运动的基本形式122

运动的基本形式 122

运动,就它被理解为物质的存在方式、物质的固有属性这一最一般的意义来说,涵盖宇宙中发生的一切变化和过程,从单纯的位置变动直到思维。研究运动的本性,当然不得不从这种运动的最低级的、最简单的形式开始,先学会理解这样的形式,然后才能在说明更高级的和复杂的形式方面有所建树。所以我们看到:在自然科学的历史发展中,最先产生的是关于简单的位置变动的理论,即天体和地上物体的力学,随后是关于分子运动的理论,即物理学,紧接着、几乎同时而且在有些方面还先于物理学而产生的,是关于原子运动的科学,即化学。只有在这些关于支配着非生物界的运动形式的不同知识部门达到高度的发展以后,才能成功地阐明各种显示生命过程的运动进程。对这些运动进程的阐明,是随着力学、物理学和化学的进步而取得相应的进步的。因此,当力学早已对动物躯体中通过肌肉收缩而引起运动的骨骼的杠杆作用能够用那些对非生物界也有效的规律作出充分说明的时候,对其他生命现象的物理化学的论证几乎还处于发展的最初阶段。所以,当我们在这里研究运动的本性时,我们不得不把有机体的运动形式撇在一边。我们不得不局限于——按照科学的现状——非生物界的运动形式。

一切运动都和某种位置变动相联系,不论这是天体的、地上物体的、分子的、原子的或以太33粒子的位置变动。运动形式越高级,这种位置变动就越微小。位置变动决不能把有关的运动的本性包括无遗,但是也不能和运动分开。所以必须首先研究位置变动。

我们所接触到的整个自然界构成一个体系,即各种物体相联系的总体,而我们在这里所理解的物体,是指所有的物质存在,从星球到原子,甚至直到以太粒子,如果我们承认以太粒子存在的话。这些物体处于某种联系之中,这就包含了这样的意思:它们是相互作用着的,而它们的相互作用就是运动。由此可见,没有运动,物质是不可想象的。再则,既然我们面前的物质是某种既有的东西,是某种既不能创造也不能消灭的东西,那么由此得出的结论就是:运动也是既不能创造也不能消灭的。只要认识到宇宙是一个体系,是各种物体相联系的总体,就不能不得出这个结论。早在这种认识在自然科学中发挥实际作用以前很久,哲学就已经有了这种认识,所以不难说明,为什么哲学比自然科学整整早200年就得出了运动既不能创造也不能消灭的结论。甚至哲学作出这个结论时所采取的形式,也比今天的自然科学的表述要高明。笛卡儿关于宇宙中现存的运动量永远一样的原理只是在形式上有缺点,即用一种有限的表达方式来表示一种无限大。与此相对应,在自然科学中这同一个定律现在有两种表达方式,一种是亥姆霍兹的力的守恒定律,另一种是更新的更确切的能量守恒定律。我们以后可以看到,这两种表达法中的每一种所表示的正好是另一种的对立面,而且它们当中的每一种都只表达了关系的一个方面。[3]

如果两个物体相互作用,致使其中的一个或两个发生位置变动,那么这种位置变动就只能是互相接近或互相分离。这两个物体不互相吸引,就互相排斥。或者如力学上所说的,在这两个物体之间起作用的力是有心力,即沿着它们的中心点所联结起来的直线的方向起作用的力。不管许多运动看起来多么复杂,上述情形都在宇宙中发生着,不断地和绝无例外地发生着,这在我们今天看来已经是不言自明的了。如果设想两个相互作用的物体在相互作用时不受第三个物体的任何妨碍或影响,而这种作用不是沿着最短的和最直接的路线发生,即沿着联结两个物体的中心点的直线发生,那么这在我们看来是很荒谬的。[4]大家知道,亥姆霍兹(《论力的守恒》1847年柏林版第1节和第2节)用数学方法也证明了:有心作用和运动量123的不变性是互为条件的,如果设想存在着不同于有心作用的作用,那就会导致运动可以创造或消灭的结论。所以一切运动的基本形式都是接近和分离,收缩和膨胀——一句话,是吸引排斥这一古老的两极对立。

