2.1.2 单位根过程的相关分布

2.1.2  单位根过程的相关分布

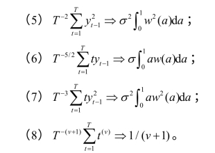
对于单位根过程,取y0=0,则图示。显然,其方差是时变的,因而是非平稳的。对于其分布,则由泛函中心极限定理和连续映射定理可以推导出其渐近分布[1]。相关结论如下:

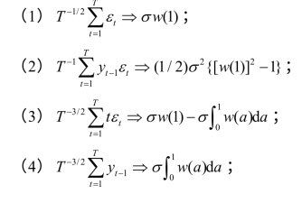
结论1 若上述单位根过程中的{εt}为一个均值为0、方差为σ2的i.i.d(即独立同分布)序列,且y0=0,则有:(https://www.daowen.com)

图示

图示

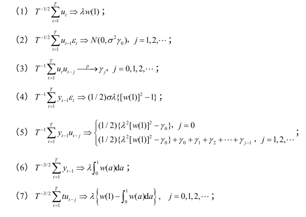
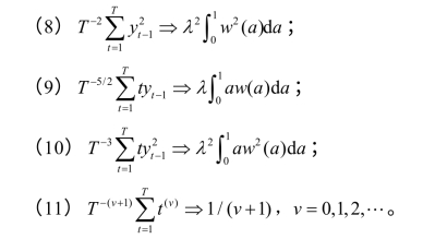
结论2 若单位根过程存在序列相关,即模型表述为:

图示

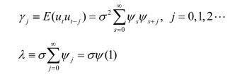
这里图示,其中图示且四阶矩有限,定义:

图示

则有:

图示

图示