六、同步练习答案

六、同步练习答案

试题一

1.建设期贷款利息计算

(1)人民币实际利率=(1+6%/4)4-1=6.14%

(2)每年投资的贷款部分本金数额计算:

人民币部分:贷款总额为(40000-2300×6.5)万元=25050万元。

美元部分:贷款总额为2300万美元。

(3)每年应计利息计算:

人民币贷款利息计算:

第1年贷款利息=(0+25050×20%/2)万元×6.14%=153.81万元。

第2年贷款利息=[(25050×20%+153.81)+25050×55%/2]万元×6.14%=740.03万元。

第3年贷款利息=[(25050×20%+153.81+25050×55%+740.03)+25050×25%/2]万元×6.14%=1400.69万元。

人民币贷款利息合计=(153.81+740.03+1400.69)万元=2294.53万元。

外币贷款利息计算:

第1年外币贷款利息=(0+2300×20%/2)万美元×8%=18.40万美元。

第2年外币贷款利息=[(2300×20%+18.40)+2300×55%/2]万美元×8%=88.87万美元。

第3年外币贷款利息=[(2300×20%+18.40+2300×55%+88.87)+2300×25%/2]万美元×8%=169.58万美元。

外币贷款利息合计=(18.40+88.87+169.58)万美元=276.85万美元。

建设期贷款利息=人民币贷款利息+外币贷款利息=2294.53万元+276.85万美元×6.5=4094.11万元。

2.用分项详细估算法估算流动资金

(1)应收账款=年经营成本/年周转次数=21000万元/(360/30)=1750万元。

(2)现金=(年工资福利费+年其他费)/年周转次数

=(1100×7.20+860)万元/(360/40)=975.56万元。

(3)存货:

外购原材料、燃料、动力费=年外购原材料、燃料、动力费/年周转次数

=19200万元/(360/40)=2133.33万元。

在产品=(年工资福利费+年其他制造费+年外购原料燃料费+年修理费)/年周转次数

=(1100×7.20+660+19200+21000×10%)万元/(360/40)=3320.00万元。

产成品=年经营成本/年周转次数=21000万元/(360/40)=2333.33万元。

存货=(2133.33+3320.00+2333.33)万元=7786.66万元。

(4)预付账款=年预付账款/年周转次数=800万元/(360/30)=66.67万元。

(5)应付账款=外购原材料、燃料、动力费/年周转次数=19200万元/(360/30)=1600.00万元。

(6)预收账款=年预收账款/年周转次数=1200万元/(360/30)=100.00万元。

由此求得:流动资产=应收账款+现金+存货+预付账款

=(1750+975.56+7786.66+66.67)万元=10578.89万元。

流动负债=应付账款+预收账款=(1600.00+100.00)万元=1700.00万元。

流动资金=流动资产-流动负债=(10578.89-1700)万元=8878.89万元。

编制流动资金估算表见表4-99。

4-99 流动资金估算表

978-7-111-44397-1-Chapter10-137.jpg

3.计算拟建项目的总投资

总投资=建设投资+贷款利息+流动资金

=(52180+5000+4094.11+8878.89)万元=70153万元。

试题二

1.A方案的财务净现值:

FNPA(A)=[-42000(P/F,6%,1)+4000(P/F,6%,2)+5000(P/F,6%,3)+6000(P/A,6%,7)(P/F,6%,3)]万元=-930.71万元。

B方案的财务净现值:

FNPA(B)=[-36000(P/F,6%,1)+3000(P/F,6%,2)+5000(P/F,6%,3)+5600(P/A,6%,7)(P/F,6%,3)]万元=-847.29万元。

