(一元)随机变量函数的分布
【主要内容】
设随机变量X的分布(分布函数,分布律或概率密度)已知,则称X的函数Y=g(X)(其中y=g(x)是已知函数)的分布为(一元)随机变量函数的分布.
1.离散型情形
设X是离散型随机变量,其分布律(以X取有限个值为例)为

则 Y=g(X)的分布律可按以下步骤计算:
(1)计算Y全部可能取的值g(x1),g(x2),…,g(xn),有相同的只取其中一个,然后将它们由小到大排列,记为y1,y2,…,yk;
(2)计算Y取y1,y2,…,yk各个值的概率:如果y1只与g(x1)相同,则P(Y=y1)=p1;如果y1与g(x1),g(x2)都相同,则P(Y=y1)=p1+p2.对每个yi(i=1,2,…,k)都作同样处理,就可确定Y取y1,y2,…,yk各个值的概率.
由此得到Y=g(X)的分布律,进一步还可得Y的分布函数FY(y).
2.连续型情形
设X是连续型随机变量,它的概率密度为fX(x)(-∞<x<+∞),则Y=g(X)的分布函数FY(y)可通过计算概率

得到,即
进一步还可得Y的概率密度fY(y).
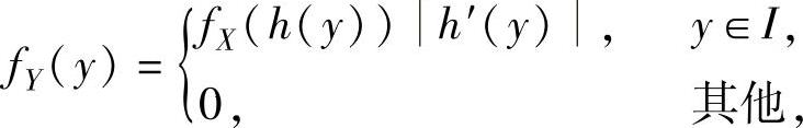
特别地,当y=g(x)在fX(x)≠0的区间上为单调函数,且除个别点外处处可导时,Y=g(X)的概率密度fY(y)可按以下公式计算:

其中,I是g(x)在fX(x)≠0的区间上的值域,x=h(y)是y=g(x)在该区间上的反函数.
【典型例题】
例7.8.1 设随机变量X的分布律为

,求随机变量Y=(X-2)2的分布律.
精解 由Y=(X-2)2知g(x)=(x-2)2,由g(0)=4,g(1)=1,g(2)=0,g(3)=1知Y全部可能取的值为0,1,4,并且
P(Y=0)=P(X=2)=0.6,
P(Y=1)=P(X=1)+P(X=3)=0.3,
P(Y=4)=P(X=0)=0.1,
所以,Y的分布律为

例7.8.2 设随机变量X的分布律为

,求随机变量Y=
的分布函数FY(y).
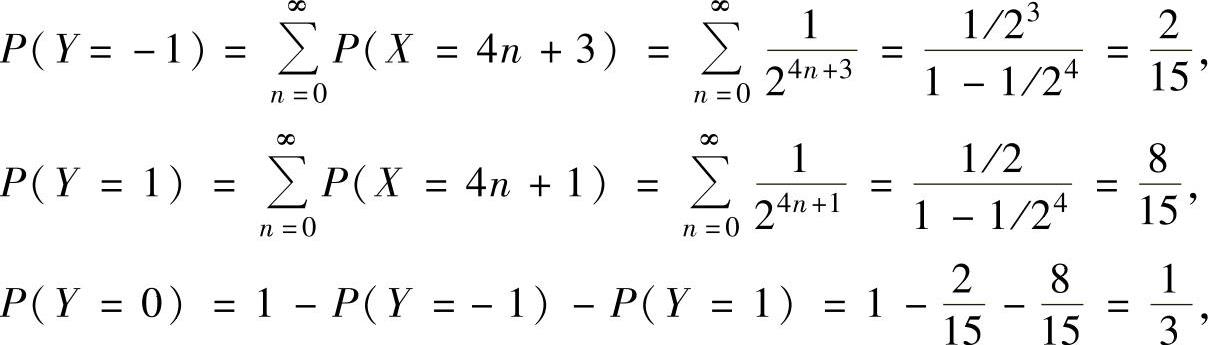
精解 先算出Y的分布律.记
,则由(https://www.daowen.com)
g(4n+1)=1,g(4n+2)=0,g(4n+3)=-1,g(4n+4)=0(n=0,1,2,…)知Y全部可能取的值为-1,0,1.由于

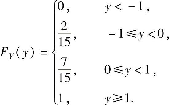
因此,Y的分布律为
.从而Y的分布函数为

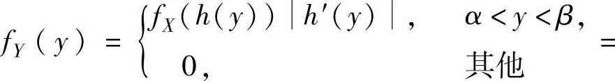
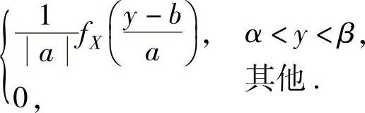
例7.8.3 已知随机变量X的概率密度为fX(x),求随机变量Y=aX+b(a≠0)的概率密度fY(y).
精解 显然y=ax+b是单调可导函数,其反函数为
设y=ax+b在
fX(x)≠0的区间上的值域为(α,β),则f