应当明确指出:吸引和排斥在这里不是被看做所谓“”,而是被看做运动的简单形式。康德早就把物质看做吸引和排斥的统一。[5]至于“力”究竟是怎么一回事,我们到时候将会看到。

一切运动都在于吸引和排斥的相互作用。然而运动只有在每一个吸引被另一处的相应的排斥所抵偿时,才有可能发生。否则一方会逐渐胜过另一方,运动最后就会停止。所以,宇宙中的一切吸引和一切排斥,一定是互相平衡的。于是,运动既不能消灭也不能创造的定律,就采取这样的表达方式:宇宙中的每一个吸引运动,都必定由一个相等的排斥运动来补充,反过来也是这样;或者如古代哲学早在自然科学中提出力的守恒定律或能量守恒定律以前所说的,宇宙中一切吸引的总和等于一切排斥的总和。

但是,这里似乎还留下了一切运动总有一天会停止的两种可能性:这或者是由于排斥和吸引有一天在事实上终于互相抵消,或者是由于全部排斥最终占据物质的一个部分,而全部吸引则占据另一个部分。从辩证法的观点看来,这两种可能性从一开始就不可能存在。辩证法根据我们直到目前为止的自然经验的结果,已经证明了:所有的两极对立,都以对立的两极的相互作用为条件;这两极的分离和对立,只存在于它们的相互依存和联结之中,反过来说,它们的联结,只存在于它们的分离之中,它们的相互依存,只存在于它们的对立之中;这样,就不可能存在排斥和吸引最终抵消的问题,也不可能存在一种运动形式最终分配在物质的这一半上,而另一种运动形式最终分配在另一半上的问题,这就是说,既不存在两极互相渗透[6]的问题,也不存在两极绝对分离的问题。在第一种场合下,这就好比硬要使一条磁石的北极和南极互相抵消,在第二种场合下,就好比把一条磁石从中间切断,硬要使一段只有北极而没有南极,使另一段只有南极而没有北极。不过,虽然从两极对立的辩证性质中已经可以推断这样的假设是不能容许的,可是由于在自然科学家中形而上学的思维方式占支配地位,至少第二种假设在物理学的理论中仍起着一定的作用。这一点以后在适当的地方还要谈到。

运动在吸引和排斥的相互作用中是怎样表现出来的呢?这最好是就运动本身的各单个形式来研究。这样最终就会得出结论。

我们不妨看一看一颗行星环绕其中心天体所作的运动。普通的天文学教科书追随牛顿把椭圆形的行星轨道解释为两种力,即中心天体的吸引和使行星沿着垂直于这种吸引的路线运动的切线力共同作用的结果。所以,除向心的运动形式外,普通的天文学教科书还假设了与中心点的联线相垂直的另一个运动方向或所谓“力”。因此,它和前面所说的基本定律是矛盾的,依据这个定律,我们的宇宙中的一切运动,只能沿着相互作用的物体的中心点的方向发生,或者如人们所说的,只能由有心作用力所引起。正因为如此,普通的天文学教科书就把下面这样一种运动因素纳入理论之中,这种运动因素,如我们也已经看到的,必然要导致运动可以创造也可以消灭的结论,因而也就必然要以造物主的存在为前提。这样一来,就需要把这一神秘的切线力归结为某种向心的运动形式,而完成这个工作的,是康德和拉普拉斯的天体演化学。大家知道,按照这种看法,整个太阳系是由某种旋转着的极稀薄的气体逐渐收缩而产生的,旋转运动在这个气团的赤道线上显然最为强烈,并且使个别的气环从这个气团上分离出去,然后这些气环就收缩成行星、小行星等等,并按照原来的旋转方向围绕着中心天体旋转。这一旋转本身,通常是用气体的单个质点的自身运动来说明。这种运动朝极不相同的方向发生,但是最后总有某一多余部分朝一定的方向运动下去,这就引起旋转,这种旋转必然随着气团的进一步收缩而不断地加强。但是,关于旋转的起源,不管提出什么样的假说,都是排除了切线力,使之化为向心运动的某种特殊的现象形式。如果行星运动的一个要素,即直接向心的要素,表现为重力,即行星和中心天体之间的吸引,那么,另一个要素,即切线要素,则表现为气团各个质点原有排斥的残余,即以衍生的或改变了的形式出现的残余。于是,一个太阳系的生存过程就表现为吸引和排斥的相互作用,在这个过程中,排斥以热的形式放射到宇宙空间中去,因而在太阳系中,排斥就逐渐消失,而这样一来,吸引就越来越占优势。