由于A、B两方案的财务净现值均小于零,表明该项目在财务上不可行。

2.甲咨询工程师识别的经济费用中不正确的是:企业所得税、国内利息。

甲咨询工程师识别的经济效益中不正确的是:污水处理费收入。

3.(1)该项目的社会评价应包括的内容:项目的社会影响分析、项目与所在地区的互适性分析、社会风险分析。

(2)乙咨询工程师的观点正确。理由:该污水处理厂所在地的居民会受到本项目的影响,可能会对项目的实施产生影响,应获得他们对项目的支持。

4.咨询工程师应推荐选择B方案,因为该项目属于非经营性项目(或市场配置资源失灵的项目,或公共产品特征的项目,或外部效果显著的项目,或公共基础设施项目),财务分析结果不能作为投资决策的依据,需根据项目方案经济分析结果,判断其经济合理性。

试题三

1.股东直接投资资金成本=社会无风险投资收益率+项目的投资风险系数×(市场投资组合预期收益率-社会无风险投资收益率)=3%+1×(8%-3%)=8%。

银行长期贷款所得税后资金成本=7%×(1-25%)=5.25%。

本项目融资方案的总体税后资金成本=8%×35%+5.25%×(1-35%)=6.21%。

2.BEP(生产能力利用率)=[年总固定成本/(年销售收入-年总可变成本-年销售税金及附加)]×100%=[42500/(125000-21000-1200)]×100%=41.34%。

计算结果表明,在生产负荷达到设计生产能力的41.34%时即可盈亏平衡,说明该项目对市场的适应能力较强。

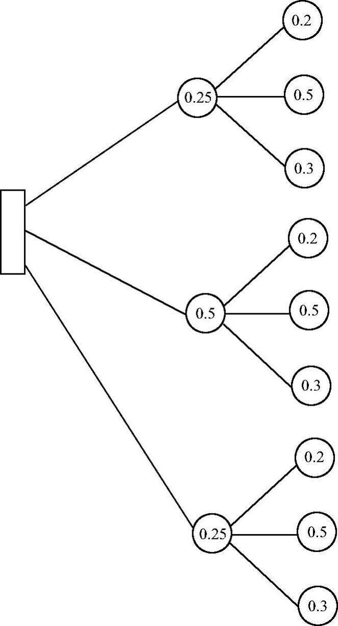
3.计算本项目财务净现值大于或等于零的概率。概率树图如图4-5所示。

978-7-111-44397-1-Chapter10-138.jpg

图4-5 概率树图

发生的可能性及其财务净现值见表4-100。

4-100 发生的可能性及其财务净现值

978-7-111-44397-1-Chapter10-139.jpg

累计概率计算见表4-101。

4-101 累计概率计算

978-7-111-44397-1-Chapter10-140.jpg

根据表4-101数据,可求得净现值小于零的概率为:P[NPV(7%)<0]=0.35+(0.4-0.35)×864/(864+10344)=0.354,即项目不可行的概率为0.354,计算得出的净现值大于或等于零的可能性为64.6%,因此该项目的抗风险能力较强。

4.当项目面临风险时,常用的风险对策有风险回避、风险控制、风险转移、风险接受。

试题四

1.A产品处于生命周期中的衰退期,应采取的以下战略。

(1)市场方面:重新选择市场区域,改善企业形象。

(2)生产经营方面:缩小生产规模或缩减生产能力,保持价格优势。

(3)研发方面:研发可替代的新产品。

(4)投资方面:不再增加投资,逐渐减少投资,逐步退出该领域。

2.利用价格弹性公式,A产品的价格弹性=(ΔQ/Q/(ΔP/P)=[(69-60)/60]/[(2000-2200)/2200]=-1.65。

3.X公司应该进入该领域。从案例中的行业吸引力评分表可以计算出游戏软件开发行业的行业吸引力评分为:5×0.25+3×0.18+5×0.12+2×0.20+4×0.15+4×0.10=3.79。

4.PEST分析是从政治、经济、社会、技术四个方面进行外部环境因素分析。由此可得出:

