六、同步练习答案

六、同步练习答案

试题一

1.初始计划的总工期=(3+4+2+3+5+3)个月=20个月。

关键线路为A→D→F→I→K→M(或①→②→⑤→⑦→⑧→⑩→⑪)。

工作E的总时差=[20-(3+3+4+5+3)]个月=2个月。

2.(1)事件1发生后,吊装机械闲置补偿费=600元/台班×30台班=18000元。

(2)事件1发生后,工程不会延期。

理由:由于工作E有2个月的总时差,因此工作E的持续时间延长2个月不会影响到总工期。

3.(1)事件2发生后,施工单位要求费用补偿不合理。

理由:百年一遇的洪水属于不可抗力事件,不可抗力事件发生后,承包人的机械设备损失及停工损失由承包人承担。

(2)事件2发生后,施工单位要求工程延期不合理。

理由:工作G有2个月的总时差,虽然该工作停工1个月,但没有超过其总时差,不会影响到总工期。

4.事件3发生后,施工单位可以提出费用和工期索赔。

索赔金额为1.6万元,并延长工期1个月。

理由:建设单位采购的材料设备在未通知施工单位进行验收就存放于施工现场,由此发生的损坏丢失由建设单位负责,而且工作I为关键工作,持续时间延长1个月会影响总工期。

5.(1)事件4发生后,预计工程实际工期为19个月。

(2)建设单位要求缩短合同工期妥当。

理由:造成工作K提前2个月完成的原因是工程变更,因此可以要求缩短工期,但工作I延长1个月的时间可以补偿。

试题二

1.该项目评标委员会的组成存在的问题:

(1)评标委员会由6人组成。

理由:评标委员会成员人数应为5人以上单数。

(2)4名专家中的国家级专家曾参与审核该项目招标文件。

理由:4名专家中的国家级专家曾参与审核该项目招标文件,对该项目较熟悉,不可以参加评标工作。

评标结果公示时间符合机电产品国际招标的相关规定。

2.投标人B、C、D的质疑有效与否的判断及理由如下。

(1)投标人B的质疑无效。

理由:应由投标人法定代表人或法定代表人的授权人签字或签章的评标结果质疑表及相关资料送达相应的主管部门方为有效。

(2)投标人C的质疑无效。

理由:提出质疑的内容不符合相关规定。

(3)投标人D的质疑无效。

理由:质疑文件应在公示期内及结束后3日内送达招标投标主管部门。

试题三

1.招标方案中工作存在不妥之处的判断与理由如下。

(1)不妥之处:要求招标文件购买人在购买招标文件时即提交投标保证金100万元。

理由:招标人可以在招标文件中要求投标人提交投标保证金,一般不得超过投标总价的2%,但最高不得超过80万元人民币。

(2)不妥之处:向提出问题的招标文件购买人发出招标文件的书面澄清文件。

理由:投标预备会上所有的澄清、解答均应当以书面方式发给所有购买招标文件的潜在投标人。

(3)不妥之处:组织开标会议,接受投标文件并开标。

理由:合理的程序是先接受投标文件,再组建评标委员会,然后组织开标会议。

(4)不妥之处:从招标人提供的专家名单中随机抽取评标专家。

理由:依法必须招标的一般项目的评标专家,可从依法组建的评标专家库中随机抽取;特殊招标项目可以由招标人从评标专家库中直接确定。

(5)不妥之处:与中标候选人就中标价格进行谈判。

理由:在确定中标人前,招标人不得与投标人就投标价格、投标方案等实质性内容进行谈判。

2.咨询公司建议选用固定总价合同合理。

理由:固定总价合同计价方式一般适用于工程规模较小、技术比较简单、工期较短,且核定合同价格时已经具备完整、详细的工程设计文件和必需的施工技术管理条件的工程建设项目。

