习题3.1

习题3.1

1.验证函数fx)=x2-2x-3在闭区间[-1,3]上满足罗尔定理,并求出定理中的ξ.

2.验证函数fx)=arctanx在区间[0,1]上满足拉格朗日中值定理,并求出定理中的ξ.

3.证明不等式sinx2-sinx1x2-x1.

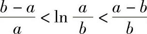
4.设ab>0,证明不等式978-7-111-33187-2-Chapter03-19.jpg.

5.设978-7-111-33187-2-Chapter03-20.jpg0,证明多项式fx)=a0+a1x+a2x2+…anxn在(0,1)内至少有一个零点.

6.若函数fx)在(ab)内具有二阶导数,且fx1)=fx2)=fx3),其中,ax1x2x3<b,证明:在(x1x3)内至少存在一点ξ,使得f″ξ)=0.

7.证明:978-7-111-33187-2-Chapter03-21.jpg.

8.证明多项式fx)=x3-3x+a在[0,1]上不可能有两个零点.

9.设ba>0,函数fx)在[ab]上连续,在(ab)内可导,利用柯西中值定理,证明至少存在一点ξ∈(ab),使得978-7-111-33187-2-Chapter03-22.jpg.