▶6.3.3 单元刚度矩阵
2026年01月14日
▶6.3.3 单元刚度矩阵
单元刚度矩阵可由虚位移原理导出。假定单元的虚位移函数与单元位移函数的形式相同,即参照式(6.50)、式(6.55),则单元虚位移(δe)*和单元虚应变ε*可以写为

式中,N为形函数矩阵,(δe)*为单元的结点虚位移列阵,即

单元应力在虚应变上所做的虚功为

式中 Ve——单元体积。
将单元结点力记为
![]()
式中 FN——单元的轴力;
FS——y方向的剪力;
M——绕Z轴的弯矩。(https://www.daowen.com)
单元结点力在虚位移上所做的虚功为
![]()
由虚位移原理,可得

因为虚位移是任意的,所以为使式(6.59)成立,等式两边与((δe)*)T相乘的项应该相等,即

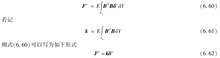
这就是表示梁单元的结点力与结点位移关系的单元刚度方程,而k即为单元刚度矩阵。将式(6.54)代入式(6.61),并经过积分运算,可以得到梁单元刚度矩阵的如下显式表达式

式中 A——单元的横截面面积;
I——横截面惯性矩;
E——材料的弹性模量。