n阶行列式的概念
2026年01月14日
一
、n阶行列式的概念
1.n阶行列式的定义
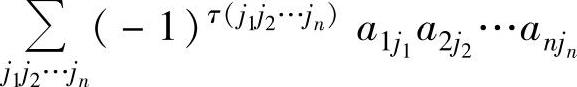
由n2个数aij(i=1,2,…,n;j=1,2,…,n)排成n行n列且其值为

这里,j1j2…jn是1,2,…,n的一个排列,τ(j1j2…jn)是它的逆序数,
表示对1,2,…,n的所
有不同排列j1j2…jn求和的记号

称为n阶行列式,记为Dn或D.
2.n阶行列式的性质
设D是n阶行列式,则
(1)D与它的转置行列式DT(即将D的第i列作为第i行(i=1,2,…,n)构成的行列式)相等,即DT=D.
(2)互换D的两行(或两列)后的行列式是D的相反数.
由此推得,当D中有两行(或两列)的元素对应相等时,D=0.
(3)用数k乘D的某行(或某列)的各个元素后的行列式等于kD.
由此推得,当D中有两行(或两列)的元素对应成比例时,D=0.
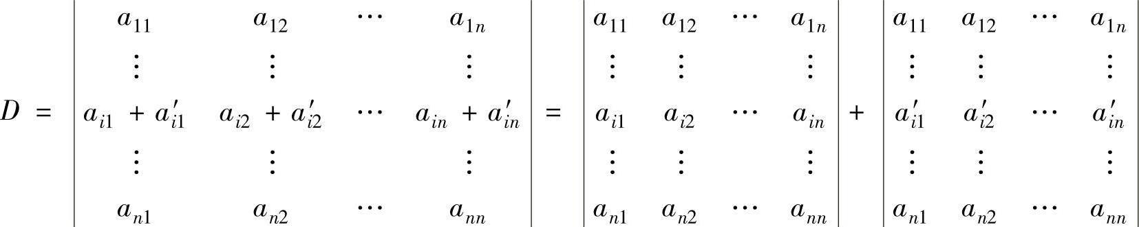
(4)如果D的某行(或某列)的各个元素都是两个数之和,则D等于相应的两个行列式之和,例如,

(5)将D的某行(或某列)的各个元素乘以数k加到另一行(或另一列)的对应元素后的行列式与D相等.
【典型例题】(https://www.daowen.com)
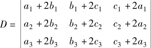
例5.1.1 设三阶行列式
,求
的值.
精解 利用行列式性质计算D的值.

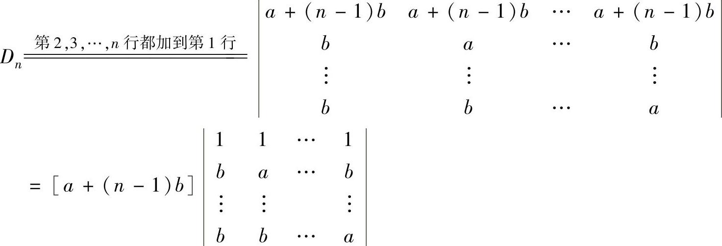
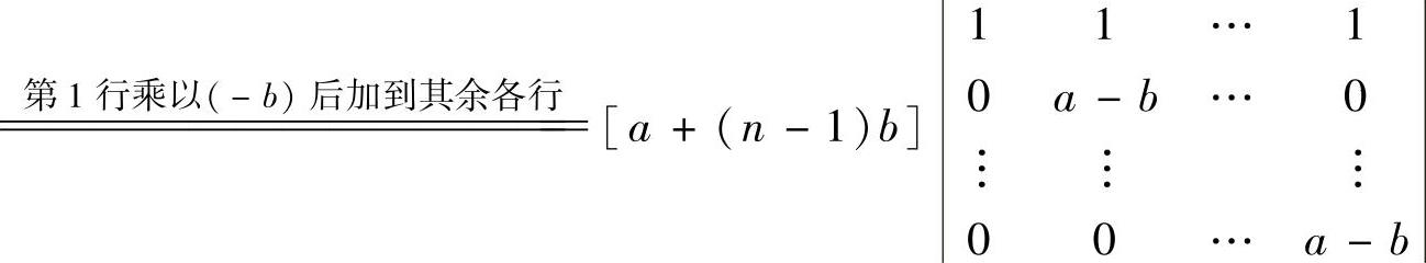
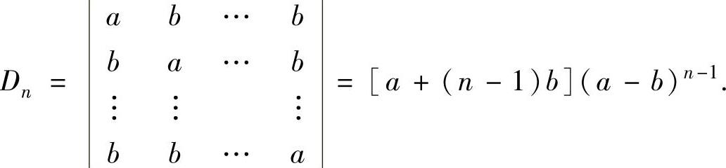
例5.1.2 计算n阶行列式

精解 利用行列式性质将Dn化为上三角行列式.


(上三角行列式)
=[a+(n-1)b](a-b)n-1.
注 本题的Dn在今后常会出现,应作为公式记住,即

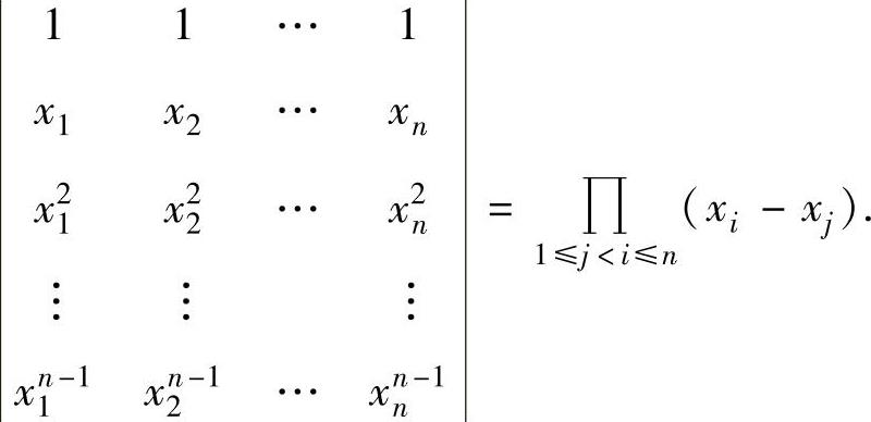
此外,还应记住n阶范德蒙德行列式

例5.1.3 计算n阶行列式

精解 利用行列式性质将Dn化为上三角行列式
