4.6 波浪理论的适用范围
4.6 波浪理论的适用范围
波浪理论是通过某些假设与简化而得到的,由于不同的简化与假设,理论计算结果有别,也各有其适用范围。为确定各种波浪理论的适用范围,不少研究者进行了大量理论分析和实验检测。这些研究大多是针对波面形状、波速、水质点运动速度和加速度、水质点运动轨迹形状、波浪的极限波陡等波浪特性确定的。
在讨论波浪理论中常遇到水深的划分问题,即如何确定浅水、深水的标准。根据国内外相关研究成果,水深通常划分为3个范围,即浅水、过渡水深和深水。通常而言,单独划分水深的范围并无实际意义,应和具体的波浪性状相结合来进行判断。不同水深判定的标准如下:
(1)深水:d/L=0.500 或d/gT2=0.0792。
(2)浅水:d/L=0.04或d/gT2=0.00155。
(3)过渡水深:位于深水和浅水之间的区域。
在深水条件下影响波浪波动性质的主要因素是波陡(H/L),在浅水条件下影响波浪波动性质的主要因素是波陡(H/L)和相对水深(d/L),而在极浅水影响波浪波动性质的因素是相对波高(H/d)。迄今为止尚无一种波浪理论可以普遍地适用任意水深的波况,各种波浪理论只能适用于各自特定的波况条件。挪威船级社DNV—OS—J101标准[10]给出了波浪理论适用的定性描述,线性波仅适用于深水区的小振幅波,斯托克斯波适用于有限振幅的波况,流函数则适用于更广范围下的波浪分析,布辛奈斯克高阶波则适用于浅水波,而椭圆余弦波则适用于极浅水条件下的波浪分析。
在应用波浪理论进行海上测风塔基础结构受力分析之前,需要根据特定的海洋环境条件来确定合适的波浪理论。纵观国际上对波浪理论适用范围的研究成果,Dean(1970)、Le Méhauté(1976)和Komar(1978)等先后对此进行了详细分析,并将试验测量数据与理论计算结果进行了比较[11-12]。
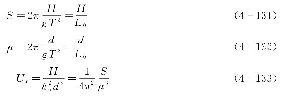
挪威船级社DNV—OS—J101标准中,采用波陡系数(S)、相对水深(μ)和Ursell数(Ur)等3个参量来作为波浪理论选择的标准,这3个系数的定义表达为
式中 H——波高;
T——波浪周期;
L 0——深水波长;
d——水深。
结合上述的3个参量,波浪理论适用的范围如表4-5所示。图4-12为波浪实测试验数据与表4-5这一适用范围规定的验证关系。
表4-5 DNV标准中各波浪理论适用范围

基于Le Méhauté的分析结果,美国《海滨防护手册》中给出了如图4-13所示的波浪理论选择方法。
图4-12 试验结果与波浪理论选择对比
图4-13 不同波浪理论适用范围[13]
图4-13中采用无量纲参量H/gT2和d/gT2分别为纵、横坐标。两条实线为波浪破碎限界,其中深水波的破波限界是(H0/L0)b=(H0/L0)max=0.142[参见式(4-59)],浅水波的破波限界是(H/d)b=(H/d)max=0.78[参见式(4-87)]。图4-13中与纵坐标平行的两条虚线分别是深水波限界d/L=0.5和浅水波限界d/L=0.04,也即本节开始部分的水深类别判定标准。
上述破碎波破波界限未考虑海底坡度的影响。当考虑海底岸坡坡度对波浪破碎的影响效应后,对于无流规则波条件下的波浪破碎指标确定为[14]
式中 L0——深水波长;
H b——破碎波波高;
d b——水深;
i——海底坡度;
A——常数,由破碎波波峰时水面水质点水平速度达到波速的临界值可得A≈0.17。
当海底坡度i不小于1/50并有水流存在时,波浪受流的影响将变形。如果取波浪相对于水流的波周期Tr(Tr≠T,T为绝对波周期),并以Tr计算深水波长,则式(4-134)仍然成立,且A=0.17[15]。
Nelson(1983,1987)指出,当岸坡平缓(i≤0.01)时,破碎指标将下降,其可能的最大值为[16-17]
采用式(4-135)确定的不同海底坡度对应的破碎波波高与水深比如表4-6所示。
表4-6 缓坡上破碎波波高与破碎水深最大比值(理论)

我国JTS 145—2—2013中也规定了海底坡度i<1/140时破碎波波高与破碎水深的最大比值,如表4-7所示。当坡度1/140<i<1/50时,比值Hb/db的最大值可取0.78。
表4-7 缓坡上破碎波波高与破碎水深最大比值(标准)

图4-13中椭圆余弦波与斯托克斯波之间的限界采用Ursell参数L2H/d3=26来划定[注意与式(4-133)中Ursell参数的区别],其右侧为斯托克斯波和小振幅线性波理论的适用范围,左侧是椭圆余弦波和孤立波理论的适用范围。
Ursell参数分割的右侧区域可近似地再划分成若干区:第Ⅰ区为线性波,其限界为H0/L0≈0.00625(H/gT2≈0.001);第Ⅱ区至第Ⅳ区为斯托克斯2阶至斯托克斯4阶波,其中第Ⅱ区与第Ⅲ区的界限为H0/L0≈0.0503(H/gT2≈0.0086);第Ⅲ区与第Ⅳ区的界限为H0/L0≈0.107(H/gT2≈0.0196)。
Ursell参数分割的左侧区域中,椭圆余弦波与孤立波限界为d/L=0.04或d/gT2=0.00155,该界限右侧是椭圆余弦波理论适用范围,左侧为孤立波理论的适用范围[18]。
上面给出了各波浪理论或方法的适用范围,鉴于流函数这一数值分析方法的广泛适用性,包括挪威船级社DNV规范、德国劳氏船级社GL标准[19]和美国石油协会的API标准[20]均给出了流函数分析中函数阶数的选择和适用范围,如图4-14所示。
由图4-14可见,对于斯托克斯波和线性波的适用范围中,采用3阶流函数均能满足分析精度的要求,当位于斯托克斯波和线性波适用范围的左侧(波高更高或水深更浅)时,应加大流函数计算的阶数,通常采用阶数N=11可满足大部分情况下的波浪分析要求。对于极浅水的情况下应采用更高阶的流函数来进行计算分析。
图4-14 流函数方法中阶数N的选择与适用范围