泰勒公式
多项式函数是一类很重要的函数,其明显特点是计算和结构都很简单,因此无论是数值计算还是理论分析都比较方便.用多项式近似地表示给定函数的问题不仅具有理论价值,而且更具有实用价值.事实上,当x很小时,ex≈1+x,ln(1+x)≈x都是用一次多项式来表示函数的例子.
但是这种近似表示还存在着不足之处:首先是精确度不高,它所产生的误差仅是关于x的高阶无穷小;其次是用它来做近似计算时,不能具体估算出误差大小.因此,对于精确度要求较高且需要顾及误差的情况,就必须用高次多项式来近似表达函数,同时给出误差公式.
于是提出如下的问题:寻找多项式函数P(x),使得f(x)≈P(x),误差R(x)=f(x)-P(x)可估计.
设函数f(x)在含有x0的开区间(a,b)内有直到(n+1)阶导数,P(x)为多项式函数Pn(x)=a0+a1(x-x0)+a2(x-x0)2+…+an(x-x0)n.
假设Pn(k)(x0)=f(k)(x0),k=0,1,2,…,n
即a0=f(x0),1·a1=f′(x0),2!a2=f″(x0),…,n!an=f(n)(x0)
得
(x0)(k=0,1,2,…,n).
代入Pn(x)中得,

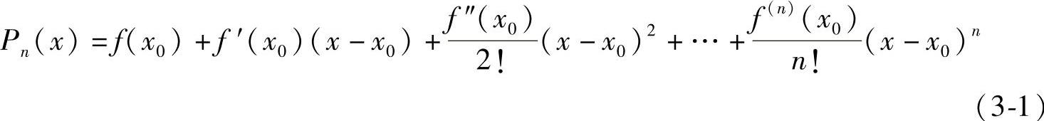
下面的定理表明,在满足一定条件下,式(3-1)就是所要找的n次多项式.
定理3.6 (泰勒中值定理)设f(x)在含x0点某开区间(a,b)内具有直到n+1阶导数,则对任意x∈(a,b),有

其中

这里ξ是x0与x之间的某个值.
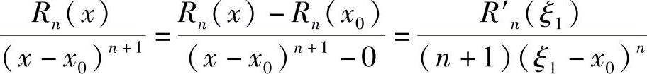
证 Rn(x)=f(x)-Pn(x).只需证明
(这里ξ是x0与x之间的某个值)
由题设可知,Rn(x)在(a,b)内具有直到n+1阶的导数,且
Rn(x0)=R′n(x0)=R″n(x0)=…=Rn(n)(x0)=0.
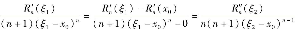
对两个函数Rn(x)及(x-x0)n+1在以x0和x为端点的区间上应用柯西中值定理(显然,这两个函数满足柯西中值定理的条件),得
(这里ξ1在x0与x之间),再对两个函数Rn′(x)及(n+1)(x-x0)n在以x0和ξ1为端点的区间上应用柯西中值定理,得
(这里ξ2在x0与ξ1之间),如此继续下去,经过n+1次后,得
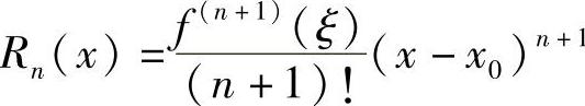
(这里ξ在x0与ξn之间,因而也在x0与x之间),注意到Rn(n+1)(x)=f(n+1)(x)(因Pn(n+1)(x)=0),则由上式得
(这里ξ在x0与x之间),定理证毕.
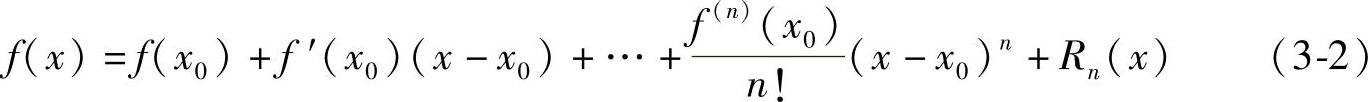
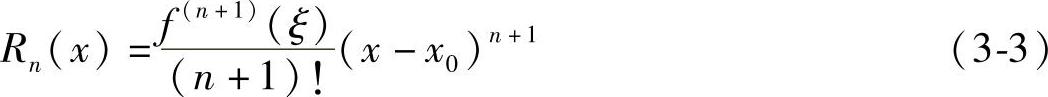
多项式(3-1)称为f(x)按(x-x0)的幂展开的n阶泰勒(Taylor)多项式,而式(3-2)称为f(x)按(x-x0)的幂展开的带有拉格朗日(Lagrange)型余项的n阶泰勒公式.Rn(x)的表达式(3-3)称为拉格朗日型余项.
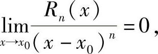
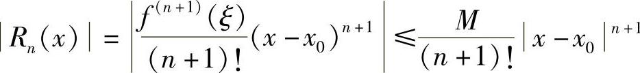
当f(n+1)(x)≤M时,则有
,因而