一目了然:在这里被理解为排斥的运动形式,和现代物理学所说的“能”是同一个东西。由于太阳系的收缩和由此而来的构成现在的太阳系的各个天体的分离,太阳系便失去了“能”,而这一损失,按照亥姆霍兹的著名计算现在已经达到太阳系中原来以排斥的形式出现的全部运动量的图示

我们还可以再来看一看地球上的某个物体。这个物体是靠重力和地球联结在一起的,正像地球是靠重力和太阳联结起来一样,但是这个物体和地球不同,不能作自由的行星般的运动。它只有靠外来的推动才能运动起来,而且推动一旦终止,它的运动很快也就停止,这或者仅仅是重力的作用所致,或者是重力和该物体赖以运动的介质的阻抗的共同作用所致。这一阻抗归根到底也是重力的一种作用,没有重力,地球表面上就不会有任何具有阻抗的介质,不会有大气了。所以在地球表面上的纯粹的机械运动中,我们所碰到的是重力即吸引占有决定性优势的情形,因而在这里运动的产生显示出两个阶段:首先是抵抗重力的作用,然后是让重力起作用,一句话,就是先使物体上升,然后再使之下降。

这样一来,我们又有了以吸引为一方和以按相反方向发生的运动形式即排斥的运动形式为另一方的相互作用。但是,在地球上的纯粹力学(这种力学所研究的,是处于既定的、对它来说是不变的聚集状态和凝聚状态之中的物体)的范围内,这种排斥的运动形式在自然界中是不发生的。无论是岩石从山顶上崩落下来,还是水之所以能够下泻,形成这类现象的物理条件和化学条件都是这种力学范围以外的事情。所以在地球上的纯粹力学中,排斥运动或提升运动只能由人工造成,即由人力、畜力、水力、蒸汽力等等造成。这种情形,这种用人工办法克服天然的吸引的必要性,使力学家们产生了一种看法,认为吸引、重力,或者如他们所说的重力的力,是自然界中最重要的运动形式,甚至是基本的运动形式。

例如,如果提升一个重物然后让它直接或间接下落而把运动传导给其他物体,那么按照通常的力学观点,传导这个运动的不是重物的提升,而是重力的力。例如,亥姆霍兹就让

“我们最熟悉的和最简单的力,即重力,作为推动力而起作用……例如在一座靠重锤推动的挂钟里。这个重锤……如果不使钟的全部机械运转起来,便不能顺应重力的牵引”。而它如果不自行下落,便不能使钟的机械运转起来,而且这种下落最终一直要持续到联结它的链条完全松直为止。“到那时,钟就停了,重锤的推动能力暂时用尽了。重锤的重力既没有失去,也没有减少,它依旧被地球在同一程度上吸引着,可是这个重力引起运动的能力已经丧失了……但是我们可以用手臂的力量把钟再上好,重锤就又升上去。这样一来,重锤又获得了它原先的推动能力,又能使钟走起来。”(亥姆霍兹《通俗科学讲演集》第2册第144页)[7]