注 (ⅰ)本题的结论是常用的,应记住.
(ⅱ)本题的两个特例:
当X~N(μ,σ2)时,Y=aX+b(a≠0)~N(aμ+b,a2σ2);
当X~U(a,b)时,Y=cX+d(c≠0)服从均匀分布,其中当c>0时,Y~U(ca+d,cb+d);c<0时,Y~U(cb+d,ca+d).
例7.8.4 设随机变量X的概率密度为
求随机变量Y=eX的概率
密度fY(y).
精解 首先,注意y=g(x)为y=ex,它在fX(x)≠0的区间(0,+∞)上单调可导,值域为(1,+∞),反函数x=h(y)=lny,所以由计算公式得

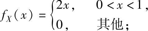
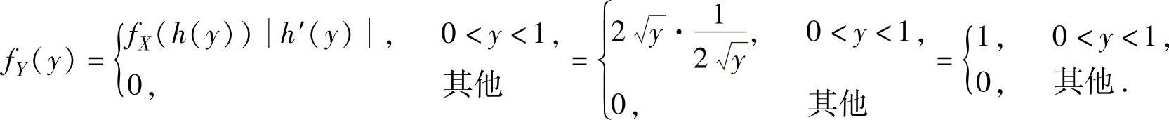
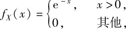
例7.8.5 对随机变量X的下列概率密度fX(x),求随机变量Y=X2的概率密度fY(y):
(1)
(2)
精解 (1)在fX(x)≠0的区间(0,1)内,y=g(x)=x2单调可导,值域为(0,1),反函数为x=h(y)=y,所以由计算公式得

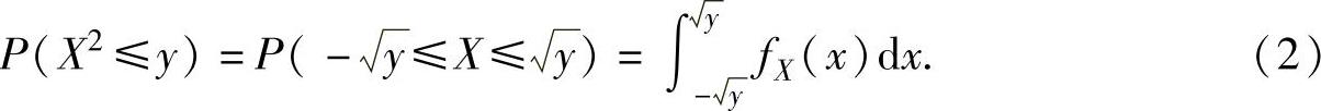
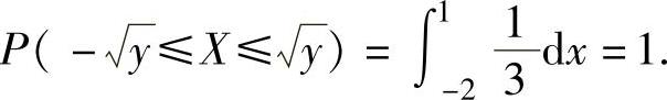
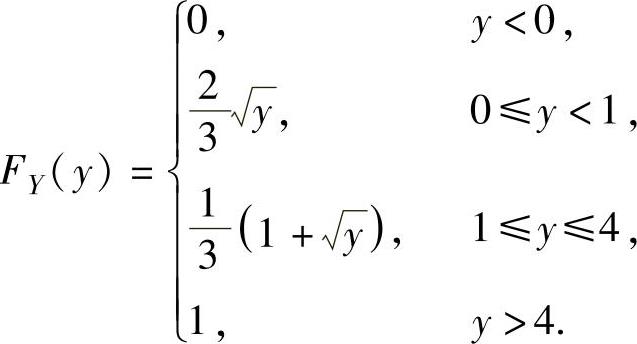
(2)在fX(x)≠0的区间(-2,1)内,y=g(x)=x2不是单调的,所以需计算Y的分布函数FY(y).由分布函数的定义得
FY(y)=P(Y≤y)=P(X2≤y).(1)
其中,y<0时,P(X2≤y)=P()=0,y≥0时,
下面根据
的相对关系分三种情形计算式(2)右边的积分:
(1)当0≤y<1时,
,所以

(2)当1≤y≤4时,
,所以

(3)当y>4时,
,所以

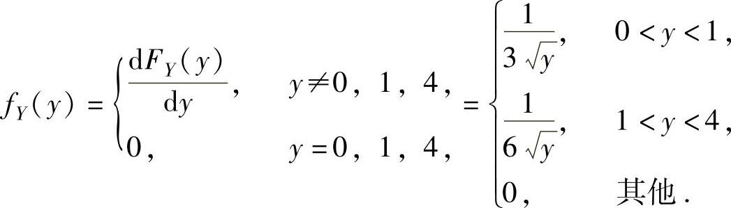
将以上计算代入式(1)得

因此Y的概率密度