(1)政治环境方面:(2)、(8)。

(2)经济环境方面:(1)、(4)、(6)、(9)。

(3)社会环境方面:(5)、(7)。

(4)技术环境方面:(3)、(10)。

5.除了题目所给的因素之外,家电行业的成功关键因素还包括生产成本低、固定资产高、生产能力利用率、产品设计能力强等;而软件行业的成功关键因素还包括科研专家、工艺创新能力、产品创新能力等。

试题五

1.运用波士顿矩阵分析,A产品的相对市场份额为1.2,市场成长率为14%,可以在矩阵图4-6上确定该产品的位置,也可直接根据波士顿矩阵横坐标和纵坐标的含义确定,该产品属于“明星”业务,应该采取的策略是:采取发展策略,追加投资、扩大业务。

978-7-111-44397-1-Chapter10-141.jpg

图4-6 波士顿矩阵

2.(1)计算初始平滑值:

978-7-111-44397-1-Chapter10-142.jpg

(2)由指数平滑法公式得出:

F1=[0.3×5.54+(1-0.3)×5.627]万台=5.601万台

F2=[0.3×5.75+(1-0.3)×5.601]万台=5.646万台

F3=[0.3×5.59+(1-0.3)×5.646]万台=5.629万台

F4=[0.3×5.33+(1-0.3)×5.629]万台=5.539万台

F5=[0.3×6.06+(1-0.3)×5.539]万台=5.695万台

F6=[0.3×6.57+(1-0.3)×5.695]万台=5.958万台

因此,2012年4月的A产品销售量为5.96万台。

3.除了指数平滑法外,常用的延伸预测法主要包括以下内容。

(1)移动平均法:适用于短期预测,主要用于以月度或周为单位的近期预测。

(2)趋势外推法用于短、中长期预测,需要至少5年数据。

(3)季节变动分析:用来预测市场需求随季节的变化呈现出周期性的变化,主要适用于季节波动较小、同季节的数据呈水平变动趋势的市场预测。

4.为了完善企业数据库,除了现有的行业统计信息库外,Y公司还应建立法律数据库、政策数据库、标准规范数据库、项目数据库等。

试题六

1.(1)方案比选的可比性原则具体包括:服务年限的可比性;计算基础资料的可比性(如价格);设计深度应相同,效益与费用的计算范围应一致;经济计算方法应相同,即选择相同的评价指标。

(2)方案比选的动态分析方法包括:净现值比较法、净年值比较法、差额投资内部收益率法、费用现值比较法、费用年值比较法。

2.根据题目可知该住宅售价符合β分布,则其期望值和方差的计算公式为

978-7-111-44397-1-Chapter10-143.jpg

式中 a——乐观值;

b——悲观值;

m——最可能值;

t——期望值;

σ——标准差。

该住宅售价期望值=(7500+5500×4+4000)元/m2/6=5583.33元/m2

该住宅售价标准值=(7500-4000)元/m2/6=583.33元/m2

3.按从小到大顺序排列各种售价,计算累计概率见表4-102。

4-102 累计概率计算表

978-7-111-44397-1-Chapter10-144.jpg

要满足开发商投资回报率的要求,住宅的售价应高于5200元/m2,由上述数据可知:

住宅的售价低于5200元/m2的概率=0.45+0.35×(5200-5000)/(5500-5000)=0.59。

则住宅售价高于5200元/m2的概率为1-0.59=0.41,即本项目满足开发商投资回报率要求的概率为41%,说明项目具有很大风险。

4.(1)正确。当风险分析中的输入变量多于3个,每个变量可能出现3个以上至无限多种状态时,可以采用蒙特卡洛技术。

(2)使用时应注意的问题:

