▶2.2.3 形函数的性质
研究表明,形函数具备如下性质。
①形函数在单元结点上取值为

简言之,形函数在本点其值为1,在其他结点为零。此性质称为Kronecker delta性质。
②在单元中任意一点所有形函数之和等于1,即

因为若单元发生刚体位移,如在x方向有刚体位移u=u0,则单元中任一点都具有相同的位移u0,当然在结点处的位移也等于u0,即ui=uj=um=u0。代入式(2.10),则有

因此,必然要求式(2.17)成立。若形函数不能满足此条件,则位移函数就不能反映单元的刚体位移,最终必然不能得到正确的结果。
上述单元形函数的性质式(2.16)和式(2.17)具有一般性。
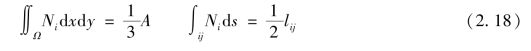
对于3结点三角形平面单元,可以推导出单元上的面积分和沿着边界上的线积分分别为