3.咨询公司在招标方案中提出的将专业工程单独招标的建议合理。

理由:专业承包资质的企业,可以承接施工总承包企业分包的专业工程和项目业主依法发包的专业工程。

试题四

1.该项目应采取公开招标方式。

如果把该项目划分成若干个标段分别进行招标,划分时应当综合考虑的因素是招标项目的专业要求、招标项目的管理要求、对工程投资的影响、工程各项工作的衔接等。

本项目可划分为地基处理工程、厂房及有关设施的土建工程、进口垃圾焚烧发电设备及垃圾处理专业设备采购、进口垃圾焚烧发电设备及垃圾处理专业设备安装工程等标段。

2.最低报价的D单位与次低报价的C单位相比:978-7-111-44397-1-Chapter09-62.jpg,因此,D单位的商务标得分为30分,且不再参加商务标基准价计算。

最高报价的A单位与次高报价的B单位相比:978-7-111-44397-1-Chapter09-63.jpg,因此A单位的商务标有效。

E单位没有按要求澄清、说明、补正,因此,E单位的标书按废标处理。

978-7-111-44397-1-Chapter09-64.jpg

D单位商务标得分=30分

3.计算各投标单位综合得分,并把计算结果填入表3-41中。

3-41 综合得分计算表

978-7-111-44397-1-Chapter09-65.jpg

4.推荐的中标候选人排名:第一名C单位;第二名B单位;第三名A单位。

试题五

1.事件1中招标人行为的不妥之处及理由如下。

(1)不妥之处:改用邀请招标方式进行招标。

理由:该建设工程项目为政府投资,应该进行公开招标。

(2)不妥之处:要求在当地承包商中选择中标人。

理由:招标人不得对潜在投标人实施歧视待遇。

2.事件2中招标代理机构在资格预审时还应审查的内容:

(1)是否具有独立订立合同的权利。

(2)资金、设备和其他物质设施状况,管理能力,经验、信誉和相应的从业人员。

(3)是否处于被责令停业,投标资格被取消,财产被接管、冻结,破产状态。

(4)在最近3年内是否有骗取中标和严重违约及重大工程质量问题。

(5)是否符合法律、行政法规规定的其他资格条件。

3.事件3、事件4中招标代理机构行为的不妥之处及理由如下。

(1)不妥之处:设定招标文件出售的起止时间为3个工作日。

理由:自招标文件出售之日起至停止出售之日止,最短不得少于5个工作日。

(2)不妥之处:要求投标人提交的投标保证金为120万元。

理由:投标保证金一般不得超过投标总价的2%,但最高不得超过80万元。

(3)不妥之处:招标代理机构组建评标委员会。

理由:评标委员会由招标人负责组建。

(4)不妥之处:评标委员会中包括该项目主管部门主要负责人。

理由:项目主管部门或者行政监督部门的人员不得担任评标委员会成员。

4.事件5中招标人行为的不妥之处及理由如下。

(1)不妥之处:招标人向中标人提出降价要求。

理由:确定中标人后,招标人不得就报价、工期等实质性内容进行谈判。

(2)不妥之处:签订的书面合同的合同价比中标价降低2%。

理由:招标人向中标人发出中标通知书后,招标人与中标人依据招标文件和中标人的投标文件签订合同,不得再行订立背离合同实质内容的其他协议。

(3)不妥之处:招标人在与中标人签订合同3周后,退还了未中标的其他投标人的投标保证金。

理由:招标人与中标人签订合同后5个工作日内,应当向中标人和未中标人退还投标保证金。

试题六

1.该项目的质量事故损失量的期望值=(5×6%+80×15%+18×3%+45×43%+16×50%+70×6%+30×8%+90×4%+5×66%+60×18%+45×3%)万元=65.84万元。

2.在不改变工作、工艺关系又最紧凑的前提下,这三项工作最合理的安排顺序是B、C、H,并在第2个月上班时刻进场。合理安排B、C、H工作的新进度计划与原进度计划相比总工期没有改变。此时该专业施工队最少的工作间断时间为(11-2-3-1)个月=5个月。关键线路包括的工作有A、E、G、H、L。

