3.3 海流
3.3 海流
近海海流通常分为潮流和非潮流。潮流是海水受天体引潮力作用而产生的海水周期性的水平运动。非潮流又可分为永久性海流和暂时性海流。永久性海流包括大洋环流、地转流等;暂时性海流则是由气象因素变化引起的,如风海流、近岸波浪流、气压梯度流[3]。
3.3.1 海流组成与分类
海流为一矢量,海流的方向是指其流去的方向,以度(°)为单位,正北为零,按照顺时针计量;流速是指单位时间内海水流动的距离,以m/s或kn(节)为单位,其中1kn=1.852km/h。
海水流动有周期性及非周期性之分,取决于形成海流的原因。海流成因中对海洋工程关系密切的主要有3种。第一种是潮汐现象引起的潮流,它是周期性的;第二种是作用于广阔海面上的风力使海面产生漂流,又称风海流;第三种则是由于广阔海面受热或受冷,蒸发或降水不均匀而引起的海水温度、盐度乃至密度的分布不匀而形成的密度流[2]。下面主要介绍与海岸及近海岸工程密切相关的潮流、近岸波浪流、漂流(风生流)等。
潮流与潮汐相对应,存在半日潮流、日潮流、混合潮流。由于海底地形与海岸形状的不同,潮流现象要比潮汐现象更加复杂。涨(落)潮时海水的流动称为涨(落)潮流。潮流不仅流速具有周期性,流向也具有周期性。按照流向来分潮流有两种运动形式,分别为旋转流和往复流。
旋转流一般发生在外海和开阔的海区,是潮流的普遍形式。由于地球的自转和海底摩擦的影响,潮流往往不是单纯地形成往复的流动形式,其流向不断地发生变化,如图3-3(a)所示。往复流常发生在近海岸狭窄的海峡、水道、港湾、河口以及多岛屿的海区。由于地形的限制,致使潮流主要在相反的两个方向变化,进而形成海水的往复流动,如图3-3(b)所示。
图3-3 海流形式[3]
除了按照潮流的方向进行分类外,根据我国《海港水文规范》(JTS 145—2—2013),潮流按其性质可分为规则的半日潮流和不规则的半日潮流,周期为6h12min30s;规则的全日潮流和不规则的全日潮流,其周期为12h25min。定义潮流类型的型数K计算为
式中 WO1——主太阴日分潮流椭圆长半轴长度;
W K1——太阴、太阳赤纬日分潮流椭圆长半轴长度;
W M2——主太阴半日分潮流的椭圆长半轴长度。
潮流类型的判断标准为:当K≤0.5为规则半日潮流;当0.5<K≤2.0为不规则半日潮流;当2.0<K≤4.0为不规则日潮流;当K>4.0为规则日潮流。
由于海底摩擦、渗透及海水涡动等造成能量损耗,使得波浪从深海传播至浅水区域时波浪发生破碎,引起波浪能量的重新分布。波浪作用引起的近岸流系主要由3部分组成,分别为向岸的水体质量输移、平行岸边的沿岸流、流向外海的裂流亦称离岸流。波浪在向岸传播的过程中,根据高阶斯托克斯波浪理论,水质点的动轨迹是不封闭的,在波向上存在净的水体质量输送。离岸流是近岸流系中最显著的部分,是穿过破碎区向外海流流动的一束较强而狭窄的集中于表面的水流,流速通常较大。顺岸流是沿着岸线流动的,速度较小,离岸流依靠顺岸流来维持,两者相互衔接,形成补偿流[7]。
漂流是风和海水表面摩擦作用引起的,其流向受地球自转惯性力的影响,在北半球偏于风向的右方,在南半球偏于风向的左方,海水的摩擦使得表层海水运动的能量逐渐向深层传递。
艾克曼(V.W.Ekman)在20世纪初提出了漂流理论用以研究漂流,该理论的两个假设为:漂流发生在广阔的大洋中,或离岸甚远的大海中;大洋深度是无限的,至少有足够的深度以便使稳定的风向、风力能引起恒定的漂流。漂流理论主要归纳为以下结论:
(1)表层漂流的方向在北半球偏于风向右45°,在南半球则偏于左45°。这种偏转不随风速、流速、纬度的改变而变化。
(2)表层流速与风速的经验关系为
式中 U——风速,m/s;
φ——纬度;
0.0127——风力系数。