因此,按照亥姆霍兹的说法,使钟走起来的,不是运动的主动的传导,不是重锤的提升,而是重锤的被动的重力,虽然这个重力本身只是由于被提升才脱离被动状态,而在联结重锤的链条松直以后又回到被动状态。所以,照我们刚才见到的新观点看来,能仅仅是排斥的另一种说法,而照亥姆霍兹的旧观点看来,力则是排斥的对立面即吸引的另一种说法。我们暂且确认这一点。

这样,当地球上的力学的过程终结的时候,当重物先被提升然后又下降到同一高度的时候,构成这个过程的运动将怎样呢?在纯粹力学看来,它是消失了。但是,我们现在知道,它决没有消灭。它有一小部分转化为空气的声波振动,而绝大部分则转化为热。这些热一部分传导给具有阻抗的大气,一部分传导给落体本身,最后一部分传导给落体所碰到的地面。钟的重锤,也以摩擦热的形式,把自身的运动逐渐传导给钟表机械的各个齿轮。可是转化为热,即转化为排斥的一种形式的东西,并不是人们通常所说的落体运动,就是说,并不是吸引。相反,如亥姆霍兹正确地指出的,吸引,重力,现在仍然和先前一样,确切地说,甚至变得更大了。倒不如说,通过下降而在力学上被消灭的,并且以热的形式重新出现的,恰好是借提升而传导给被提升物的排斥。物体的排斥变成了分子的排斥。

如我们已经说过的,热是排斥的一种形式。它使固体的分子发生振动,从而减弱各个分子间的联系,直到最后开始向液态过渡;在液态下,如果继续加热,热便又会增强分子的运动,直到达到这样的程度:分子完全脱离物体,并以一定的速度一个一个地自由运动起来,而这个速度对每一个分子来说取决于它的化学构造。如果再继续加热,热就使这个速度更加增大,从而使分子越来越互相排斥。

但是,热是所谓“能”的一种形式;后者在这里再次证明与排斥是同一的。

在静电和磁的现象中,我们有吸引和排斥的两极之分。关于这两种运动形式的作用方式,无论提出什么样的假说,面对事实没有一个人会怀疑:只要吸引和排斥是由静电或磁所引起,而且能够毫无阻碍地展开,它们就会完全互相抵偿。这事实上已经是从两极划分的本性中必然得出的结论。各自的作用不能完全互相抵偿的两极,决不是极,而且到现在为止在自然界中也没有见过这样的极。流电现象我们在这里暂时撇开不谈,因为这方面的过程决定于化学过程,因而比较复杂。所以我们最好来研究化学的运动过程本身。

当两份重的氢和15.96份重的氧化合成水蒸气的时候,从这个过程中散发出68.924热量单位的热量。反过来,如果要把17.96份重的水蒸气分解为两份重的氢和15.96份重的氧,那么这只有在下列条件下才有可能实现:要有等于68.924热量单位的运动量传导给水蒸气,不管这是以热本身的形式还是以电运动的形式发生的。一切其他的化学过程也是一样。在大多数场合下,化合时放出运动,分解时必须导入运动。在这里,排斥通常也是过程的主动方面,即被赋予更多的运动或要求导入运动的方面,吸引则是过程的被动方面,即造成运动过剩并放出运动的方面。因此,现代的理论也宣称:总的说来,元素化合时释放能量,化合物分解时束缚能量。所以“能”在这里又是表示排斥的。亥姆霍兹又说:

“这个力〈化学亲和力〉,我们可以想象为吸引力……碳原子和氧原子间的这种吸引力所做的功,同地球以重力的形式对一个被提升的重物所做的功是一样的……当碳原子和氧原子互相冲撞而化合成碳酸气的时候,新形成的碳酸气粒子一定是处在极猛烈的分子运动中,即处在热运动中……当碳酸气后来向四周放出自身的热的时候,碳酸气中的碳和氧仍然丝毫没有减少,而两者的亲和力也和以前一样强。但是这个亲和力现在只表现在这一点上:它把碳原子和氧原子牢固地联结在一起,不让它们分开。”(上引书,第169[—170]页)