即(https://www.daowen.com)
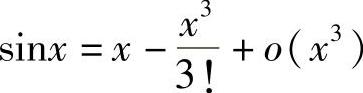
Rn(x)=o[(x-x0)n]. (3-4)故n阶泰勒公式又可写为
f(x)=Pn(x)+o[(x-x0)n]. (3-5)
Rn(x)的表达式(3-4)称为佩亚诺(Peano)型余项,所以公式(3-5)称为f(x)按(x-x0)的幂展开的带有佩亚诺型余项的n阶泰勒公式.
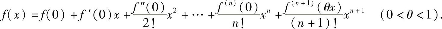
在表达式(3-2)中,如果取x0=0,此时ξ=θx(0<θ<1),则泰勒公式变成较为简单的形式

或
.
上两式分别称为带有拉格朗日型余项和带有佩亚诺型余项的n阶麦克劳林(Ma-claurin)公式(即f(x)在x0=0处的泰勒公式).
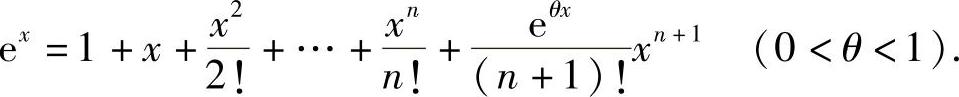
例1 求f(x)=ex的带有拉格朗日型余项的n阶麦克劳林公式.
解 f(x)=ex,f′(x)=f″(x)=…=f(n)(x)=ex,所以
f(0)=f′(0)=f″(0)=…=f(n)(0)=e0=1,f(n+1)(θx)=eθx(0<θ<1).故f(x)=ex的n阶麦克劳林公式为

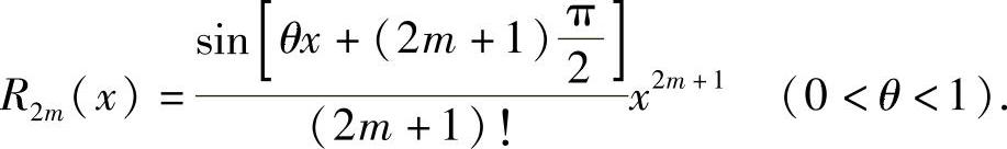
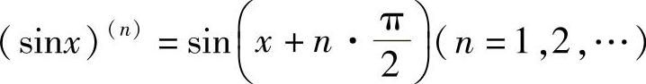
例2 求f(x)=sinx的带有拉格朗日型余项的n阶麦克劳林公式.
解
,所以
f(0)=0,f′(0)=1,f″(0)=0,f‴(0)=-1,f(4)(0)=0,…
从而

其中,
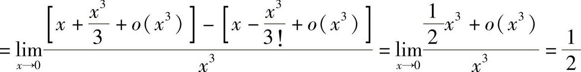
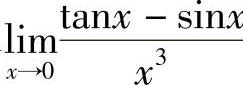
例3 求
.
解
,
,所以
原式
.
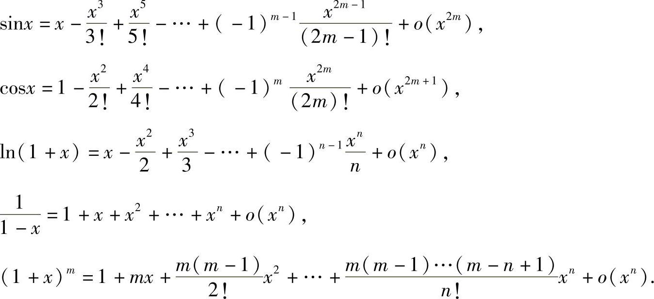
几个常用函数的麦克劳林公式:

由以上带有佩亚诺型余项的麦克劳林公式,易得相应的带有拉格朗日型余项的麦克劳林公式,读者可自行写出.