1)风险变量之间应该是独立的,输入变量的分解程度既要保证结果可靠,又要避免风险变量之间的相关。

2)根据不确定变量的个数和数量的分解程度确定模拟次数,不确定变量的个数越多,变量分解得越细,需要模拟的次数越多。

试题七

1.先采用比例估算法估算主厂房的建筑工程费和安装工程费,再用设备和厂房系数法估算其他工程费用。

(1)主厂房的建筑工程费=4200万元×18%=756万元。

主厂房的安装工程费=4200万元×12%=504万元。

主厂房的工程费用=(4200+756+504)万元=5460万元。

(2)其他工程的工程费用=5460万元×(9%+12%+0.7%+2.8%+1.5%)=1419.6万元。

(3)工程费用=(5460+1419.6)万元=6879.6万元。

(4)工程建设其他费用=5460万元×32%=1747.2万元。

(5)基本预备费=(6879.6+1747.2)万元×10%=862.68万元。

978-7-111-44397-1-Chapter10-145.jpg

该项目建设期2年,第1年投入60%,第2年投入40%

第1年的涨价预备费=6879.6万元×60%×[(1+3%)-1]=123.83万元。

第2年的涨价预备费=6879.6万元×40%×[(1+3%)2-1]=167.59万元。

涨价预备费=(123.83+167.59)万元=291.42万元。

(6)建设投资=(6879.6+1747.2+862.68+291.42)万元=9780.9万元。

2.(1)贷款年中均衡发生,采用复利计算。

第1年建设期利息=[(6000×60%)万元/2]×6%=108万元。

第2年建设期利息=(6000×60%+108+6000×40%/2)万元×6%=294.48万元。

建设期利息=(108+294.48)万元=402.48万元。

(2)还款第1年年初的借款本息累计:(6000+402.28)万元=6402.48万元。

采用等额还本付息方式:

每年还本付息额=6402.48万元×(A/P,6%,5)=1519.95万元。

还款期第1年利息=6402.48万元×6%=384.15万元。

还款期第1年还本=(1519.95-384.15)万元=1135.8万元。

3.固定资产原值=建设投资+建设期利息=(9780.9+402.48)万元=10183.38万元。

残值=10183.38万元×5%=509.17万元。

采用平均年限法,则年折旧额=(10183.38-509.17)万元/8=1209.28万元。

4.(1)将题目所给数据和计算数据填入表4-103中。

4-103 项目投资现金流量表 (单位:万元)

978-7-111-44397-1-Chapter10-146.jpg

(续)

978-7-111-44397-1-Chapter10-147.jpg

其中:①建设投资期建设期第1年投入=9780.9万元×60%=5868.54万元。

建设期第2年投入=9780.9万元×40%=3912.36万元。

②流动资金生产期第1年年初投入=500万元×30%=150万元,填入表中第2年一格。

生产期第1年年末投入=(500-150)万元=350万元,填入表中第3年一格。

③营业税金及附加=销售收入×5%

④调整所得税=息税前利润×所得税税率=(销售收入-经营成本-折旧-营业税金及附加)×所得税税率

以生产期第1年为例,其他依此类推:

调整所得税=(4000-2000-1209.28-200)万元×33%=194.94万元。

(2)利用公式978-7-111-44397-1-Chapter10-148.jpg,查复利系数表得:

项目税后财务净现值=[-5868.54×(P/F,15%,1)-4062.36×(P/F,15%,2)+1255.06×(P/F,15%,3)+2559.81×(P/A,15%,6)×(P/F,15%,3)+3568.98×(P/F,15%,10)]万元=-97.78万元

因FNPV<0,所以该项目在财务上不可行。

试题八

1.编制项目借款还本付息计算表,见表4-104。

第1年应计利息=(0+1000/2)×10%万元=50万元。

第2年应计利息=[(1000+50)+1000/2]×10%万元=155万元。

第3年应计利息=2205×10%万元=220.5万元,依次类推。

4-104 借款还本付息计算表(单位:万元)

978-7-111-44397-1-Chapter10-149.jpg

2.年折旧额计算

方法一:

年折旧额=(固定资产原值-残值)/折旧年限={[(5000+205-600)-230]/8}万元

=546.88万元

方法二:

年折旧率=[1-残值/(固定资产原值-残值)]/折旧年限

={[1-230/(5000-600+205-230)]/8}×100%=[(1-5%/8]×100%=11.875%

年折旧额=固定资产原值×年折旧率

=(5000-600+205)×11.875%万元=4605万元×11.875%=546.84万元

年摊销=无形资产费用/摊销年限=(600/8)万元=75万元

第3年总成本费用=经营成本+折旧+摊销+利息支出

=(2000+546.84+75+220.5)万元=2842.34万元

第3年利润总额=销售收入-销售税金及附加-总成本费用

=(4000-41-2842.34)万元=1116.66万元

所得税=利润总额×所得税率

=1116.66万元×33%=368.50万元

盈余公积金和公益金=税后利润×盈余公积金和公益金提取比例

=(1116.66-368.50)万元×15%=112.22万元

3.第1年偿债备付率

第1年偿债备付率=可用于还本付息的资金/当期应还本付息额

=(息税折旧摊销前利润-所得税)/当期应还本付息额

=(1116.66-368.50+546.84+75+220.5)/(735+220.5)=1.66

或第1年偿债备付率=(销售收入-销售税金及附加-经营成本-所得税)/当期应还本付

息额

=(4000-41-2000-368.50)/(735+220.5)=1590.50/955.5=1.66

偿债备付率高于1,表明具有较强的清偿能力。反映清偿能力的指标还包括利息备付率和资产负债率。

4.判断不恰当,理由如下:

(1)指出只算一年的数据(利润和偿债备付率)或指出未计算整个项目计算期相应数据,不能反映整个项目的盈利能力和清偿能力。

(2)指出只采用静态分析方法,不能反映项目的总体盈利能力和可持续能力,或指出应采用动态分析指标,如财务内部收益率、财务净现值等指标,才能反映该目的的总体盈利能力和可持续能力。

试题九

1.B咨询公司进行市场调查时,除已采用的方法外,还可以采用的调查方法:问卷调查、实地调查、实验调查、文案调查。

2.专家调查法实施方案:①建立预测工作组;②选择专家;③设计调查表;④组织调查实施;⑤汇总处理调查结果。

3.项目各年的净效益流量。

第1年:净效益流量=(0-1500)百万元=-1500百万元,以此类推可得第2年:-2500百万元;第3年:461百万元;第4年:563百万元;第5~19年:594百万元;第20年:2636百万元。

项目经济净现值(ENPV)=(-1500×0.9091-2500×0.8264+461×0.7513+563×0.6830+594×7.6061×0.683+2636×0.1486)百万元=778.75百万元

由于项目经济现值(ENPV)>0,具有经济合理性。

4.识别出社会因素并排序后,B咨询公司进行的详细社会评价还应包括的工作:识别利益相关者并排序;论证当地社会环境对项目的适应程度;比选优化方案。

试题十

1.A产品所在行业的市场竞争格局属于分散竞争。因为第一名的市场占有率为18%,小于26%,且各企业的市场份额比率均在1.7以内,市场竞争异常激烈,各企业位置变化可能性很大。

2.甲公司的竞争态势矩阵分析见表4-105。

4-105 甲公司的竞争态势矩阵分析

978-7-111-44397-1-Chapter10-150.jpg

由于甲公司的加权强势总评分为3.65,竞争对手乙的加权强势总评分为3.40,竞争对手丙的加强权势总评分为3.85。因此,甲公司的综合竞争能力比竞争对手乙公司强,比竞争对手丙公司弱。

此处还可以有另一种算法,主要步骤如下:

甲公司总评分:

0.2×4/(4+3+5)+0.15×2/(2+5+3)+0.2×5/(5+4+5)+0.15×3/(3+1+4)+0.2×5/(5+3+3)+0.1×1/(1+5+2)=0.33

乙公司总评分:

