习题3.2

习题3.2

求下列极限:

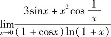
1.978-7-111-33187-2-Chapter03-75.jpg

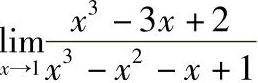
2.978-7-111-33187-2-Chapter03-76.jpg

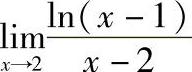
3.978-7-111-33187-2-Chapter03-77.jpg

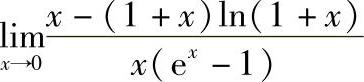
4.978-7-111-33187-2-Chapter03-78.jpg

5.978-7-111-33187-2-Chapter03-79.jpg

6.978-7-111-33187-2-Chapter03-80.jpg

7.978-7-111-33187-2-Chapter03-81.jpg

8.978-7-111-33187-2-Chapter03-82.jpg

9.978-7-111-33187-2-Chapter03-83.jpg

10.978-7-111-33187-2-Chapter03-84.jpg

11.978-7-111-33187-2-Chapter03-85.jpg

12.978-7-111-33187-2-Chapter03-86.jpg

13.978-7-111-33187-2-Chapter03-87.jpg

14.978-7-111-33187-2-Chapter03-88.jpg

15.978-7-111-33187-2-Chapter03-89.jpg

16.978-7-111-33187-2-Chapter03-90.jpg

17.978-7-111-33187-2-Chapter03-91.jpg