▶6.3.1 单元位移函数
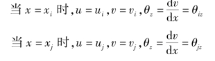
单元的每个结点有3个广义位移——沿x和y方向的位移u和v以及绕z轴的转角θz,每个单元沿梁的轴线方向只有2个轴向结点位移——ui,uj,所以单元的轴向位移取坐标的线性函数。而每个单元与y向位移有关的结点位移有4个——vi,θiz,vj,θjz,所以单元的y向位移取坐标的3次函数,即

式中,α1,α2,β1,β2,β3,β4为待定常数,可由单元结点位移条件确定,即

则有


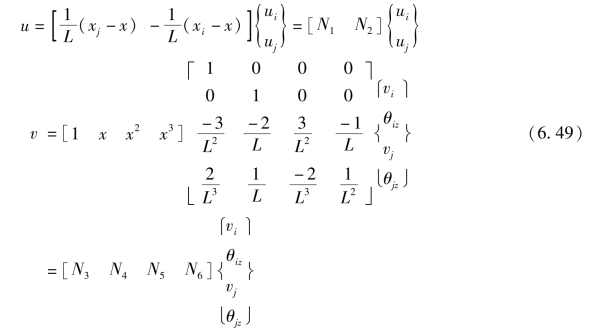
由式(6.47)和式(6.48)分别解出α1,α2和β1,β2,β3,β4,并代回式(6.46),得

式中 L——单元长度。
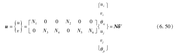
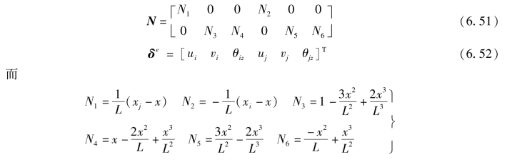
将式(6.49)中的两式合写在一起,并以矩阵形式表示,则有

式中 N——形函数矩阵;
δe——单元结点位移列阵,即
