n阶行列式按一行(或一列)展开
【主要内容】
设n阶行列式

则有
Dn=ai1Ai1+ai2Ai2+…+ainAin(Dn按第i行展开,i=1,2,…,n)
=a1jA1j+a2jA2j+…+anjAnj(Dn按第j列展开,j=1,2,…,n),其中,Aij是元素aij的代数余子式,即(-1)i+j与Dn中去掉第i行和第j列元素后的n-1阶行列式之积.
注ak1Ai1+ak2Ai2+…+aknAin=0(i=1,2,…,n,k=1,2,…,n,但k≠i),
a1kA1j+a2kA2j+…+ankAnj=0(j=1,2,…,n,k=1,2,…,n,但k≠j).
【典型例题】
例5.2.1 判断

是多少次多项式.
精解 利用行列式性质使某行有三个元素为零,然后按该行展开即可确定f(x)的次数.

由此可知f(x)是二次多项式.
例5.2.2 设5阶行列式

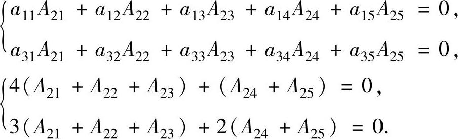
,分别求A21+A22+A23与A24+A25的值,
其中,A2j是D5的元素a2j的代数余子式(j=1,2,3,4,5).(https://www.daowen.com)
精解 A21,A22,A23,A24,A25是D5的第二行各个元素的代数余子式.为了计算A21+A22+A23与A24+A25的值,需要将行列式按第1行与第3行展开并构造以它们为未知数的方程组:
即
解此方程组得
A21+A22+A23=0,A24+A25=0.
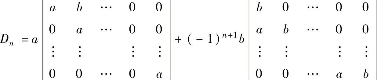
例5.2.3 求n阶行列式

精解 将Dn按第1列展开

(n-1)阶(n-1)阶
=a·an-1+(-1)n+1b·bn-1=an+(-1)n+1bn.
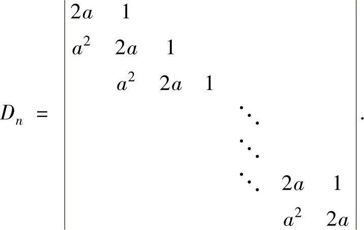
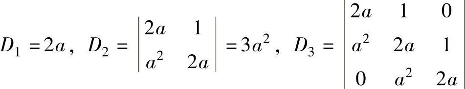
例5.2.4 求n阶行列式

精解 根据D1,D2,D3,…推出Dn的表达式,然后用数学归纳法证明这个表达式是正确的.
由Dn的定义知

=4a3,依次类推可得
Dn=(n+1)an.(1)
下面用数学归纳法证明式(1)是正确的.
显然式(1)对n=1,2,3都是成立的.设式(1)对小于n的情形都成立,例如,Dn-2=(n-1)an-2,Dn-1=nan-1,则

(n-2)阶
=2aDn-1-a2Dn-2=2a·nan-1-a2(n-1)an-2(这里利用了归纳法中的假设)=(n+1)an.
由此证得,对n=1,2,…式(1)都成立.