3.3.2 施工机械台班单价的确定

3.3.2 施工机械台班单价的确定

1)折旧费

折旧费的确定涉及机械购买价、残值率、时间价值系数、耐用总台班等几个因素,其计算公式如下:

上式中各组成因素的具体确定方法,现分述如下。

(1)机械购买价

机械购买价应按照机械原值、供销部门手续费和一次运杂费以及车辆购置税之和计算。

①机械原值主要按照生产商或经销商的销售价格确定。

②供销部门手续费和一次运杂费可按照机械原值的5%来计算。

③车辆购置税应按下列公式计算:

(2)残值率

残值率是指机械报废时回收的残值占机械原值的百分比。残值率按目前有关规定执行:运输机械2%,掘进机械5%,特大型机械3%,中小型机械4%。

(3)时间价值系数

时间价值系数是指购置施工机械的资金在施工生产过程中随着时间的推移而产生的单位增值。换句话说,同一笔资金,若不用来购置施工机械,而是用于储蓄或投资,那么在一段时间内所产生的金额增值。其计算公式如下:

式中的年折现率,应按照编制期银行年贷款利率确定。

(4)耐用总台班

耐用总台班指施工机械从开始投入使用至报废前使用的总台班数,应按施工机械的技术指标及寿命期等相关参数确定。其计算公式为:

式中,年工作台班是根据有关部门对各类主要机械最近3年的统计资料分析确定。或者

①大修理间隔台班指机械自投入使用起至第一次大修理止或自上一次大修理后投入使用起至下一次大修理止,应达到的使用台班数。

②大修理周期指机械正常的施工作业条件下,将其寿命期(即耐用总台班)按规定的大修理次数划分为若干个周期。其计算公式为:

2)大修理费

台班大修理费是机械使用期限内全部大修理费之和在台班费用中的分摊额,取决于一次大修理费用、大修理次数和耐用总台班的数量。其计算公式为:

①一次大修理费指施工机械一次大修理发生的工时费、配件费、辅料费、油料燃料费及送修送杂费。

②寿命期内大修理次数指施工机械在其寿命期(耐用总台班)内规定的大修理次数,应参照《全国统一施工机械保养修理技术经济定额》确定。

3)经常修理费

经常修理费是机械使用期内全部经常修理费之和在台班费用中的分摊额,取决于各级保养一次费用、各级保养的总次数、临时故障排除费、耐用总台班及其他附加费用等。其计算公式为:

①各级保养一次费用,分别指机械在各个使用周期内为保证机械处于完好状况,必须按规定的各级保养间隔周期、保养范围和内容进行的一、二、三级保养或定期保养所消耗的工时、配件、辅料、油品燃料等费用,应以《全国统一施工机械保养修理技术经济定额》为基础,结合编制期市场价格综合确定。

②寿命期各级保养次数,分别指一、二、三级保养或定期保养在寿命期内各个使用周期中保养次数之和,应按照《全国统一施工机械保养修理技术经济定额》确定。

③临时故障排除费,指机械除规定的大修理及各级保养以外,临时故障所需费用以及机械在工作日以外的保养维护所需润滑擦拭材料费,可按各级保养(不包括例保辅料费)费用之和的3%计算。

④替换设备及工具附具台班摊销费,指轮胎、电缆、蓄电池、运输皮带、钢丝绳、胶皮管、履带板等消耗性设备和按规定随机配备的全套工具附具的台班摊销费用。

⑤例保辅料费,即机械日常保养所需润滑擦拭材料的费用。替换设备及工具附具台班摊销费、例保辅料费的计算应以《全国统一施工机械保养修理技术经济定额》为基础,结合编制期市场价格综合确定。

当台班经常修理费计算公式中各项数值难以确定时,也可按下式计算:

式中,K为台班经常修理费系数,它等于经常修理费与大修理费的比值。例如,载重汽车6 t以内,K=5.61;载重汽车6 t以上,K=3.93。自卸汽车6 t以内,K=4.44;自卸汽车6 t以上,K=3.34。塔式起重机,K=3.94。

4)安拆费及场外运费

安拆费及场外运费按下列公式计算:

5)机上人工费

机上人工费按下列公式计算:

①人工消耗量是指机上司机(司炉)和其他操作人员工日消耗量。

②年制度工作日的确定应执行编制期国家有关规定。

③人工日工资单价应执行编制期工程造价管理部门的有关规定。

6)燃料动力费

燃料动力费可按下列公式计算:

7)其他费用

机械台班其他费用可按下列公式计算:

或者也可以单独计算,列公式如下:

年检费用的计算应参照国家相关部分的具体规定。

8)施工机械台班单价确定实例

下面给出关于施工机械台班单价确定的一个实例。

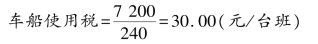
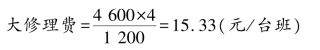
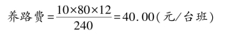
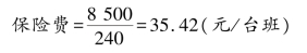
【例3.3】 某10 t载重汽车有关资料如下:购买价格125 000元/辆;残值率6%;耐用总台班1 200台班;修理间隔台班240台班;一次性修理费用4 600元;大修理周期5次;经常维修系数K=3.93,年工作台班为240;机上人工消耗量为2.0工日/台班,人工单价为45.00元/工日;每月每吨养路费80元/月;每台班消耗柴油40.03 kg,柴油单价5.60元/kg;每年按规定缴纳车船使用税7 200元,按规定缴纳保险费8 500元。试确定该载重汽车的台班单价。

【解】 根据上述信息逐项计算如下:

①折旧费。

参见式(3.15):

(注:这里时间价值系数为1.00)

②大修理费。

参见式(3.21):

寿命期大修理次数=大修理周期-1=5-1=4(次)

参见式(3.22):

③经常修理费。

参见式(3.24):

经常修理费=15.33×3.93=60.25(元/台班)

④机上人员工资。

参见式(3.26):

机上人员工资=2.00×45.00=90.00(元/台班)

(注:上式计算中考虑为年制度工作日=年工作台班)

⑤燃料及动力费。

参见式(3.27):

燃料动力费=40.03×5.60=224.17(元/台班)

⑥其他费用。

参见式(3.29):

参见式(3.30):

参见式(3.31):

其他费用合计=40.00+30.00+35.42=105.42(元/台班)

综上所述,该载重汽车台班单价=97.92+15.33+60.25+90.00+224.17+105.42=593.09(元/台班)。