3.2.2 材料单价的确定

3.2.2 材料单价的确定

1)影响材料单价变动的因素

影响材料单价变动的因素主要有市场供需变化情况、生产成本变动、流通环节、运输的方法和距离、市场行情5个因素。

①市场供需变化情况。材料原价是材料单价中最基本的组成。市场供大于求,价格就会下降;反之,价格就会上升,从而就会影响材料单价的涨落。

②生产成本变动。材料生产成本的变动直接影响材料单价的波动。

③流通环节。材料的流通环节,是指组成材料整个交换过程的每次买卖行为。一般来说,材料的流通环节越少,对材料单价的影响就会越小。

④运输的方法和距离。材料从货源地运至工地仓库,选用何种运输方式,会影响材料单价的大小;从货源地至工地仓库的距离,也会影响材料单价的大小。

⑤市场行情。市场行情是指市场上材料流通过程中有关材料供给、材料需求、流通渠道、材料购销和价格的实际状况、特征以及变动的情况、趋势和相关条件的信息。

2)材料单价的确定方法

(1)材料原价的确定

在确定材料原价时,凡同一种材料因来源地、交货地、供货单位、生产厂家不同,而有几种原价时,根据不同来源地供货数量比例,采取加权平均的方法确定其综合原价。材料原价的计算公式有下列两种:

①加权平均原价。

②权数法。

(2)材料运杂费的确定

同一品种的材料有若干个来源地,应采用加权平均的方法计算材料运杂费。计算公式如下:

注:式(3.8)至式(3.10)中各地权数的计算方法参见式(3.4)、式(3.5)、式(3.6)。

(3)材料运输损耗费的确定

确定材料运输损耗费的计算公式如下:

关于材料运输损耗率的确定,针对不同的物料,国家或行业标准中都规定了不同运输方式下的损耗率。

(4)材料采购及保管费的确定

确定材料采购及保管费的计算公式如下:

材料采购保管费率一般为2.5%左右,各地区可根据不同情况确定其比率。如有的地区规定:钢材、木材、水泥为2.5%,水电材料为1.5%,其余材料为3.0%。其中材料采购费占70%,材料保管费占30%。

(5)材料单价

在确定了上述4项费用后,即可以进一步计算得出材料单价,计算公式如下:

或者,综合上述公式联立列式为:

3)材料单价的计算实例

【例3.1】 某市政工程使用ϕ22螺纹钢共计1 000 t,由甲、乙、丙3个购买地获得,相关参数见表3.1,试计算其材料单价。

表3.1 螺纹钢交易相关参数信息表

【解】 (1)材料原价

①加权平均原价法。参见式(3.3):

②权数法。参见式(3.4)、式(3.5)、式(3.6):

参见式(3.7):

材料原价=3 320.00×50%+3 330.00×30%+3 340.00×20%=3 327.00(元/t)

上述两种方法第二种较为简单,后面的各项费用计算均采用第二种方法。

(2)材料运杂费

①运输费。参见式(3.9):

材料运输费=1.50×60.00×50%+1.50×45.00×30%+1.6×56.00×20%=83.17(元/t)

②装卸费。同理:

材料装卸费=8.00×50%+8.00×30%+7.50×20%+6.00=13.90(元/t)

参见式(3.8):

材料运杂费=83.17+13.90=97.07(元/t)

③运输损耗费。应参见式(3.11),但由于本题目中钢材的运输损耗率一般为0,所以材料运输损耗费也等于0。

④材料采购保管费。参见式(3.12):

材料采购保管费=(3 327.00+97.07+0.00)×2.5%=85.60(元/t)

⑤材料单价。参见式(3.13):

材料单价=3 327.00+97.07+0.00+85.60=3 509.67(元/t)

综上所述,该ϕ22螺纹钢的材料单价为3 509.67元/t。

【例3.2】 某市政工程购买尺寸规格为800mm×800mm×5mm的地砖共3 900块,由A、B、C 3个购买地获得,相关信息见表3.2,试计算每平方米地砖的材料单价为多少元?

表3.2 地砖交易相关参数信息表

【解】 (1)材料原价

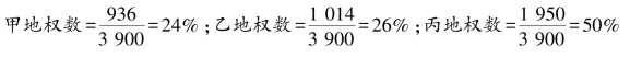
①各地材料的购买权数。参见式(3.4)、式(3.5)、式(3.6):

②每平方米800 mm×800 mm地砖的块数(由于题目要求计算每平方米的地砖材料单价,所以需换算每平方米地砖的块数)

参见式(3.7):

材料原价=(36.00×24%+33.00×26%+35.00×50%)×1.562 5=54.25(元/m2

(2)材料运杂费

①运输费。参见式(3.9):

材料运输费=0.04×90.00×24%+0.04×80.00×26%+0.05×86.00×50%=3.85(元/m2

②装卸费。根据题意,材料装卸费=1.25(元/m2)。

参见式(3.8):

材料运杂费=3.85+1.25=5.10(元/m2

③运输损耗费。参见式(3.11):

运输损耗费=(54.25+5.10)×2.0%=1.19(元/m2

④材料采购保管费。参见式(3.12):

材料采购保管费=(54.25+5.10+1.19)×3.0%=1.82(元/m2

⑤材料单价。参见式(3.13):

材料单价=54.25+5.10+1.19+1.82=62.36(元/m2

综上所述,该800 mm×800 mm地砖的材料单价为62.36元/m2