洛必达法则
在求
或
时,若发现f(x)和g(x)同时趋于0,或同时趋于∞,如
,
,则上述极限可能存在,也可能不存在.要根据具体的函数来进一步确定,通常把这种极限称为
或
型的未定式,这种未定式是不能用商的极限运算法则来计算的.在这一节中,可以利用洛必达法则来解决这类问题.
一、“
”型未定式
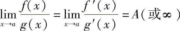
定理3.4 (洛必达法则)设函数f(x)和g(x)满足条件:
1)
;2)在点a的某个去心邻域U°(a)内都可导,且g′(x)≠0;3)
;则
).
证 在点x=a处补充定义f(x)=g(x)=0,则函数f(x)与g(x)在点x=a点连续.
对任意
,在以x和a为端点的区间上,由柯西中值定理,则在x与a之间存在一点ξ,使得
.
又因为ξ在x与a之间,所以当x→a时,有ξ→a,上式两边取极限,得

将此定理中的x→a换成其他的自变量变化过程亦成立,证明从略.
例1 求
.
解 由洛必达法则,有
.
例2 求
.
解 由洛必达法则,
.
求一个未定式的极限时,如果一阶导数之比还是未定式,只要仍满足洛必达法则的条件,则可以再次使用洛必达法则.倘若结果还是未定式,那么还可以继续使用洛必达法则.
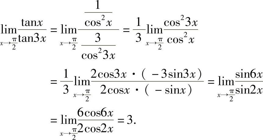
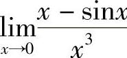
例3 求
.
解
.二、“
”型未定式
定理3.5 设函数f(x)与g(x)满足:
1)在点a的某个去心邻域U°(a)内都可导,且g′(x)≠0;2)
;3)
;则
.将此定理中的x→a换成其他的自变量变化过程亦成立,证明从略.
例4 求
.
解 
例5 求
.(https://www.daowen.com)
解
.
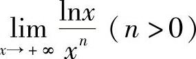
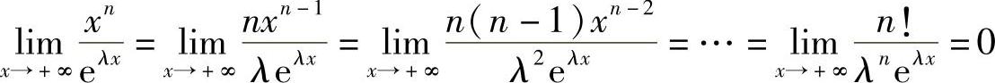
例6 求极限
(n为正整数,λ>0).
解
.三、其他型未定式
例7 求
.
解
.
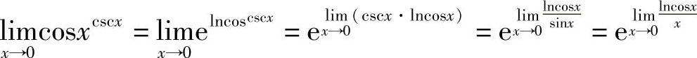
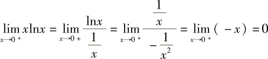
例8 求极限
.
解
.
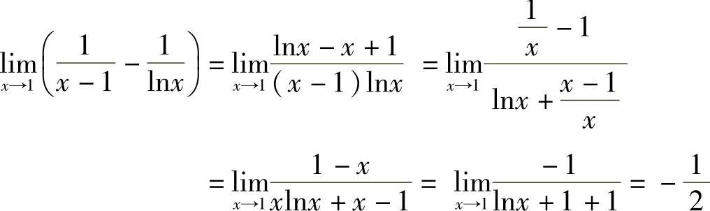
例9 求
.
解
,则
.
例10 求
.
解
,其中,
,则
.
例11 求
.
解
.
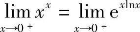
例12 求
.
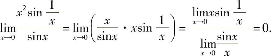
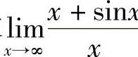
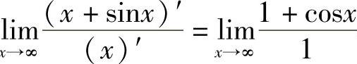
解 极限
不存在,不能应用洛必达法则.实际上,
.
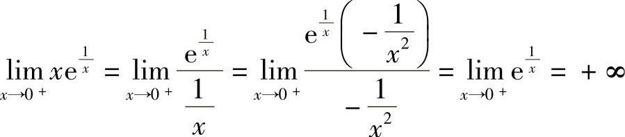
例13 求
.
解 这是“
”型未定式,因极限
不存在,所以有

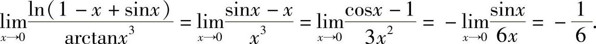
例14 求
.
解 先用等价无穷小代换,再用洛必达法则.
