矩阵的加法、数乘、乘法、转置运算及分块矩阵
【主要内容】
1.矩阵的概念
由m×n个数aij(i=1,2,…,m;j=1,2,…,n)排成的m行n列的矩形表

称为m×n矩阵,aij称为A的第i行第j列的元素(i=1,2,…,m;j=1,2,…,n).当m=n时称A为n阶矩阵(或方阵),记它的行列式为|A|.
常见的特殊矩阵有:
(1)零矩阵.所有元素都为零的m×n矩阵称为m×n零矩阵,记为Om×n或O.
(2)单位矩阵.主对角线上元素都为1而其他元素都为零的n阶矩阵,称为n阶单位矩阵,记为En或E.
(3)对角矩阵.除主对角线上元素之外,所有元素都为零的n阶矩阵,称为n阶对角矩阵.
(4)对称矩阵与反对称矩阵.关于主对角线对称的元素彼此相等(或互为相反数)的n阶矩阵称为n阶对称矩阵(或n阶反对称矩阵).
2.矩阵的加法、数乘与转置运算
(1)加法
设矩阵A=(aij)m×n,B=(bij)m×n,则由A,B产生A+B=(aij+bij)m×n的运算,称为矩阵的加法运算,简称加法.
加法性质:设矩阵A=(aij)m×n,B=(bij)m×n,C=(cij)m×n,则
A+B=B+A,(A+B)+C=A+(B+C),
A+Om×n=A,A+(-A)=Om×n(其中,-A=(-aij)m×n).
(2)数乘
设矩阵A=(aij)m×n,k为常数,则由A产生kA=(kaij)m×n的运算,称为矩阵的数乘运算,简称数乘.
数乘的性质:设A=(aij)m×n,B=(bij)m×n,k,l是数,则
1·A=A,(k·l)A=k(lA)=l(kA),
k(A+B)=kA+kB,(k+l)A=kA+lA,
|kM|=kn|M|(M是n阶矩阵).
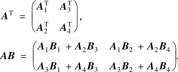
(3)转置
设
则由A产生

的运算称为矩阵
的转置运算,简称转置,称AT为A的转置矩阵.
设A是n阶矩阵,则A为对称矩阵(反对称矩阵)的充分必要条件是AT=A(AT=-A).
转置的性质:设A,B都是m×n矩阵,则
(AT)T=A, (A+B)T=AT+BT, (kA)T=kAT,
|MT|=|M|(M是n阶矩阵).
3.矩阵的乘法运算与乘幂
(1)设矩阵A=(aij)m×l,B=(bij)l×n,则由A,B产生

的运算称为A,B的乘法运算,简称乘法.
乘法的性质:设A,A1是m×l矩阵,B,B1是l×n矩阵,C是n×s矩阵,k是数,则
(AB)C=A(BC),
(A+A1)B=AB+A1B, A(B+B1)=AB+AB1,
(kA)B=A(kB)=k(AB),
(AB)T=BTAT,
|M1M2|=|M1||M2|(M1,M2都是n阶矩阵).(https://www.daowen.com)
(2)n阶矩阵的乘幂设A是n阶矩阵,则由A产生
的运算称为矩阵的乘幂运算,称Am
是A的m次乘幂,特别地,定义A0=En.
乘幂运算的性质:设A是n阶矩阵,k,l是非负整数,则
Ak·Al=Ak+l, (Ak)l=Akl.
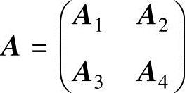
4.分块矩阵
用若干条纵线和横线将矩阵A分成一些小块(小矩阵),以这些小块为“元素”的矩阵称为A的分块矩阵(注意A的分块矩阵与A相等).
分块矩阵也有矩阵所具有的各种运算,只要把各小块看做元素即可,但需要注意的是各小块(即小矩阵)进行运算时,必须符合运算规则.
常见的分块矩阵运算有:
设

(其中,A1,A2,…,As都是方阵),
则

(k是非负整数),|A|=|A1||A2|…|As|.
设

(其中,A1,A2分别是m1×s1,m1×s2矩阵,A3,A4分别是m2×
s1,m2×s2矩阵)
(其中,B1,B3分别是s1×n1,s2×n1矩阵,B2,B4分别是s1×n2,s2×n2矩阵),
则有