3.如果D工作发生质量事故,不会影响关键工作,但会影响到F工作;如果E工作发生质量事故,会影响到工作G、H、L。

4.如果问题3中的风险事件发生,该项目的实际损失为(45+16)万元=61万元。由于E工作是关键线路工作,质量事故使工作持续时间延长1个月,因此实际工期是21个月。

试题七

1.评标委员会对咨询服务的评标,除评审咨询单位资历和以往咨询的经验外,更重视评审:

(1)为完成咨询任务拟采用的方法和途径。

(2)参加该项目咨询服务的人员(或专家)的配备(或经验和水平)。

2.该咨询工作计划的完成时间为20周。

为保证合同按期完成,应重点控制A、E、F、K、L工作。

3.(1)第9周末计划发生咨询费用:C+D+A+E+3/4F+B+G+H

(0.8+1.6+1.0+2.4+3.0+1.2+2.2+1.0)万元=13.2万元

第9周末实际发生咨询费用:C+D+A+E+1/4F+B+G+1/2H

(0.8+1.6+1.0+2.4+1.0+1.2+2.2+0.5)万元=10.7万元

到第9周末实际发生的咨询费用累计偏差是(13.2-10.7)万元=2.5万元。

或:因第9周末时,A、B、C、E、G工作的实际支出费用与计划相符,故只计算D、F、H三项工作的费用偏差。D工作费用偏差=(1.6-1.6)万元=0;978-7-111-44397-1-Chapter09-66.jpg978-7-111-44397-1-Chapter09-67.jpg元;H工作的费用偏差=(1.0-0.5)万元=0.5万元;累计总费用偏差=(2.0+0.5-0)万元=2.5万元。

(2)按计划进度第9周末D、H工作应该完成,F工作应该完成3/4。而实际检查:D工作完成(1.6/1.6)×100%=100%,F完成工作(1.0/4.0)×100%=25%,H工作完成(0.5/1.0)×100%=50%;说明D工作进度正常,F工作实际只完成1周的工作量而比计划进度拖延2周,H工作实际完成1周也比计划进度拖延1周。

或:D工作的进度偏差=(1.6-1.6)万元=0,说明进度正常;F工作的进度偏差=(1.0-3/4×4)万元=-2.0万元,说明F工作比计划进度拖延2周;H工作的进度偏差=(0.5-1.0)万元=-0.5万元,说明H工作比计划进度拖延1周。

(3)通过分析可知,咨询合同不能按期完成。因F工作为关键工作,故F工作拖延2周,将使计划工期延长2周。

4.图3-8中,ab两点的进度偏差和累计完成工作量偏差:

a点的实际工作进度超前(或比计划进度超额完成、提前完成、多完成)ΔTa;累计完成工作量超前(或比计划工作量超额完成、提前完成、多完成)ΔQb

b点的实际工作进度落后(或比计划进度拖延、少完成)ΔTa;累计完成工作量落后(或比计划工作量拖延、少完成)ΔQa

试题八

1.建设单位认为A施工单位没有资格参加投标是不正确的。

理由:《招标投标法》规定,招标人不得以不合理的条件限制和排斥潜在投标人,不得对潜在投标人实行歧视待遇,所以招标人以投标人是外地企业的理由排斥潜在投标人是不合理的。

