4.3 椭圆余弦波(Cnoidal波)
4.3 椭圆余弦波(Cnoidal波)
当波浪由深水区传至浅水区(0.05<d/L≤0.1)后,海底边界的摩擦阻力影响迅速增加,波高和波形将不断变化,波面在波峰附近变得很陡,而两波峰之间却相隔一段很长但又较平坦的水面,如图4-7所示。两波峰处的水质点运动特性与波动H/L的关系减弱,而与相对波高H/d的关系增强,即H/L和H/d都成为决定波动性质的主要因素。在这种浅水情况下,即使取很高的阶数,采用斯托克斯波理论仍不能达到所要求的精度。此时采用能反映H/L和H/d主要影响因素的椭圆余弦波理论来描述波浪运动,可以取得较为满意的结果。[1]
图4-7 椭圆余弦波波剖面、坐标系和相关变量
所谓椭圆余弦波是指水深较浅条件下的有限振幅、长周期波。它之所以称为椭圆余弦波,是由于波面高度η是用雅克比(Jacobian)椭圆余弦函数cn()来表示。鉴于该理论求解的推导过程极为繁琐,本着工程应用的目的,在此直接给出该理论对应的主要计算结果。
4.3.1 积分模数
椭圆余弦波计算时最基本的变量为模数k。为了求解模数,首先应建立波浪要素(波长L、波高H、周期T)、水深d与椭圆积分模数k之间的关系。
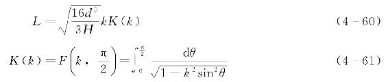
波长L与模数k之间的关系为
式中 K(k)——第一类完全椭圆积分;
k——椭圆积分的模数,

。
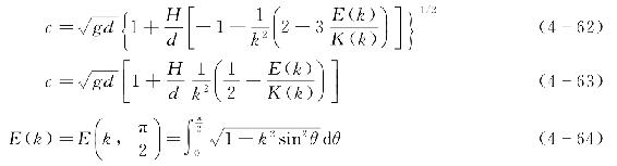
波浪的波速c与模数k的关系有两种形式,即
式中 E(k)——第二类完全椭圆积分。
根据波浪波速c、波长L和周期T的关系,即c=L/T,结合式(4-60)和式(4-62)或结合式(4-60)与式(4-63)可求得模数k,进而由式(4-60)求得波长。
4.3.2 特征参量的求解
在得到积分模数k和波长L变量后,可以依次求得椭圆余弦波对应的波浪诸特征参量,包括波面高度、速度与加速度等。
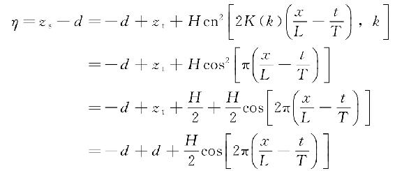
波峰距离海底的距离zc为
波峰与波谷距离相差一个波高H,则由上式可知,波谷距离海底的距离zt为
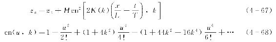
海底以上的波面高度zs与波谷至海底距离zt的关系为
式中 cn(u,k)——雅克比椭圆余弦函数。
将式(4-66)代入式(4-67)后,得到任一相位x和时刻t下海底以上的波面高度zs为
静水面以上的波面高度η为
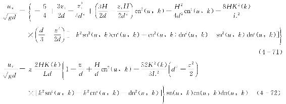
波动场内任意点(x,z)处水质点的水平向与竖向速度ux、uz分别为
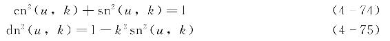
式(4-71)、式(4-72)中,函数sn(u,k)为雅克比椭圆正弦函数,cn(u,k)为雅克比椭圆余弦函数,dn(u,k)为雅克比椭圆德尔塔(Delta)函数,3个函数的自变量u为
雅克比椭圆正弦函数、余弦函数和德尔塔函数存在关系式为
根据式(4-68)可求得雅克比椭圆余弦函数值,结合式(4-74)和式(4-75)可以求得对应的椭圆正弦函数和椭圆德尔塔函数值。
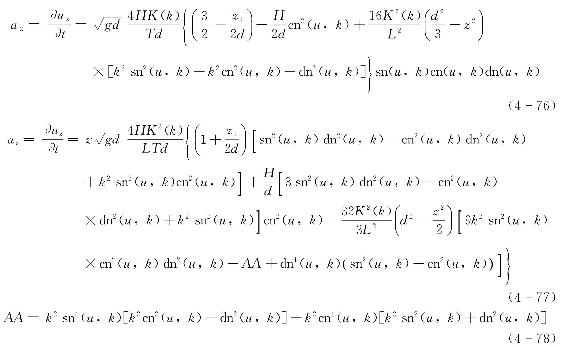
波动场内任意点(x,z)处水质点的水平向与竖向加速度ax、az分别为
式(4-78)表示的变量AA为式(4-77)所包含的中间变量。
4.3.3 极限情形
对于椭圆余弦波,当模数取极值
k=0时,根据式(4-61)和式(4-64)可得,

。将
k=0代入式(4-68)后得到,cn(
u,0)=cos(
u),此时椭圆函数变成了三角函数。结合上述关系代入式(4-67)和式(4-70)后得到
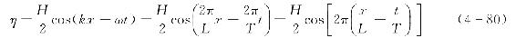
线性波的波面高度计算式,即式(4-21)可表达为
式(4-79)与式(4-80)相同。由此可见,线性波就是椭圆余弦波当模数k=0时的一种特殊情况。
同样可以证明孤立波就是椭圆余弦波当模数k=1时的另一种特殊情形。