导文网
搜索
首页>
图书频道>
理学>
数学物理化学
▶6.3.2 单元应变和单元应力
2025年09月26日
版权
▶6.3.2 单元应变和单元应力
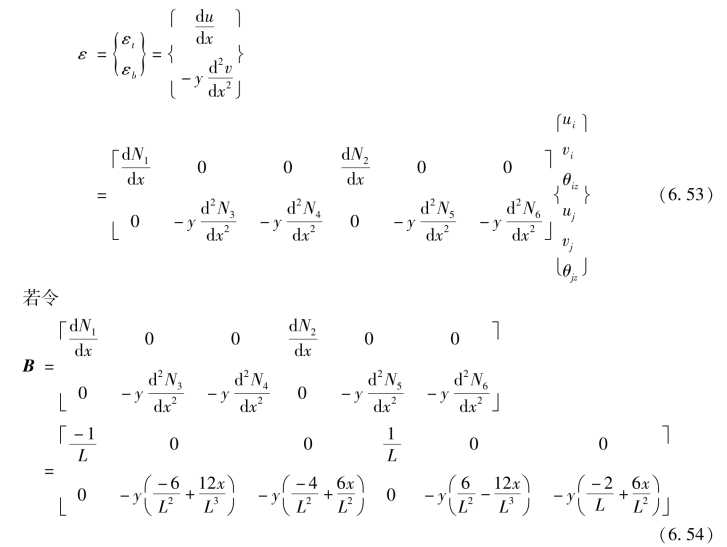
梁单元受到拉压和弯曲变形后,其应变可分为两部分:拉压应变ε
t
和弯曲应变ε
b
。如果略去剪切变形的影响,则单元应变为
则式(6.53)可写为
其中,B为单元应变矩阵,而单元应力为
上一章
下一章
目录