2.施工招标评标委员会组成的不妥之处如下。

(1)不妥之处:建设行政管理部门的招标投标管理办公室主任参加。

理由:评标委员会由招标人的代表和有关技术、经济方面的专家组成。

正确做法:投标管理办公室主任不能成为评标委员会成员。

(2)不妥之处:政府提供的专家库中抽取技术、经济专家3人。

理由:评标委员会中的技术、经济等方面的专家不得少于成员总数的2/3。

正确做法:至少有4人是技术、经济专家。

3.B施工单位的投标不是有效标。

理由:评标委员会发现投标人的报价明显低于其他报价时,应当要求该投标人作出书面说明并提供相关证明材料,投标人不能合理说明的应作废标处理。

D施工单位的投标是有效标。

理由:投标报价大写与小写不符属细微偏差,细微偏差修正后仍属有效投标书。

F施工单位的投标书不是有效标。

理由:检验标准与方法不符招标文件的要求,属于未对招标文件作实质性响应的重大偏差。

H施工单位的投标书是有效标。

理由:某分部工程的报价有个别漏项属细微偏差,应为有效标书。

试题九

1.在招标投标过程中的不妥之处和理由如下。

(1)不妥之处:开标时,由招标人检查投标文件的密封情况。

理由:《招标投标法》规定,开标时,由投标人或者其推选的代表检查投标文件的密封情况,也可以由招标人委托的公证机构检查并公证。

(2)不妥之处:评标委员会由招标人确定。

理由:一般招标项目的评标委员会采取随机抽取方式。该项目属一般招标项目。

(3)不妥之处:评标委员会的组成不妥。

理由:根据《招标投标法》规定,评标委员会由招标人的代表和有关技术、经济等方面的专家组成,成员人数为5人以上单数,其中技术、经济等方面的专家不得少于成员总数的2/3。

2.B单位向招标人递交的书面说明有效。根据《招标投标法》的规定,投标人在招标文件要求提交投标文件的截止时间前。可以补充、修改或者撤回已提交的投标文件,补充、修改的内容作为投标文件的组成部分。

3.在开标后,招标人应对C单位的投标书作废标处理。

因为C单位投标书只有单位公章未有法定代表人印章或签字,不符合《招标投标法》的要求。

4.投标书在下列情况下,可作废标处理。

(1)以他人的名义投标、串通投标、以行贿手段谋取中标或者以其他弄虚作假方式投标的。

(2)以低于成本报价竞标的。

(3)无单位盖章并无法定代表人或法定代表人授权的代理人签字或盖章的。

(4)未按规定的格式填写,内容不全或关键字迹模糊、无法辨认的。

(5)投标人递交两份或多份内容不同的投标文件,或在一份投标文件中对同一招标项目报有两个或多个报价,且未声明哪一个有效(按招标文件规定提交备选投标方案的除外)的。

(6)投标人名称或组织结构与资格预审时不一致的。

(7)未按招标文件要求提交投标保证金的。

(8)联合体投标未附联合体各方共同投标协议的。

(9)投标文件载明的招标项目完成期限超过招标文件规定的期限。

(10)明显不符合技术规格、技术标准的要求。

(11)投标文件附有招标人不能接受的条件。

(12)不符合招标文件中规定的其他实质性要求。

5.招标人对E单位的投标书作废标的处理是正确的。因为E单位未能在投标截止时间前送达投标文件,招标人不予受理。

试题十

1.时标网络计划如图3-11所示,计算工期Tc=15个月,关键线路为①→②→⑤→⑥→⑦→⑨、①→②→⑤→⑥→⑧→⑨、①→②→③→⑤→⑥→⑦→⑨和①→②→③→⑤→⑥→⑧→⑨;TF7-9=FF7-9=0,TF4-8=FF4-8=2月,FF2-4=0,TF2-4=min{TF4-8,TF5-6}=min{0+2,2+0}=2个月。

978-7-111-44397-1-Chapter09-68.jpg

图3-11 时标网络计划图

2.实际进度前锋线如图3-11所示,因为工作③→⑦有2个月的总时差,拖延1个月,不影响工期;工作⑤→⑥为关键工作,提前2个月,有可能缩短工期2个月;工作④→⑧有2个月的总时差,拖延1个月,不影响工期。

