标准正态分布及其性质
【主要内容】
1.标准正态分布及其分布函数的性质
参数μ=0,σ=1的正态分布称为标准正态分布,记为N(0,1).
设X~Ν(0,1),则它的概率密度与分布函数分别为

Φ(x)除了具有一般分布函数的性质外,还有以下性质:
(1)Φ(x)是连续可导函数;
(2)
(3)Φ(-x)=1-Φ(x);
(4)当随机变量X~N(μ,σ2)时,概率
和

2.标准正态分布的上α分位数
设X~N(0,1),则称满足P(X>zα)=α(0<α<1)的实数zα为标准正态分布的上α分位数(或上α分位数),zα具有以下性质:对α∈(0,1)有
z1-α=-zα.
【典型例题】
例7.7.1 (单项选择题)设随机变量X~N(μ,42),Y~N(μ,52),记p1=P(X≤μ-4),p2=P(Y≥μ+5),则( ).
A.对任意实数μ,都有p1=p2
B.只对个别实数μ,有p1=p2
C.对任意实数μ,都有p1<p2
D.对任意实数μ,都有p1>p2
精解 利用ξ∈N(μ,σ2)的概率
寻找正确的选项.
由于对任意实数μ有
,
,
所以p1=p2.
因此本题选A.
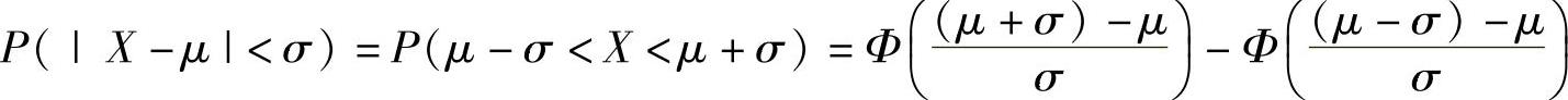
例7.7.2 (单项选择题)设随机变量X~N(μ,σ2),则随σ的增大,概率P(|X-μ|<σ)( ).
A.单调增加 B.单调减少 C.保持不变 D.增减不定(https://www.daowen.com)
精解 利用X~N(μ,σ2)的概率
寻找正确的选项.
由于
=Φ(1)-Φ(-1)(常数),所以,概率P(|X-μ|<σ)不随σ的增大而变化.
因此本题选C.
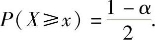
例7.7.3 (单项选择题)设X~N(0,1),uα是N(0,1)的上α分位点(0<α<1).如果P(|X|<x)=α,则x等于( ).
A.
B.
C.
D.u1-α
精解 根据N(0,1)的上α分位点定义计算x,从而确定正确选项.
由P(|X|<x)=α得1-P(|X|≥x)=α,即P(|X|≥x)=1-α.从而有

于是,由N(0,1)的上α分位点定义知,x是上
分位点,即
因此本题选C.
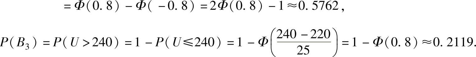
例7.7.4 服从N(220,252)的电源电压U(单位:V)通常有三种状态:不超过220V,220~240V及超过240V.在上述三种状态下,某电子元件损坏的概率分别为0.1,0.001,0.2.求电子元件损坏的概率α(已知Φ(0.8)=0.7881).
精解 引入事件:
A={电子元件损坏},
B1={电源电压不超过200V},
B2={电源电压在220~240V},
B3={电源电压超过240V},
则A与B1,B2,B3有关,且B1,B2,B3是先于A发生的完全事件组,所以由全概率公式得
P(A)=P(B1)P(A|B1)+P(B2)P(A|B2)+P(B3)P(A|B3),(1)其中,P(A|B1)=0.1,P(A|B2)=0.001,P(A|B3)=0.2.下面计算P(Bi)(i=1,2,
3).
由于U~N(220,252),所以


将它们代入式(1)得
P(A)=0.1×0.2119+0.001×0.5762+0.2×0.2119=0.0642.