函数的单调性与凹凸性
一、函数的单调性
从图上可以直观地看出,单调增加函数的切线斜率非负(见图3-3),单调减少函数的切线斜率非正(见图3-4).

图3-3

图3-4
定理3.7 设函数f(x)在区间I内可导,则:
1)对任意x∈I,有f′(x)>0,则函数f(x)在I严格单调增加;
2)对任意x∈I,有f′(x)<0,则函数f(x)在I严格单调减少.
证 先证1)对任意x1,x2∈I且x1<x2,函数f(x)在区间[x1,x2]上满足拉格朗日中值定理的条件,有
f(x2)-f(x1)=f′(ξ)(x2-x1)ξ∈(x1,x2),
已知f′(ξ)>0,x2-x1>0,有f(x2)-f(x1)>0.
即函数f(x)在I严格单调增加.
2)同理可证.
例1 讨论f(x)=3x-x3的单调性.
解 f′(x)=3-3x2=3(1-x)(1+x).
令f′(x)=0,解得x=-1与x=1,它们将(-∞,+∞)分成(-∞,-1)、(-1,1)和(1,+∞)三个区间.
当x<-1时,f′(x)<0,f(x)在(-∞,-1)上严格单调减少;当-1<x<1时,f′(x)>0,f(x)在(-1,1)上严格单调增加;当x>1时,f′(x)<0,f(x)在(1,+∞)上严格单调减少.
例2 求
的单调区间.
解
在(-∞,+∞)上连续,当x≠0时,

令y′=0,解得x=1;又因为当x=0时,函数的导数不存在;以x=0和x=1为分点将(-∞,+∞)分为(-∞,0)、(0,1)和(1,+∞)三个区间.
在(-∞,0)上,f′(x)>0,所以f(x)在(-∞,0)上严格单调增加;
在(0,1)上,f′(x)<0,所以f(x)在(0,1)上严格单调减少;
在(1,+∞)上,f′(x)>0,所以f(x)在(1,+∞)上严格单调增加.
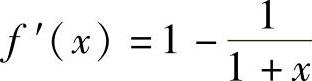
例3 证明:当x>0时,x>ln(1+x).
证 设f(x)=x-ln(1+x),则函数f(x)在[0,+∞)可导,

当x>0时,f′(x)>0,所以函数f(x)在(0,+∞)上严格单调增加.因此,当x>0时,有f(x)>f(0)=0,即x>ln(1+x).
二、函数的凹凸性
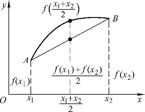
在研究函数的图形时,只研究函数的单调性还不能准确地反映图形的主要特性.如图3-5和图3-6所示,A、B两点之间的弧都是单调上升的,但它们的弯曲方向却有着明显的差别,这种差别就是直观上的“凹”与“凸”.

图3-5

图3-6
据此,在数学上作如下定义:(https://www.daowen.com)
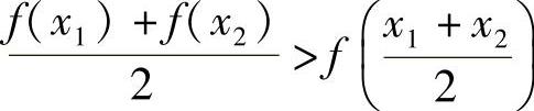
定义3.1 设f(x)在[a,b]上连续,如果对(a,b)内任意两点x1和x2,恒有

那么称f(x)在[a,b]上的图形是凹的;如果对(a,b)内任意两点x1和x2,恒有

那么称f(x)在[a,b]上的图形是凸的.
从几何图形上,可以观察切线斜率的变化来区分凹、凸两种弧.如图3-7所示.

图3-7
左侧的凹弧,切线斜率随着自变量的增加而增大,即f′(x)是单调增加的,也即f″(x)>0;右侧的凸弧,切线斜率随着自变量的增加而减小,即f′(x)是单调减少的,也即f″(x)<0.因此,对于凹凸的判定,可以通过判断二阶导数的符号来实现.
定理3.8 设f(x)在[a,b]上连续,在(a,b)内具有一阶和二阶导数,则:
1)若x∈(a,b)时,f″(x)>0,则f(x)在[a,b]上的图形是凹的;2)若x∈(a,b)时,f″(x)<0,则f(x)在[a,b]上的图形是凸的.
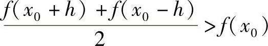
证 1)设x1和x2为[a,b]内任意两点,且x1<x2,记
,并记x2-x0=x0-x1=h,则x1=x0-h,x2=x0+h,由拉格朗日中值定理,得
f(x0+h)-f(x0)=f′(x0+θ1h)h (0<θ1<1),
f(x0)-f(x0-h)=f′(x0-θ2h)h (0<θ2<1),
两式相减,得
f(x0+h)+f(x0-h)-2f(x0)=[f′(x0+θ1h)-f′(x0-θ2h)]h
对f′(x)在区间[x0-θ2h,x0+θ1h]上再用一次拉格朗日中值定理,得
[f′(x0+θ1h)-f′(x0-θ2h)]h=f″(ξ)(θ1+θ2)h2(x0-θ2h<ξ<x0+θ1h)
由1)的条件,f″(ξ)>0,故有
即

,亦即
.
所以f(x)在[a,b]上的图形是凹的.
2)同理可证.
例4 讨论函数f(x)=arctanx的凹凸性.
解 因为
;
令f″(x)=0,解得x=0.
当x<0时,f″(x)>0,所以f(x)=arctanx在(-∞,0)内的图形是凹的;当x>0时,f″(x)<0,所以f(x)=arctanx在(0,+∞)内的图形是凸的.
定义3.2 曲线的凹凸的分界点称为曲线的拐点.
由定义可知,拐点为凹凸的分界点,则在拐点两侧适当小的范围内,f″(x)必然异号,所以在拐点处f″(x)=0或f″(x)不存在.
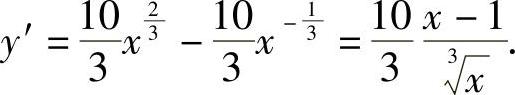
例5 求f
的凹凸区间及对应曲线的拐点.
解 该函数在(-∞,+∞)内连续,当x≠0时
,
,
二阶导数在(-∞,+∞)内无零点,在x=0处f″(x)不存在,它把(-∞,+∞)分成两个部分区间.在(-∞,0)内,f″(x)>0,曲线是凹的;在(0,+∞)内,f″(x)<0,曲线是凸的,所以点(0,0)是曲线的拐点.
例6 求y=x4的凹凸区间及对应曲线的拐点.
解 y′=4x3,y″=12x2,当x=0时,y″=0;当x≠0时,y″>0.
所以y=x4在(-∞,+∞)内函数图形是凹的,没有拐点.