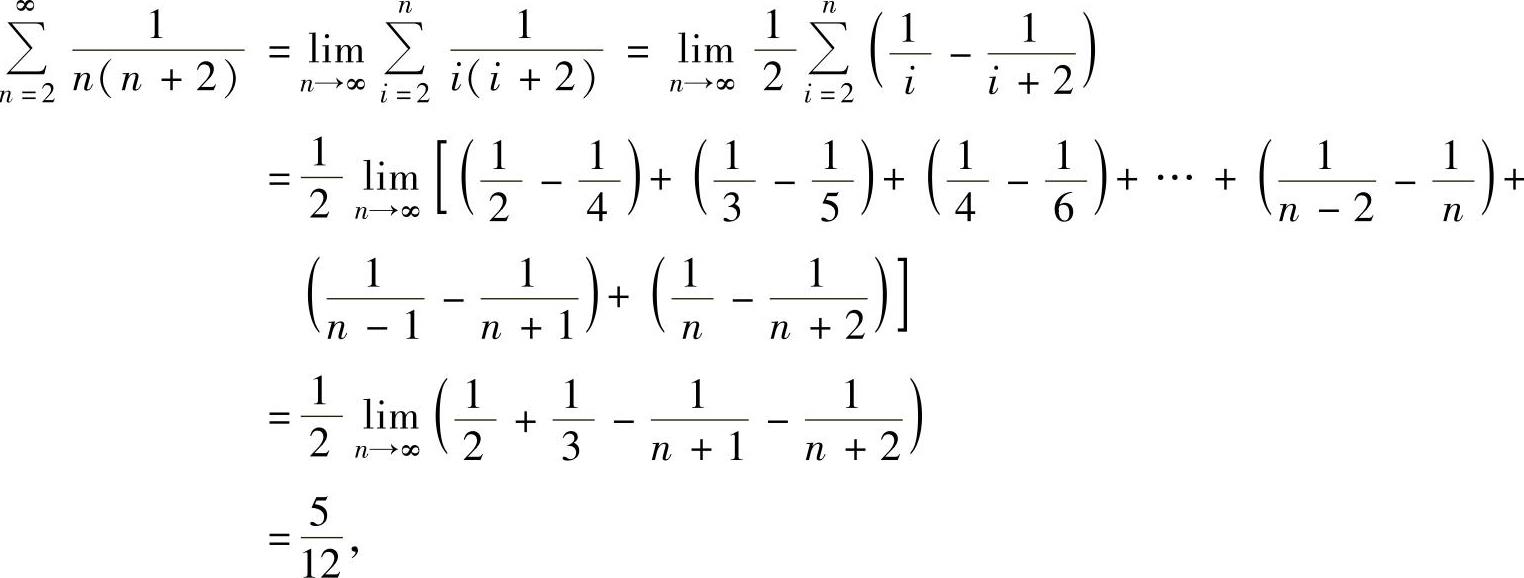
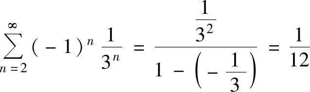
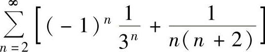
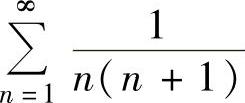
例4.8.4 求级数
的和.
精解
,

所以,