3.已完工程计划投资=(5×2+3×6+4×6+3×4+1×1+6×4+3×3)万元=98万元。

已完工程实际投资=85万元。

拟完工程计划投资=(5×2+3×6+4×6+3×4+1×2+6×2+3×4)万元=90万元。

(1)投资偏差=(98-85)万元=13万元,投资节约。

(2)进度偏差=(98-90)万元=8万元,工期提前。

试题十一

1.(1)C工作的实际进度使总工期拖后1个月。

理由:C工作为关键工作(或位于关键线路上),其工作时间延长1个月会使总工期拖后1个月。

(2)D工作的实际进度不影响总工期。

理由:D工作为非关键工作,有2个月的总时差,即使工作时间拖后1个月也不会影响总工期。

(3)E工作的实际进度不影响总工期。

理由:E工作为非关键工作,有1个月的总时差,即使工作时间拖后1个月也不会影响总工期。

2.施工单位不可以就事件2提出费用索赔。

理由:《建设工程施工合同(示范文本)》中承包商可引用的索赔条款,遇到不可预见的异常恶劣气候只可以索赔工期。

施工单位可以就事件3提出费用索赔。

理由:《建设工程施工合同(示范文本)》中承包商可引用的索赔条款,施工时发现地下文物属非施工单位原因,既可以索赔工期,也可以索赔费用。

可获得的索赔费用=180台班×100元/台班+5000元=23000元。

3.第1个月施工单位得到的工程款=(840m3/2×500元/m3+1200m3/4×1200元/m3)×1.00=570000元。

第2个月施工单位得到的工程款=(840m3/2×500元/m3+1200m3/4×1200元/m3)×1.05=598500元。

第3个月施工单位得到的工程款=(1800m3/6×1000元/m3+1200m3/4×1200元/m3)×1.15=759000元。

第4个月施工单位得到的工程款=(1800m3/6×1000元/m3+1200m3/4×1200元/m3)×1.10=726000元。

第5个月施工单位得到的工程款=(1800m3/6×1000元/m3+600m3/2×1100元/m3+800m3/4×1200元/m3)×1.20=1044000元。

截止到第5个月末,施工单位可以得到的工程款合计=(570000+598500+759000+726000+1044000+23000)元=3720500元=372.05万元。

试题十二

1.该项目的招标活动中的不妥之处及理由如下。

(1)不妥之处:要求投标人为国有企业。

理由:不符合《招标投标法》规定的公平、公正的原则,限制了民营企业参与公平竞争。

(2)不妥之处:投标人近3年内至少获得过1项该项目所在省优质工程奖。

理由:不符合《招标投标法》规定的公平、公正的原则,限制了外省企业参与公平竞争。

(3)不妥之处:联合体中标,招标人与该联合体的牵头人订立合同。

理由:联合体中标的,联合体各方应当共同与招标人签订合同。

(4)不妥之处,开标前投标人可修改或撤回文件。

理由:在提交投标文件截止时间后到招标文件规定的投标有效期终止之前,投标人不得补充、修改、替代或者撤回其投标文件。

2.材料不涨价时,不含税报价=1000万元×(1+3%)=1030万元。

材料涨价10%时,不含税报价=1000万元×(1+3%)+1000万元×60%×10%=1090万元。

材料涨价5%时,不含税报价=[1000×(1+3%)+1000×60%×5%]万元=1060万元。

综合确定不含税报价=1030万元×0.2+1090万元×0.3+1060万元×0.5=1063万元。

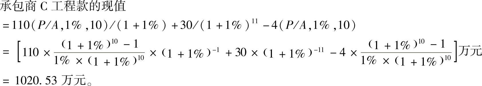
3.按合同工期施工,每月承包商C应得的工程款=1100万元/11=100万元。

978-7-111-44397-1-Chapter09-69.jpg

4.工期缩短1个月每月应得的工程款=1100万元/(11-1)=110万元。

978-7-111-44397-1-Chapter09-70.jpg

由于1020.53万元<1026.50万元。

所以承包商C不宜采取加速施工措施。