8.4.3 卷积定理
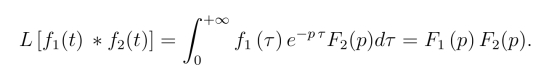
定理1 设f1(t)与f2(t)满足拉氏变换存在定理中的条件,且L[f1(t)] =F1(p),L[f2(t)]=F2(p),则f1(t) *f2(t) 的拉氏变换存在,且

或

证明 容易证明f1(t) *f2(t)满足拉氏变换存在定理中的条件.

由上式可知,积分区域为图8-3所示的阴影部分.由于二重积分绝对可积,故可交换积分次序,即


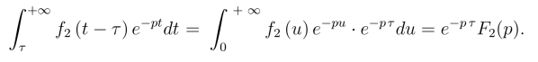
令u=t-τ,则

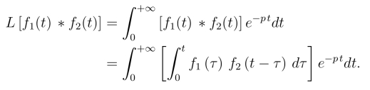
于是得到

不难推证,若fk(t)(k =1,2,··· ,n)满足拉氏变换存在定理中的条件,且

则

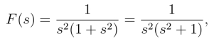
例2 若F(s)=
求f(t).
解 因为

取

于是f1(t)=t,f2(t)=sin t.根据卷积定理得

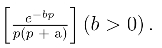
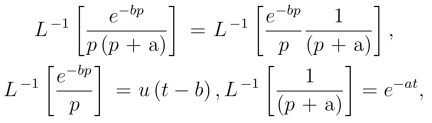
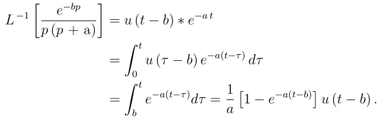
例3 求L-1
解 因为

所以
