(一维)随机变量的分布函数
【主要内容】
1.(一维)随机变量分布函数的定义与性质
设X是随机变量,则称F(x)=P(X≤x)(-∞<x<+∞)为X的分布函数.
分布函数的性质:设F(x)是X的分布函数,则
(1)0≤F(x)≤1;
(2)
(3)F(x)是单调不减函数;
(4)F(x)是右连续函数.特别地,当X是连续型随机变量时,F(x)是连续函数.
注 (ⅰ)以上(1)~(4)也是F(x)为某个随机变量的分布函数的充分条件.
(ⅱ)对于常数c,P(X=c)=F(c)-F(c-).
2.(一维)随机变量的分布函数与分布律或概率密度之间的关系
(1)离散型情形
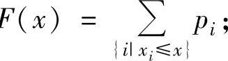
设X是离散型随机变量,当已知X的分布律为P(X=xi)=pi(i=1,2,…)时,X的分布函数F
当X的分布函数为F(x),其中x1,x2,…,xn,…是它的间断点时,X的分布律为P(X=xi)=F(xi)-F(xi-).
(2)连续型情形
设X是连续型随机变量,其分布函数F(x)与概率密度f(x)(-∞<x<+∞)之间有以下关系

【典型例题】
例7.6.1 (单项选择题)设F1(x),F2(x)都是分布函数,则( ).
A.F1(x)+F2(x)是分布函数 B.aF1(x)(常数a≠1)是分布函数
C.
D.max{F1(x),F2(x)}是分布函数
精解 利用分布函数的性质排除其中三个选项即可.对于选项A,B,由于

所以F1(x)+F2(x),aF1(x)都不是分布函数,即选项A,B都不能选.
此外
显然是错误的,所以选项C也不能选.
因此本题选D
例7.6.2 (单项选择题)设F1(x),F2(x)为两个分布函数,其相应的概率密度f1(x),f2(x)是连续函数,则必为概率密度的是( ).
A.f1(x)f2(x) B.2f1(x)F2(x)
C.f1(x)F2(x) D.f1(x)F2(x)+f2(x)F1(x)
精解 由F1(x),F2(x)是分布函数知F1(x)F2(x)也是分布函数(这是因为0≤F1(x)F2(x)≤1,limx→-∞F1(x)F2(x)=0,limx→-∞F1(x)F2(x)=1,F1(x)F2(x)是单调不减
而且右连续的函数),而且由f1(x),f2(x)连续知F1(x)F2(x)可导,其导数为概率密度,于是
f1(x)F2(x)+F1(x)f2(x)=[F1(x)F2(x)]′是概率密度.
因此本题选D.
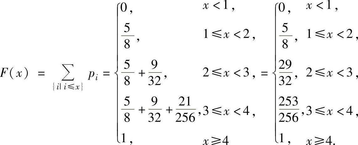
例7.6.3 设口袋里有5个白球,3个黑球,任取出1个球,如果是黑球不放回而另外放入一个白球,这样继续下去,直到取出白球为止,记X为直到取出白球时的取球的次数,求X的分布函数.
精解 先算出X的分布律,然后求出分布函数F(x).(https://www.daowen.com)
X可能取的值为1,2,3,4,并且
,
所以
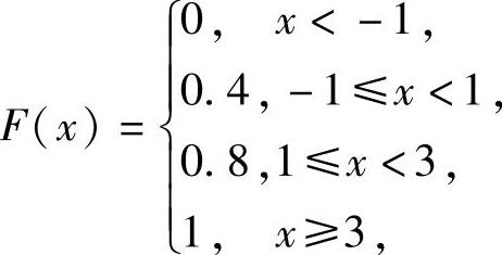
例7.6.4 设随机变量X的分布函数为

求X的分布律及概率P(-1.1<x<3).
精解 F(x)的间断点x=-1,1,3即为X可能取的值,所以X的分布律为

即

因此,P(-1.1<X<3)=P(X=-1)+P(X=1)=0.4+0.4=0.8.
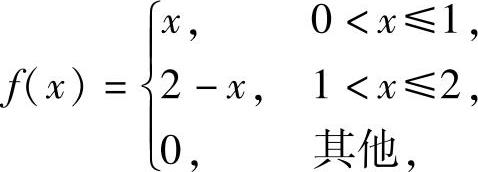
例7.6.5 设随机变量X的概率密度为

求X的分布函数F(x).
精解 由于
,其中f(x)是分段函数,因此对F(x)也与f(x)同样地分
四段计算.
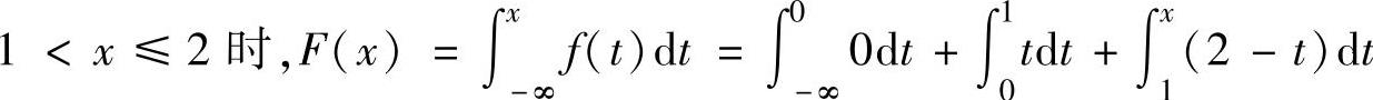
当x≤0时,
,
当0<x≤1时,
,
当
,
,
当x>2时,
,
所以,
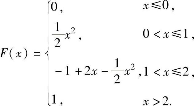
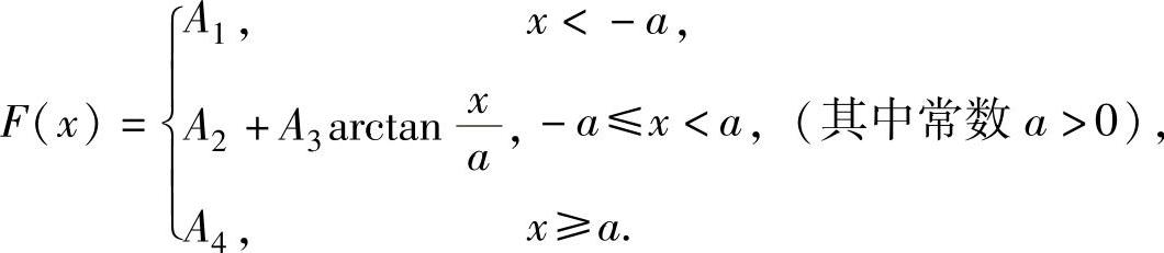
例7.6.6 设随机变量X的分布函数为

求:(1)使F(x)连续的常数Ai(i=1,2,3,4);
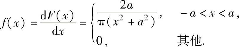
(2)X的概率密度f(x);
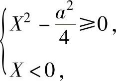
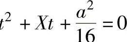
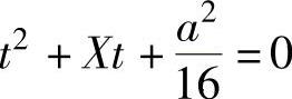
(3)二次方程
的两根都为正根的概率.
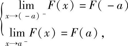
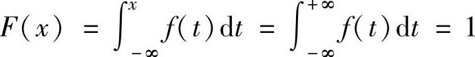
精解 (1)由于F(x)是分布函数,所以
{,即A1=0,A4=1.,
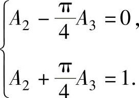
此外,为使F(x)连续,特别应使F(x)在点x=-a,a处连续,应有
,
即
(这里利用了A1=0,A4=1).
解此方程组得
,
(2)由(1)知
所以,
(注意,求导时,x=-a,a处的导数不必具体计算,可直接取为零.)
(3)方程
的两根都为正根的充分必要条件是

所以其概率为

