3.1 海水

3.1 海水

海水的温度、盐度和密度是海洋环境的3个基本组成要素,它们的时空分布和变化较为复杂,但又密切关系到海洋中发生的各种现象,如环流与海冰的形成、海洋声学传播特性、海洋金属结构物的腐蚀等。

3.1.1 海水温度

海水温度是海水的重要物理力学特性之一,直接影响海水的其他物理性能和动力性能,是海水内部分子热运动平均动能的基本反映,也是度量海水热量的重要指标。

海水的温度变化和分布与海洋中热量收支平衡相关联。若热量收入大于支出,则海水温度升高,反之则温度降低。通常将海水的热量收入和支出总和称为海洋热平衡。海水的年平均温度变化很小,平均而言海洋中热量的收支基本平衡。但在一年中的不同时期,热量的收支并不平衡,这种差异决定了海水温度的分布和变化。

从地理位置方面来看,我国海域水温分布规律如下[1]

(1)温度从北向南逐渐增高。

(2)北方海域温度年差(冬夏季之差)比南方海域显著增大。

(3)等温线具有与海岸线平行的趋势。

(4)海流对等温线的分布有较大影响。

从水温竖向分布来看,由海洋表面到海底水温的分布很不均匀,由上到下通常可分为两个区域,即上部温度高且温度梯度较大的暖水区和下部温度低且温度梯度很小的均匀冷水区。暖水区可细分为近海面的上均匀层和其下方的温跃层两部分。在薄薄的上均匀层中,由于太阳和大气的直接影响,海水温度较高,对流旺盛,水温上下一致。温跃层的垂直温度梯度大,且终年保持一致。温跃层将暖水区和下层冷水区隔开,其深度和厚度随纬度不同而变化。

水温的年变化主要与太阳辐射量的年变化有关,此外各海域的海流性质不同、盛行风系的年变化和结冰融冰等因素的变化也影响着表层水温的年变化,造成不同海域水温分布有较大的不同[2]。世界大洋的整体水温平均值为3.8℃,大洋表面温度最高值出现在每天的14:00—15:00,最低值出现在黎明时刻的4:00—5:00。大洋表层水温的变化幅度一般在-2~30℃之间,海洋深处的水温变化在-1~4℃,水温低且较均匀。

我国近海全年以2月的水温最低,8月达到最高。由于我国海域跨越温带、亚热带和热带,海水温度差异很大。渤海和黄海北部在冬季受到寒潮南下作用时会出现冰冻现象,而南海终年气温较高,水温变幅小。渤海表面水温的年平均值为11.6℃;黄海北部为13℃,黄海中部为14.9℃,黄海南部为16.9℃;东海北部为18.9℃,东海中部为21.3℃,东海南部为23.5℃;南海中南部为27.5℃,粤东为25.8℃,粤西为25.7℃。年平均水温自北向南增高,尤其是在冬季,增高变化幅度明显。

受大陆季节性影响,渤海、黄海和东海海域的水温季节性变化大。夏季在太阳强辐射作用下,各海区的表层水温最高,渤海、黄海表层水温可达24~27℃,东海可达26~29℃,南海北部可达27~29℃,南海中部和南部可达29~30℃,且分布均匀,等温线分布稀疏,水平梯度小。冬季陆上气温低于海上气温,沿岸表层水温比外海低,渤海表层水温在-1.5~3.6℃,黄海为0~13℃,东海的西部浙闽沿岸表层为9~12℃,东海东北部为12~19℃,南海南部可达28℃,南海北部一般为18~23℃,珠江口以东至汕头一带为16~18℃,冬季表层水温分布水平梯度大。

我国近海水温的年较差变化各不相同,渤海海域表面水温的年变幅最大,年较差24.6℃,黄海的年较差次之,为19.8℃,东海的年较差为11.7℃,南海的年较差最小,仅为5.6℃。对于浅海和边缘海,由于受到大陆影响,其年变幅比大洋更大,东海的年变幅为14~25℃,黄海为16~25℃,渤海为23~28℃,南海的年变幅一般在10℃以下。

3.1.2 海水盐度

盐度定义为1kg海水中的碳酸盐全部转化成氧化物,溴和碘全部被氯当量置换,有机物全部氧化之后所生成的固体物质(无机盐)的总克数,也即1kg海水中的含盐总量,符号为S‰,单位为g/kg。以上为原始盐度的定义,下面将介绍实用盐度的表达方式。

