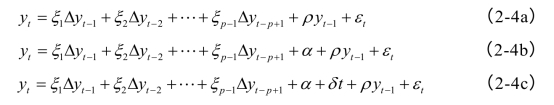
2.2.1 DF(Dickey-Fuller Test)与ADF(Augmented Dickey-Fuller Test)检验
Dickey与Fuller(1979)提出了基于随机游走的单位根检验:DF检验,随后,为修正自相关问题,Dickey与Fuller(1979,1981)在原方程中加入Δyt的若干滞后项以消减自相关性问题,提出了扩展的ADF检验。
DF检验的三个检验方程为:


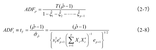
ADF检验的三个检验方程则为:

其中{εt}为i.i.d序列,均值为零,方差为σ2,四阶矩有限。
本书以一般常用的DF检验(即不含常数项与时间趋势项)、ADF检验(即不含时间趋势项)的情形为例展开如下讨论。
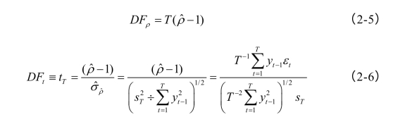
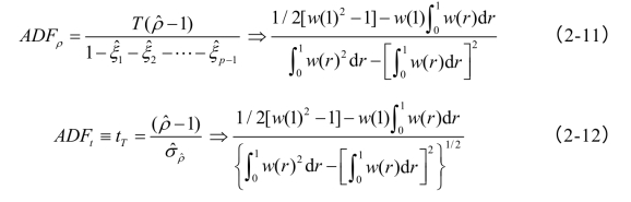
检验是否存在单位根则是检验假设:H0:ρ=1;H1:ρ﹤1。
检验统计量为:

这里sT为样本标准差;

这里ep+1=(0,0,…,0,1)′(p+1)×1,Xt=(Δyt-1,Δyt-2,…,Δyt-p+1,1,yt-1)′。
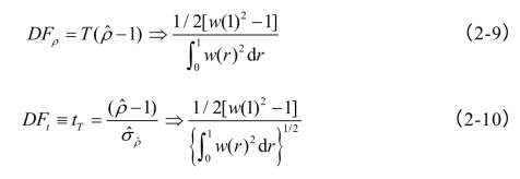
则在原假设成立的条件下,当T→∞时,有:


实际应用时,可给出各统计量的经验分布临界值表和响应面函数。