同上面刚刚说过的完全一样,亥姆霍兹坚持认为,在化学中和在力学中一样,力只存在于吸引之中,因而它是和其他物理学家称做“能”并与排斥完全等同的东西正好相反的东西。

因此,我们现在不再只有吸引和排斥这两种简单的基本形式,而有一大串从属形式,那种在吸引和排斥的对立中展开和收缩的包罗万象的运动的过程,就是在这些从属形式中进行的。但是,把这形形色色的现象形式归纳到运动这一总的名称之下,这决不仅仅是我们的理解。相反,这些形式本身通过实际过程就证明它们是同一运动的不同形式,因为在某些情况下它们会互相转化。物体的机械运动可转化为热,转化为电,转化为磁;热和电可以转化为化学分解;化学化合反过来又可以产生热和电,而以电为中介又产生磁;最后,热和电又可以产生物体的机械运动。而且这种转化是这样进行的:一种形式的一定运动量,总是有另一形式的精确规定的一定运动量与之相适应,而且,用来量度这个运动量的量度单位,不管是从哪一种运动形式中借用来的都无所谓,就是说,不管是用来量度物体的运动,量度热,量度所谓的电动力,还是量度化学过程中转化的运动,都是无所谓的。

在这里,我们是立足在“能量守恒”理论的基础上,这个理论是尤·罗·迈尔在1842年创立的[8],并且从那时以来国际上对它的研究已获得了十分辉煌的成就。现在,我们应当研究一下这个理论目前所使用的基本概念。这就是关于“力”或“能”以及关于“功”的概念。

我们在前面已经看到,根据较新的、现在几乎已经被公认的观点,“能”被理解为排斥,可是亥姆霍兹却主要是用“力”这个词来表示吸引。人们会以为这是一种无关紧要的形式上的差别,因为在宇宙中吸引和排斥是互相补偿的,因此把这个关系中的哪一方当做正或当做负,似乎都无所谓,这就好像正的横坐标是从某一直线上的某一点向右边算起或向左边算起都是无所谓的一样。但是事情绝对不是这样的。

目前我们在这里考察的并不是宇宙,而是地球上发生的一些现象,这些现象被地球在太阳系中和太阳系在宇宙中的十分确定的位置所制约。我们的太阳系每一瞬间都向宇宙空间放出极大量的运动,而且是具有十分确定的质的运动,即太阳热,亦即排斥。而我们的地球本身只是由于有太阳热才有生气,而且它本身在把这种太阳热的一部分转化为其他运动形式以后,最终也把所获得的太阳热放射到宇宙空间中去。因此,在太阳系中,特别是在地球上,吸引已经大大地胜过了排斥。如果没有太阳放射到我们这里的排斥运动,地球上的一切运动都一定会停止。倘若太阳明天就冷却,那么在其他条件不变的情况下,地球上的吸引还会和现在一样。100千克重的石头,只要还在原来的地方,就和原先一样还是重100千克。可是运动,无论是物体的还是分子和原子的运动,都会进入我们所想象的绝对静止状态。所以很清楚,对于在今天的地球上所发生的过程来说,是把吸引还是把排斥看做运动的主动的方面,即看做“力”还是看做“能”,这决不是无关紧要的。相反,在今天的地球上,吸引由于明显地胜过排斥而变成完全被动的了;一切主动的运动都应归功于由太阳供给的排斥。因此,最新的学派——虽然它对运动关系的本性还不清楚——把“能”理解为排斥,这从事物本身来看,以及从地球上的过程来看,甚至从整个太阳系来看,都是完全正确的。

