长江经济带城市科技创新能力的空间相关性检验
从理论上来讲,科技创新存在空间效应,为了明确空间效应的存在及其表现形式,在选择适用的模型之前先运用探索性空间数据分析法(ESDA)对其空间效应进行检验。
1.全局空间自相关检验
运用Arcgis10.0计算出长江经济带2012—2016年108个城市的科技创新能力的Global Moran's I估计值,并得到可以检验空间自相关显著性的P值和Z值,如表1-4所示。2012—2016年长江经济带城市科技创新能力的全局Moran's I指数全部大于0,其中最小值为0.200348,均值为0.217,证明长江经济带各城市科技创新能力存在全局空间正相关。Moran's I正态统计量的Z值自2012年至2016年均大于正态分布函数在10%的显著性水平下的临界值1.96,证明长江经济带各城市科技创新能力在研究时段内均存在显著的全局空间正相关。
总体来看,Moran's I指数呈现波动上升的态势,由2012年的0.200348上升至2016年的0.202297,说明长江经济带城市科技创新能力在空间上由分散转为集聚的发展态势。城市科技创新能力强的地区对周边城市科技创新能力弱的地区的辐射带动作用增强,城市科技创新的空间溢出效应有所提升。当区域的科技创新水平达到一定程度时,技术、资金、人才等会向周围地区扩散,如:当某一地区接受外商直接投资时,该地区能够获得国外生产经验,从而得到显性的知识溢出来提升工作效益;还存在一些无法用语言或者文字记录来进行传播和学习的隐性知识,此类知识通过不同地区之间的人员往来进行传播和扩散,因为此类知识关乎个人的经验和手法。在科技创新的发展过程中,科技创新能力在空间上呈现集聚的趋势有利于科技创新能力的整体提高。
图1-9 长江经济带省域科技创新能力相对发展率差异对比
表1-4 长江经济带城市科技创新能力的空间相关性
续表
2.局部空间自相关检验
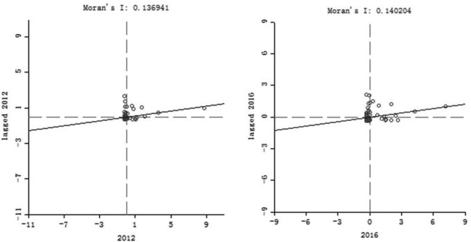
城市科技创新能力的总体空间差异有可能掩盖局部空间上的差异,因此通过Moran's I散点图、LISA集聚图进一步地探索长江经济带不同局域的关联模式。
从2012年和2016年长江经济带城市科技创新能力的空间Moran散点图来看(图1-10),落在一、三象限的点较多,表明大多数城市表现为在地理空间上存在正的空间自相关。而落在二、四象限的点较少,表明高低类型和低高类型的城市为偏离全域正的空间自相关的整体创新趋势的城市,其科技创新能力的空间特征表现为非典型性。
图1-10 长江经济带城市科技创新能力的散点图
Moran's I散点图能够在坐标系中直观地反映不同城市的局部空间相关性,不过它不能检验空间分布的显著性,但是LISA集聚图能够解决这个问题,并且LISA集聚图可以较直观地体现空间单元与周围单元的相近、相异程度。利用Arc-GIS10.0软件测度长江经济带科技创新能力的LISA值,分别绘制了代表性年份2012年和2016年的LISA集聚图。从图中可以看出,长江经济带的城市科技创新能力同类型的城市集聚较为明显,长江三角洲地区高高集聚较为明显,而长江中上游地区的低低集聚较为明显,低高集聚数量较前两种较少且主要分布于高高集聚周围,而不存在高低集聚的城市。
将2006年、2012年长江经济带城市科技创新能力具有显著的局部空间相关性的区域提取出来,如表1-5所示。该表显示:首先,长江经济带的城市科技创新产出集中发生在少数城市,而且这些城市在空间维度表现出空间依赖性和集聚特征,总的来说,以上海为中心的长三角地区创新产出较高,但绝大多数的长江中上游地区的创新活动相对贫乏,并且在长江上游地区的广元市、巴中市、南充市、遂宁市、资阳市呈现低低集聚,在此处形成了一个低低集聚区,逐渐出现集聚特征。其次,长江经济带城市科技创新产出的空间相关性和集聚特征具有较强的稳定性,且逐渐被强化,这也表明各城市想要与其原有的集群相分离较为困难,可以发现,科技创新的空间分布特征存在一定程度的路径依赖与粘滞性。如湖州市和嘉兴市2012年和2016年均属于低高集聚,虽然地处长三角地区,周围的城市科技创新能力高,但其自身科技创新能力却比较低,周围城市的知识溢出对其产生的影响作用不大。最后,空间知识溢出产生于特定的环境状况,不过其在一定程度上取决于空间的邻近性,镇江市由低高集聚变为高高集聚,可能是由于常州市、无锡市等周边城市的知识溢出。此外,临沧市、怀化市、赣州市、黄石市、南昌市呈现低低集聚,随着时间的推移并没有受到太大影响,可能是由于这些地区距离科技创新能力高的城市距离较远,影响较小。
表1-5 2006年、2012年长江经济带科技创新能力局部相关的显著性区域