矩阵的初等变换、初等矩阵及矩阵等价
【主要内容】
1.矩阵的初等变换
矩阵的下列三种变换称为矩阵的初等行(列)变换:
(1)互换矩阵的两行(两列).
(2)用一个非零常数c乘矩阵的某行(某列),即用c乘某行(某列)的每个元素.
(3)矩阵某行(某列)的k倍加到另一行(另一列),即某行(某列)的每个元素的k倍,加到另一行(另一列)的对应元素.
矩阵的初等行变换与初等列变换,总称矩阵的初等变换.
2.初等矩阵
单位矩阵经过一次初等变换所得到的矩阵,称为初等矩阵.n阶初等矩阵有以下三类:
(1)

第i列 第j列(互换En的第i行(第i列)与第j行(第j列)后所得的n阶矩阵).
(2)

第i列(非零常数c乘En的第i行(第i列)后所得的n阶矩阵).
(3)

第i列 第j列(En的第j行的k倍加到第i行,或第i列的k倍加到第j列所得到的n阶矩阵).
注 (ⅰ)矩阵A的一次初等行(列)变换所得的矩阵等于A左(右)乘一个相应的初等矩阵.例如互换m×n矩阵A的第i行(列)与第j行(列)后的矩阵为B,则
B=Em(i,j)A(B=AEn(i,j));
(ⅱ)[En(i,j(k))]T=En(j,i(k)),[En(i(k),j)]T=En(j(k),i).
3.矩阵等价
设矩阵B是矩阵A经过有限次初等变换后得到的矩阵,则称A与B等价,记为A↔B.
设A,B,C都是m×n矩阵,则(https://www.daowen.com)
(1)A↔A.
(2)设A↔B,则B↔A.
(3)设A↔B,B↔C,则A↔C.
(4)设A↔B,则A等于B与若干个初等矩阵之积.
【典型例题】
例5.4.1 (单项选择题)设A是三阶矩阵,将A的第1列与第2列互换得矩阵B,再将B的第2列加到第3列得C,则满足AQ=C的矩阵Q=( ).

精解 Q应是题中所给的两个初等列变换所对应的初等矩阵之积,即

因此本题选D.
例5.4.2 设矩阵

,求矩阵PAQ
及APQ.
精解 P和Q都是三阶初等矩阵,所以可由初等变换直接算出PAQ及APQ.
PAQ是对A进行初等行变换(互换第1行与第2行)后,再进行初等列变换(将第3列的2倍加到第1列)而成的矩阵,所以

因此

APQ是对A进行初等列变换(互换第1列与第2列)后,再进行初等列变换(将第3列的2倍加到第1列)而成的矩阵,所以

因此

例5.4.3 设矩阵
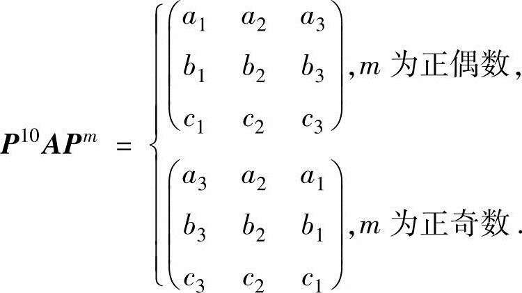
,求P10APm(其中,m是正整数).
精解 P是初等矩阵,P10A即为对A施行10次互换第1行与第3行的初等行变换而成的矩阵,所以
P10A=A.因此,P10APm=APm是对A施行m次互换第1列与第3列的初等列变换而成的矩阵,所以,当m为正偶数时,APm=A;当m为正奇数时,
从而