“能”这个词确实没有把整个运动关系准确地表达出来,因为它只包括这种关系的一个方面,即作用,而没有包括反作用。它还会造成这样一种假象:“能”是物质以外的某种东西,是植入物质中的某种东西。但是和“力”这个词比起来,无论如何还是宁可选择“能”这个词。(https://www.daowen.com)

力的观念,如各方面所承认的(从黑格尔起直到亥姆霍兹止),是从人的机体在其周围环境中的活动借用来的。我们说肌肉力、双臂上举力、腿的弹跳力、肠胃的消化力、神经的感觉力、腺的分泌力等等。换句话说,为了不必对我们机体的某种机能所引起某种变化的真实原因作出说明,我们就塞进某种虚构的原因,某种和这个变化相当的所谓力。然后我们又把这种偷懒的办法搬用于外在世界,这样,有多少种不同的现象,便虚构出多少种力。

自然科学(天体的和地球上的力学或许是例外)还在黑格尔的时代已经处于这种质朴的发展阶段,而黑格尔已经完全正当地抨击当时流行的把什么都命名为力的手法(引证一段话)125。他在另一个地方也指出:

“说磁石有灵魂〈如泰勒斯所说的〉,比说它有吸引力更好些;力是一种属性,它可以和物质分离开来,可以认为是一个宾词;而灵魂则是磁石的这种运动,同物质的本性是一回事。”(《哲学史》第1卷第208页)[9]

现在我们已经不像当初那样轻易地谈论各种力了。且听听亥姆霍兹的说法:

“当我们完全认识某一自然规律的时候,我们也一定会要求它毫无例外地起作用……这样,规律在我们面前就表现为一种客观的力量,因此,我们把它叫做。例如,我们把光的折射定律客观化,把它看做透明实体的一种折射力;把化学亲和性定律客观化,把它看做各种不同物质间的亲和力。我们同样地说金属的电接触力,说附着力、毛细作用力等等。这些名称把一些规律客观化了,这些规律起初只涵盖了一小批条件还相当复杂的自然过程……力只是作用的客观化了的规律……我们所引进的力的抽象概念,只补充了这样一层意思:我们没有任意编造这个规律,它是现象的无法违抗的规律。这样,我们旨在把握自然现象即发现其规律的要求,就采取了另外的表述形式,这就是:我们应当去探究构成现象的原因的。”(上引书,第190页。1869年在因斯布鲁克的报告

首先,把关于纯主观的概念,塞到一个已认定为不以我们的主观为转移的、从而是完全客观的自然规律中去,这无论如何是一种奇特的“客观化”方法。干这种事情的充其量只是一个墨守成规的老年黑格尔派,而不应当是亥姆霍兹这样的新康德主义者。当我们把某种力硬塞进已经确定的规律中去的时候,我们既没有给这个规律,也没有给它的客观性或它的作用的客观性添加哪怕一点点新的客观性;所添加的只是我们的主观的论断:这个规律靠着某种暂时还完全未被认识的力而起作用。但是,当亥姆霍兹给我们举出光的折射、化学亲和性、接触电、附着、毛细现象这些例子,并把支配这些现象的规律提高到这个“客观的”显贵等级上去的时候,这种在规律中塞进某种力的做法的隐秘含义立刻就显露出来了。

“这些名称把一些规律客观化了,这些规律起初只涵盖了一小批条件还相当复杂的自然过程。”

正是在这里,“客观化”(实际上是主观化)有了某种意义:并不是因为我们完全认识了规律,而恰好是因为我们认识它,因为我们还不清楚这些现象的“相当复杂的条件”,所以我们在这里有时把“力”这个词当做避难所。可见,我们由此不是表明我们对规律的本性及其作用方式具备科学知识,而是表明我们缺少这方面的科学知识。从这种意义上说,“力”这个词作为尚未探明的因果关系的略语,作为语言上的权宜之计,日常还是可以使用的。但是超过了这一点,那就糟了。如果亥姆霍兹有权利用所谓光的折射力、电接触力等等来解释物理现象,那么中世纪的经院哲学家就同样有权利用热力和冷力来解释温度的变化,从而就用不着对热这个现象作任何进一步的研究了。