【典型例题】
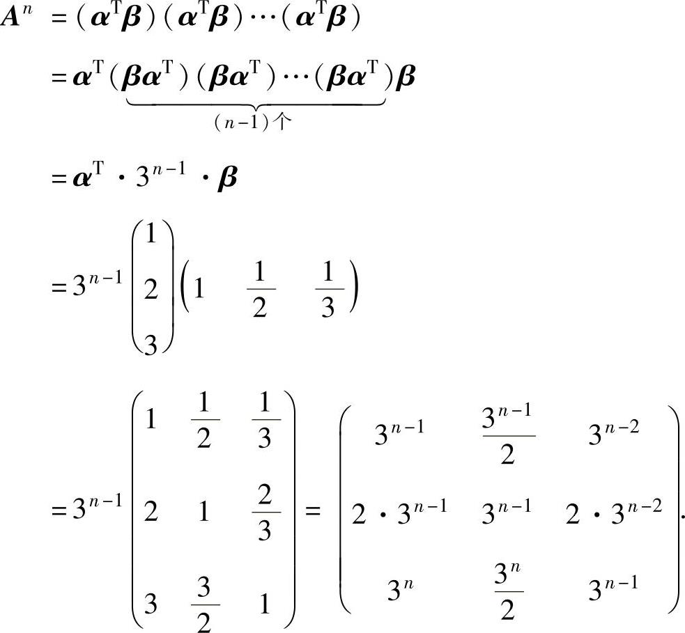
例5.3.1 已知α=(1 2 3),
记A=αTβ,求An.
精解 由于
,所以利用矩阵乘法性质计算An.

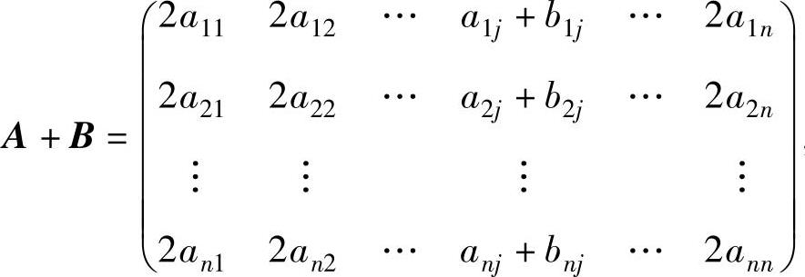
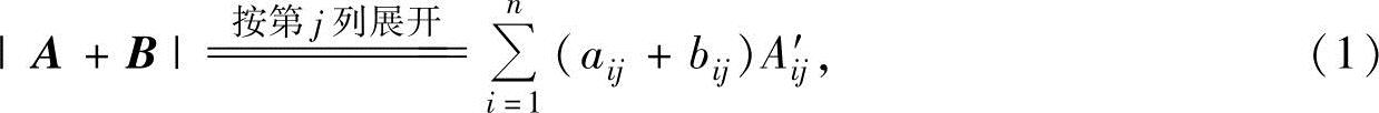
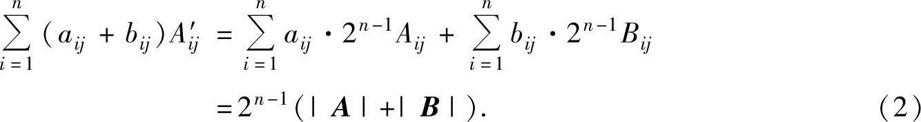
例5.3.2 已知n阶矩阵A,B只有第j列的对应元素不同,证明:
21-n|A+B|=|A|+|B|.
精解 由题意可设

则

,所以

其中,Aij′是|A+B|的第i行第j列元素的代数余子式,显然,它是|A|的元素aij的代数余子式Aij的2n-1倍,也是|B|的元素bij的代数余子式Bij的2n-1倍,i=1,2,…,n.于是

将式(2)代入式(1)得
|A+B|=2n-1(|A|+|B|),即21-n|A+B|=|A|+|B|.
例5.3.3 设n阶矩阵A,B,C满足AB=BC=CA=En,求A2+B2+C2.
精解 由AB=BC=CA=En得
A2=AEnA=A(BC)A=(AB)(CA)=E2n=En,
B2=BEnB=B(CA)B=(BC)(AB)=E2n=En,
C2=CEnC=C(AB)C=(CA)(BC)=E2n=En,
所以,A2+B2+C2=En+En+En=3En.
例5.3.4 设n阶矩阵A,B满足ATA=AAT=En,BTB=BBT=En,且|A|=-|B|,证明:|A+B|=0.
精解 由题设知,
|A+B|=|EnA+BEn|=|BBTA+BATA|
=|B||BT+AT||A|
=-|A|2|(A+B)T|=-|A|2|A+B|,即(1+|A|2)|A+B|=0.
由此推出|A+B|=0(因为1+|A|2>0).