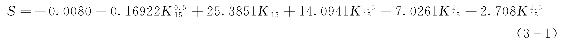
大量海水分析结果表明,尽管海水中溶解盐量的总浓度或大或小,但其主要离子间浓度的比例几乎不随时间和地点而变化,这种规律称为海水组成的恒定性。根据海水组成的恒定性,海水盐度可以通过海水的氯度间接推算。但从1998年开始出现了实用盐度标度,从而使海水盐度的测定不再依赖于对氯度的测定,此时采用高纯度的KCl配置一定浓度的溶液作为实用盐度的参考标准,而标准KCl溶液与盐度35‰的国际标准海水的电导率相同,由海水样品的电导率和标准KCl溶液的电导率之比来计算海水盐度。实用盐度是无量纲参量,原始盐度中的‰将不再使用,例如原始盐度S‰=35‰,实用盐度则表示为S=35。在一个标准大气压与温度15℃时,实用盐度与电导率之比的关系式为[2]

图示

式中 K15——海水样品与标准KCl溶液之间的电导率之比。

在应用时,应注意式(3-1)的适用范围为2≤S≤42。

大洋海水的实用盐度一般约为35,变化范围为34~38,海水盐度的变化比温度小得多。海水盐度的变化主要是由海面蒸发、降水、径流、融冰和结冰等因素造成。总体而言,表层海水的盐度随纬度增加而减小,等盐度线比较平直。

我国渤海实用盐度最低,年平均值为30.0左右,在沿岸海域只有26.0左右,海区东部和渤海海峡略高,平均可达31.0。其分布变化主要取决于黄河、海河等大陆径流与来自外海高盐水的消长关系。夏季由于入海径流量的增大,使得海面盐度降至最低,尤其是河口海区附近的实用盐度可低于24.0。冬季的入海径流量小,等盐度线与海岸线大致平行,渤海中央的实用盐度可达到34.0。

黄海实用盐度的年平均值为30.0~32.0,比渤海高。影响黄海盐度的因素除鸭绿江等河流外,主要受到黄海暖流的影响。夏季在北部沿岸鸭绿江河口海区因受河流影响呈现低盐度特征,其盐度值可低于28.0,其他海区的表层盐度也有所降低;到了冬季则主要受黄海暖流的影响,有一高盐水舌自南向北一直伸入黄海北部,盐度通常大于32.0。

东海的实用盐度比渤海、黄海高,年平均值为33.0左右,影响其分布变化的主要有沿岸长江等径流和外海的高盐水,黑潮流域的实用盐度高达34.0左右。夏季的长江径流量大,其附近海区实用盐度可降低至4.0~10.0,产生极大的水平盐度梯度,长江冲淡水的水平扩散范围广,甚至可能影响到济州岛附近。冬季的长江径流量减小,受长江冲淡水顺岸南下的影响,导致闽浙沿岸实用盐度较低,在30.0左右,而外海暖流流域为高盐区。

南海实用盐度最高,多为33.0~34.0,局部可达到35.0。影响南海盐度分布的因素主要是沿岸水系与外海高盐水的消长变化。近岸海域多受低盐沿岸水控制,存在季节变化,盐度值较低,并在夏季形成较明显的盐度跃层,深水区受外海高盐水的影响,盐度终年较高,分布较均匀。

3.1.3 海水密度

海水的密度指单位体积海水的质量。海水密度是温度、盐度和压力的函数。在一个标准大气压下可由实用盐度S和温度T来计算海水密度ρ。近海海水密度的计算为[2]

图示

式中 ρ——海水密度,kg/m3或g/cm3

T——温度,℃。

由于海洋表层海水密度主要受海洋温度和盐度的分布变化影响,表层海水密度的分布由赤道向两极递增。在垂直方向上,海水的结构总是稳定的,密度随着深度而增加。但在海洋的上层,密度的垂直梯度一般较大,尤其是夏季,与温跃层、盐跃层相对应而出现密度跃层。在跃层以下的冷水区中,密度的垂直梯度减小甚至接近于零。

我国近海河口海区受径流影响,海水盐度变化大,表面密度分布变化主要由盐度决定,其他离河口较远的海区及深水区域则以温度变化为主,密度主要随温度变化。就整体区域性而言,南部海区密度低,北部海区密度高,南海表层密度值最低。随温度及盐度的季节性变化影响,密度在夏季普遍较低,在冬季普遍增高。

近海密度随深度增加而增大,与铅直方向温跃层、盐跃层的季节性变化相对应,密度在铅直方向存在季节性的密度跃层。在秋、冬季由于海面降温增盐增密,上下层发生对流混合,出现垂直均匀层。在春夏季由于海面的增温、降盐、降密等作用,出现稳定的密度层结。