在垂直方向上,漂流流速随水深的增加迅速减小。当水深无限时,深度z处的漂流流速V的复数表达式为
式中 D——摩擦深度。
基于式(3-6),在摩擦深度处的流速仅为表面漂流流速的1/23。
水深对潮流的流向也会产生影响,当水深d愈浅,表面流向与风向之间的偏角α值也愈小;当d>D时,α=45°,不再变化。相对水深d/D与偏角α之间的关系如表3-3所示。
表3-3 相对水深与偏角的关系[7]

3.3.2 海流特征值
海流最大可能流速的计算,应尽量根据实测海流利用统计关系求得。在潮流和风海流为主的近岸海区,海流最大可能流速等于潮流最大可能流速与风海流最大可能流速的矢量和。
潮流最大可能流速vmax按照以下方法计算:
(1)在规则半日潮流海区,vmax计算为
式中 WM2、WS2、WK1、WO1、WM4、WMS4——M2分潮、S2分潮、K1分潮,O1分潮、M4分潮和MS4分潮的椭圆长半轴矢量,流速单位为cm/s。
(2)在规则全日潮流海区,vmax计算为
(3)在不规则半日潮流或不规则日潮流海区可选取两者之中较大者。在潮流比较显著的近岸海区,风海流是余流的主要组成部分。在有长期海流连续观测资料的基础上,可用统计方法求得余流特征值。在海流实测资料不足的情况下,如果只有风的观测资料,风海流的量值[7]计算为
式中 vw——风海流的速度,m/s;
θ w——风海流的流向,(°);
U——风速,m/s;
β——海底等深线方向;
k——系数,取0.024≤k≤0.030。
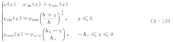
在国际上,通常认为海流由潮流和风生流两者叠加而成。深度z处的海流流速v(z)确定为
式中 z——纵坐标,坐标零点位于静水面处,竖直向上为正;
h——从静水位开始的水深(正数);
h 0——风生流参照水深,挪威船级社DNV标准[8]中取h0=50m,国际电工协会IEC标准[9]中取h0=20m;
v wind0——静水位处的风生流流速;
v tide0——静水位处的潮流流速。
除有实测资料外,结合式(3-9),静水位处的风生流流速vwind0计算为
式中 U0——海平面以上10m处1h平均风速,它存在以下转换关系:1h风速=0.916倍10min风速;
k——取值为0.015~0.03。
在近岸区域由于水深变浅常出现波浪破碎现象,波浪破碎时将产生破波流,在靠近岸边区域水流流向与岸线平行,由于波浪破碎而产生的水流流速vbw计算为[10]
式中 s——海底斜率;
H b——破碎波波高;
g——重力加速度。
3.3.3 我国近海海流
渤海潮流以半日潮为主,流速一般为0.5~1.0m/s;最强的潮流出现于老铁山水道附近,可达1.5~2.0m/s;辽东湾次之,为1.0m/s;莱州湾仅为0.5m/s左右。
黄海的潮流大都为正规半日潮,仅在渤海海峡及烟台近海为不正规全日潮流。流速一般是东部大于西部,朝鲜半岛西岸的一些水道,曾观测到4.8m/s的强流。黄海西部强流区出现在老铁山水道、成山角附近,达1.5m/s左右,吕四、小洋口及斗龙港以南水域,可达2.5m/s以上。
东海潮流在东海的西部大多为正规半日潮流,东部则主要为不正规半日潮流,台湾海峡和对马海峡分别为正规和不正规半日潮流。潮流流速近岸大,远岸小。闽、浙沿岸可达1.5m/s,长江口、杭州湾、舟山群岛附近为中国沿岸潮流最强区,可高达3.0~3.5m/s以上,如岱山海域的龟山水道,潮流速度高达4m/s。九州西岸的某些海峡,水道中的流速也可达3m/s左右。
南海潮流较弱,大部分海域潮流流速不到0.5m/s。北部湾强流区,也不过1m/s左右,琼州海峡潮流最强可达2.5m/s。南海以全日潮流为主,则全日潮流显著大于半日潮流,仅在广东沿岸以不正规半日潮流占优势[5]。