0.2×3/(4+3+5)+0.15×5/(2+5+3)+0.2×4/(5+4+5)+0.15×1/(3+1+4)+0.2×3/(5+3+3)+0.1×5/(1+5+2)=0.32

丙公司总评分:

0.2×5/(4+3+5)+0.15×3/(2+5+3)+0.2×5/(5+4+5)+0.15×4/(3+1+4)+0.2×3/(5+3+3)+0.1×2/(1+5+2)=0.35

3.B产品处于产品生命周期的成熟期(图4-7)。

978-7-111-44397-1-Chapter10-151.jpg

图4-7 产品生命周期各阶段特点

4.甲公司不应接受咨询公司的建议或不适合在成熟期进入B产品市场。(这里必须明确判断,回答“不一定”、“不应轻易接受建议”、“不应盲目进入”等都不对)

因为进入某产品市场最佳时期是成长期。在成熟期,市场竞争激烈,企业进入的门槛很高(或者说“成熟期,市场竞争激烈”或“甲公司开发B产品较难进入市场”或“有较大障碍”等都可以)。甲公司的资金和技术实力较为薄弱,不适合在成熟期进入B产品市场(或者说“除非企业有很雄厚的资金和技术,否则很难成功”也可以)。

试题十一

1.该项目盈亏平衡点的产量=[1650/(80-45-80×1%)]万件=48.25万件。

该项目生产能力利用率={1650/[60×(80-45-80×1%)]}×100%=80.41%

2.在市场销售良好的情况下,正常生产年份的最大可能利润总额=[60×(80-45-80×1%)-1650]万元=402万元。

3.因原材料价格上涨使单位产品可变成本上涨5元,要满足年利润总额50万元的要求,则年产量应为{(1650+50)/[80-(45+5)-80×1%]}万件=58.22万件。

4.根据上述条件及计算结果表明,该项目具有抗风险能力。因为在生产负荷达到设计生产能力80.41%时即可盈亏平衡,且单位产品可变成本上涨5元后还可年获得利润总额50万元的年产量为58.22万件。