即使从这个意义上来说,“力”这个词也是不确切的,因为它对一切事物都作了片面的表述。一切自然过程都有两个方面,它们建立在至少两个发生作用的部分的关系上,建立在作用和反作用上。可是,由于力的观念来源于人的机体对外界的作用,再者也来源于地球上的力学,所以它包含的意思是:只有一个部分是主动的、发生作用的,而另一部分是被动的、接受作用的;这样一来,就把两性的差异推广到无生命的存在物上去,而对此直到现在却不能作出证明。力作用于另一部分所产生的反作用,最多只表现为一种被动的反作用,表现为一种阻抗。这种看问题的方法甚至在纯粹力学以外的许多领域里也是行得通的,因为在这些领域里涉及的只是运动的简单的转移及其量的计算。但是在比较复杂的物理过程中这就不够了,亥姆霍兹自己的例子就证明了这一点。光的折射力在光本身中和在透明物体中一样多。在附着和毛细现象中,“力”在固体表面上和在液体中肯定一样多。关于接触电,有一点无论如何是没有问题的,即在这里有两块金属各自起着作用;而“化学亲和力”如果存在于什么地方的话,那无论如何是存在于起着化合作用的两个部分中。但是,由两个分开的力所构成的一种力,一种不引起反作用、却在自身中包含和承载着这种反作用的作用,决不是地球上的力学所说的力,而这门科学正是让我们真正明白力的含义的唯一科学。要知道,地球上的力学的基本条件,首先是不去研究碰撞的原因,即每一种情况下的力的本性,其次是关于力的片面性的观点,它认为同这个力相对抗的是一种在任何地方都总是和自身相等的重力,这也就是说,同地球上的任何物体降落的距离比起来,地球半径都被认为等于无限大。

我们现在进一步看看亥姆霍兹怎样把他的“力”“客观化”,使之成为自然规律。

在1854年的一篇讲演(上引书,第119页)中,他研究了构成我们的太阳系的星云球体最初所包含的“做功的力的蕴藏”。

“事实上,它不过是以它的各个部分彼此间的万有引力的形式获得这方面的一套极为巨大的妆奁。”

这是无可怀疑的,但是,同样无可怀疑的是,这一整套由重力或引力构成的妆奁依然完好无损地保存在现在的太阳系中,也许要除去一个微不足道的量,这个量是同可能一去不复返地抛到宇宙空间中去的物质一道丧失的。接着说:

“各种化学力必定也是既有的,已准备好起作用的;但是,各种物质只有发生最紧密的接触,这些力才能起作用,所以在它们开始起作用以前,一定要发生凝缩现象。”[第120页]

如果我们像亥姆霍兹在前面所说的那样,把这些化学力看做亲和力,即看做吸引,那我们在这里也不得不说,这些化学吸引力的总和依然丝毫未减地继续存在于太阳系中。

但是在同一页上,亥姆霍兹还叙述了他的计算的结果:

在太阳系中“最初的机械力现在大约只有图示还原样存在着”。

这怎么能和上面所说的相一致呢?引力,无论是万有引力或是化学吸引力,都依然完好地存在于太阳系中。亥姆霍兹并没有指出力的某个其他的确实来源。当然,按照亥姆霍兹的说法,这些力已经做了巨大的功。但是这些力并没有因此而增加或减少。太阳系中的每一个分子乃至整个太阳系本身的状况,都和前面的例子中的钟锤的情形相同。“重锤的重量既没有失去,也没有减少。”一切化学元素的状况都和前面说过的碳和氧的情形一样:每种元素既有的总量依然原样保存着,而“全部亲和力也和以前一样强”。那么我们失去了什么呢?是什么样的“力”做了据他计算相当于太阳系现在能做的功的453倍的巨大的功呢?到目前为止,亥姆霍兹没有给我们提供任何答案。不过他进一步又说:

“我们不知道,[原始星云球体中]是否另外还有以热的形态存在的力的蕴藏。”[第120页]

但是,请让我说几句。热是一种排斥的“力”,因而是逆着重力和化学吸引的方向起作用的,假设重力和化学吸引为正,它就是负。因此,既然亥姆霍兹以万有吸引和化学吸引来构成他的力的原始蕴藏,那就不应当把此外还存在着的热的蕴藏算到这个力的蕴藏中去,而应当从中减掉。否则情况应当是这样:当太阳热正好逆着地球的引力把水变成水蒸气并使水蒸气上升的时候,太阳热必定增强地球的引力;或者用来输送水蒸气的发烫的铁管所具有的热必定增强氧和氢的化学吸引。可是它实际上恰恰会使这种吸引不起作用。所以,当亥姆霍兹设想一定量的排斥运动可以以热的形式加到吸引形式的运动上去,并增加后者的总量时,他犯了一个明显的计算错误。

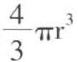
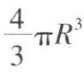
或者,我们可以以另外的形式来说明这同一个问题:假设星云球体半径为r,因而体积为图示,其温度为t。再假设另一质量相同的星云球体在较高的温度T之下有较大的半径R和体积图示。显然,在第二个星云球体中,只有当它的半径从R缩小到r,即把相当于温度差Tt的热放射到宇宙空间中去的时候,吸引,无论是力学的吸引或是物理的和化学的吸引,才能和第一个星云球体中的吸引以同样的强度发生作用。所以较热的星云球体比较冷的星云球体要凝缩得晚一些,因而从亥姆霍兹的观点看来,热作为凝缩的障碍,就不是“力的蕴藏”的正量,而是负量。

这所有的“力的蕴藏”,不管是可能存在的,还是可能加以证实的,我们都冠以同样的符号,使它们可以相加。因为我们暂时还不能使热转换,不能用等量的吸引来代替热的排斥,所以我们不得不在两种吸引的形式下来实现这种转换。于是我们就干脆用气团自身独立化的那一时刻存在于其中的排斥运动或所谓的能的总和,来代替万有引力,代替化学亲和力,代替那些一开始可能就在这些力之外存在着的热。这样,亥姆霍兹的下述计算就理顺了,在这里他要计算的是

“由于太阳系各天体从弥漫的星云物质发生假设的最初的凝缩而必定出现的变热现象”[第134页]。

他就这样把全部“力的蕴藏”都归结为热,归结为排斥,从而就可以把想象的“热这样一种力的蕴藏”加到“力的蕴藏”上去。于是他的计算表明:最初存在于气团中的全部能量(即排斥)的图示,已经以热的形态放射到宇宙空间中去,或者确切地说,现在的太阳系中的一切吸引的总和,与太阳系中还存在着的一切排斥的总和之比,是454∶1。但是这样一来,这些计算就和拿这些计算来作例证的讲演的本文发生矛盾了。

关于力的观念甚至在亥姆霍兹这样的物理学家那里都引起了这样的概念混乱,这就最好不过地证明,它在计算力学范围以外的任何研究部门中,在科学上都是不适用的。在力学中,运动的原因被当做已知的,人们关心的不是运动的起源,而只是运动的作用。因此,如果有人把某种运动的原因称做某种力,这丝毫无损于力学本身;但是人们习惯于把这个名称也搬到物理学、化学和生物学中去,这样一来混乱就不可避免了。这一点我们已经看到而且还会常常看到。

关于功的概念,我们在下一章中再谈。

(应当阐明功这种运动的传递及其形式的概括。)