试题十二

1.估算单台进口车辆购置费

进口车辆货价=30000×6.5元=195000元。

海运费及运输保险费=1500×6.5元=9750元。

进口关税=(195000+9750)元×22%=45045元。

增值税=(195000+9750+45045)元×17%=42465.15元。

银行财务费=195000元×0.5%=975元。

外贸手续费=(195000+9750)元×1.5%=3071.25元。

进口车辆购置费=(195000+9750+45045+42465.15+975+3071.25+6000)元

=302306.4元。

2.国民经济评价

(1)已知每台车辆的燃油成本、日常维护成本和大修成本合计为0.70元/km,不用调整,关税和增值税为转移支付不必考虑。

进口车辆购置费用现值=[(30000+1500)×1.08×6.5+975+3071.25+6000]元

=231176.25元

每公里分摊车辆的购置成本=[231176.25×(A/P,10%,8)/100000]元=0.43元。

进口车辆:每台车辆每公里的人工费=[30000×1.2/100000]元=0.36元。

因此,三项合计每辆车每公里的经济成本为1.49元。

(2)已知每台车辆的燃油成本、日常维护成本和大修成本合计为0.6元/km,购置税为转移支付不予考虑。

每公里分摊车辆的购置成本=[200000×(A/P,10%,8)/100000]元=0.37元。

国产车辆:每台车辆每公里的人工费=(30000/100000)元=0.30元。

因此,三项合计每台车辆每公里的经济成本为1.27元。

3.10台进口车辆每公里的经济成本共计为14.90元;14台国产车辆每公里的经济成本共计为17.78元。

结论:因为10辆进口车每公里经济成本小于14辆国产的经济成本,故方案一优于方案二,应该购置进口车。

试题十三

1.方案1的初始投资的费用年值=120(A/P,8%,20)亿元=12.222亿元。

方案2的初始投资的费用年值=210(A/P,8%,20)亿元=21.389亿元。

方案3的初始投资的费用年值=250(A/P,8%,20)亿元=25.463亿元。

方案1预期每年减少损失的效益=(120-70)亿元=50亿元。

方案2预期每年减少损失的效益=(120-90)亿元=30亿元。

方案3预期每年减少损失的效益=(120-30)亿元=90亿元。

2.费用年值比较法适用于效益相同或基本相同,又难于具体估算效益的方案进行比较的情况,而本题中三个方案的效益显然不同,所以不宜采用该方法。

3.方案1的效益/费用=50/(12.222+12)=2.06>1。

方案2的效益/费用=30/(21.389+20)=0.72<1。

方案3的效益/费用=90/(25.463+30)=1.62>1。

由此可以看出,方案1和方案3是可行的,方案2在经济上不可行。进一步比较方案1和方案3:

差额效益/差额费用=(90-50)/(25.463+30-12.222-12)=1.28>1。

所以投资额大的方案优,即方案3优。

试题十四

1.该项目投资现金流量表中的现金流入、现金流出的组成内容见表4-106。

4-106 项目投资现金流量表(单位:万元)

978-7-111-44397-1-Chapter10-152.jpg

(续)

978-7-111-44397-1-Chapter10-153.jpg

销售收入=20万t×4000元/t=80000万元。

补贴收入=20万t×700元/t=14000万元。

回收固定资产余值=200000万元×90%×10%=18000万元。

2.该项目投资现金流量表中各年净现金流量见表4-106。

第1年的净现金流量=(0-200000)万元=-200000万元。

第2年的净现金流量=(94000-55400)万元=38600万元。

第3年的净现金流量=(94000-35400)万元=58600万元。

第4年的净现金流量=(94000-35400)万元=58600万元。

第5年的净现金流量=(94000-35400)万元=58600万元。

第6年的净现金流量=(132000-35400)万元=96600万元。

项目投资财务净现值=(-200000×0.9091+38600×0.8264+58600×0.7513+58600×0.6830+58600×0.6209+96600×0.5645)万元=25044万元。

3.该项目投资经济费用效益流量表见表4-107。

4-107 项目投资经济费用效益流量表(单位:万元)

978-7-111-44397-1-Chapter10-154.jpg

4.第1年的净效益流量=(0-200000)万元=-200000万元。

第2年的净效益流量=(90000-55000)万元=35000万元。

第3年的净效益流量=(90000-35000)万元=55000万元。

第4年的净效益流量=(90000-35000)万元=55000万元。

第5年的净效益流量=(90000-35000)万元=55000万元。

第6年的净效益流量=(128000-35000)万元=93000万元。

项目经济净现值=(-200000×0.9259+35000×0.8573+55000×0.7938+55000×0.7350+55000×0.6806+93000×0.6302)万元=24951万元。

由于经济净现值大于零,因此该项目在经济上是合理的。

试题十五

1.当n=3时的移动平均法计算见表4-108。

4-108 移动平均法计算

978-7-111-44397-1-Chapter10-155.jpg

2011年9月的销售额978-7-111-44397-1-Chapter10-156.jpg

2011年10月的销售额978-7-111-44397-1-Chapter10-157.jpg

2011年11月的销售额978-7-111-44397-1-Chapter10-158.jpg

2011年12月的销售额978-7-111-44397-1-Chapter10-159.jpg

因此2011年第4季度的销售额预测为

Q=Q2+Q3+Q4=(4.16+4.22+4.19)万元=12.57万元。

2.首先计算初始平滑值F0=(x1+x2+x3/3=[(4.52+2.91+4.43)/3]万元=3.95万元。按照指数平滑法计算公式Ft=0.3xt+(1-0.3)Ft-1计算结果见表4-109。

4-109 指数平滑法计算结果

978-7-111-44397-1-Chapter10-160.jpg

(续)

978-7-111-44397-1-Chapter10-161.jpg

2011年9月的销售额预测为4.06万元。