水环境容量计算方法

二、水环境容量计算方法

水环境容量是指在给定水域和水文、水力等条件,给定排污口位置,满足水环境保护目标情况下而允许排放的某种水污染物总量,或者是基于某种水质标准限值所能承载的污染物最大排放量。根据上述定义,求解给定水域的水环境容量的关键是求给定排污口的最大允许排放量。它是以水环境保护目标和水体稀释自净规律为依据的。在区域环境影响评价中,对于拟接纳区域污水的水体,如常年径流的河流、湖泊、近海水域应估算其水环境容量。

(一)水环境容量确定的原则及其影响因素

1.水环境容量确定的原则

受纳水体所能容纳的可控制污染物(如COD、氨氮等)数量,称为可分配的环境容量,它是水环境容量中最具实用价值的一部分,是可被利用的环境容量和可分配到各排污口的环境容量,即排污口的允许排放量。因此,水环境容量的确定,要遵循以下两条基本原则:

(1)保持环境资源的可持续利用。要在科学论证的基础上,确定合理的环境资源利用率,在保持水体有不断的自我更新与水质修复能力的基础上,尽量利用水域环境容量,以降低污水治理成本。

(2)维持流域各段水域环境容量的相对平衡。影响水环境容量确定的因素很多,筑坝、引水,新建排污口、取水口等都可能改变整个流域内水环境容量分布。因此,水环境容量的确定应充分考虑当地的客观条件,并分析局部水环境容量的主要影响因素,以利于从流域的角度合理调配环境容量。

2.水环境容量的影响因素

某水域或水体的水环境容量的影响因素主要有以下四个方面:

1)水域特性

水域特性是水环境容量研究的基础,包括:几何特征(岸边形状、水底地形、水深或体积),水文特征(流量、流速、降雨、径流等),化学性质(pH值、硬度等),化学自净能力(氧化、水解等),物理自净能力(挥发、扩散、稀释、沉降、吸附),生物降解(光合作用、呼吸作用)。

2)水环境污染物

不同的水环境污染物,其物理化学特性和生物反应规律存在差别,从而对水生生物和人体健康的影响程度也不同。有时各污染物之间的相互作用,不仅改变某一种污染物的环境容量,同时也会降低另一种污染物的环境容量。因此,计算环境容量最优的方法是联立约束条件,同时求解各类需要控制的污染物的环境容量。尤其是国家和地方规定的重点污染物,以及区域开发可能产生的特征污染物和受纳水体敏感的污染物。

3)水环境功能要求

各地的环境保护行政主管部门依据水系的基本用途,均将所在区域的水系进行了水环境功能区的划分,并确定了相应的水质功能要求,由此也确定了受纳水体不同断(界)面的水质标准要求。水质要求越高的水体,其水环境容量就越小;反之,水质要求越低的水体,其水环境容量就越大。

4)污染物的排放方式

污染物的排放位置与排放方式直接影响水域的水环境容量。通常在其他条件不变的情况下,瞬时排放相对于连续排放的环境容量小,集中排放相对于分散排放的环境容量小,岸边排放的环境容量相对于河心排放的环境容量小。因而,影响环境容量的一个重要因素是限定的排污方式。污染物的排放方式可以通过现有资料或现场调查方法弄清楚。

(二)水环境容量的基本计算方法

水环境容量是水体在环境功能不受损害的前提下,受纳水体所能接纳的污染物的最大允许排放量。水体一般分为河流、湖泊和海洋,受纳水体不同,其消纳污染物的能力也不同。对于某个受纳水体,当排污口向受纳水体排放污染物时,为保证受纳水体的水质不发生变化,常按照断面控制方法分段控制,以保证水环境功能区段水质达标。因此,可以采用分段方法计算某水体的水环境容量,具体包括段首控制、段尾控制、功能区段段末控制三个部分的计算。

1.段首控制

段首控制中的段是指沿河任何两个排污口断面之间的河段,而段首则是指各段的上游第一排污口断面。段首控制就是控制上游断面的水质达到功能区段的要求,加上有机物的降解,该段的水质就会处处达到或高于功能区段的指标。段首控制严格控制了功能区段的水质不达标情况。段首控制的水环境容量计算式如式(2-11)所示:

式中:E0为功能区段段首的稀释容量,g/d;Cs为功能区段的污染物水质标准,mg/L;C0为来水中污染物浓度,mg/L;Q0为来水流量,m3/d。

由于控制各段段首某污染物的浓度为水质标准限值,因此污染物经过一段时间降解后,到达段末时的降解量即为该断面处的水环境容量。

第i个断面处的水环境容量计算式如式(2-12)所示:

式中:Ei为第i个断面处的环境容量;qi为第i个断面处的污水排放量;Qi为第i个断面充分混合后的干流流量;xi-xi-1为第i-1个断面到第i个断面的距离;f(xi-xi-1)为两个断面间的污染物衰减因子。

式中:k1是污染物衰减系数,d-1;k3是污染物沉浮系数,d-1;u是两个断面间的平均流速,m/s。

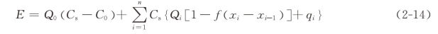
功能区段内所具有的总水环境容量如式(2-13)所示:

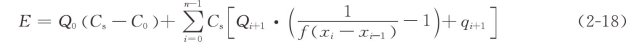
简化式(2-13)得式(2-14):

2.段尾控制

段尾控制与段首控制相似,只是该段的控制断面在下游排污口断面,亦即段尾。段尾控制的目的在于让水质在各段末达到功能区段的水质标准,由此可以反推出该段段首的水环境容量。在段尾控制的水环境容量计算中,功能区段全段水质低于水质要求,但单独考虑到降解能力很低,而且各小段的距离较短,超标不会太高,因此水质超标很少。

段尾控制的水环境容量的计算方法类似于段首控制,功能区段段首的稀释容量如式(2-15)所示:

由于控制段在段末,因此可由段末按降解曲线反推到段首,即可求得段首处的水环境容量,计算式如式(2-16)所示:

式中:Qi+1为第i+1个断面前的干流流量;qi+1为第i+1个断面处的污水排放量。

功能区段内所具有的总水环境容量如式(2-17)所示:

简化式(2-17)得式(2-18):

3.功能区段段末控制

功能区段段末控制就是在功能区段的最末断面控制水质。这里的段末常常是特定功能区段的段首。此控制的实质是控制功能区段最终断面,而不考虑段内水质变化是否超标。类似于段首控制,功能区段段首的稀释容量如式(2-19)所示:

功能区段内各排污口的浓度变化公式如式(2-20)所示:

功能区段最终控制断面的浓度如式(2-21)所示:

式中:Qi、Ci分别为第i断面处排污口充分混合后的干流流量(m3/s)及某污染物的浓度(mg/L);qi、ci分别为第i个断面处的排污流量(m3/s)及某污染物的浓度(mg/L);Qn、Cn分别为最终控制断面的干流流量(m3/s)及某污染物浓度(mg/L);qn、cn分别为最终控制断面处的排污流量(m3/s)及某污染物浓度(mg/L)。

(三)水环境容量的计算步骤

1.简化水体的几何形貌

根据计算模型需要,一般将天然水域(河流、湖泊、水库)的几何形貌简化。例如天然河道、非稳态水流、复杂的河道地形可概化成顺直河道、稳态水流、简单的河道地形等。同时,将影响水环境的因素,如支流、取水口、排污口等也进行简单化。水体简单化的目的是将复杂的问题简单化,同时有利于简化计算过程。

2.基础资料调查与评价

为了计算水环境容量,需要开展相关水域水文资料(水位、体积、流速、流量等)和水域水质资料(多项污染因子的浓度值)的调查与收集;同时需要对该水域周边地区的水排放源参数进行调查和收集,如对水域内的排污口资料(废水排放量与污染物浓度)、支流资料(支流水量与污染物浓度)、取水口资料(取水量、取水方式)、污染源资料(排污量、排污去向与排放方式)等进行统一搜集,再分析数据的一致性。

根据《水域纳污能力计算规程》(GB/T 25173—2010)中设计水文条件的要求,在计算河流水域纳污能力时,应采用90%保证率平均流量或10年最枯月平均流量作为设计流量。因此本章第四节的案例分析中在计算石龙镇地表水环境承载力时,东江干流年径流量设定为181.3亿m3

3.控制断面(或边界)的选择

根据水域内的水质敏感点位置、水环境功能区划,以及环境管理要求,确定污染混合区的混合长度,以确定污染混合边界问题。

4.水环境容量模型选择

根据研究区内实际情况的不同选择建立零维、一维或二维水质模型。

国家标准《水域纳污能力计算规程》(GB/T 25173—2010)中的一般规定指出,采用数学模型计算河流水域纳污能力时,按计算河段的多年平均流量Q将计算河段划分为以下三种类型:①Q≥150m3/s的为大型河段;②15 m3/s<Q<150 m3/s的为中型河段;③Q≤15 m3/s的为小型河段。

采用数学模型计算河流水域纳污能力时,按下列情况对河道特征和水力条件进行简化:①断面宽深比不小于20时,简化为矩形河段;②河段弯曲系数不大于1.3时,简化为顺直河段;③河道特征和水力条件有显著变化的河段,应该在显著变化处分段。

同时,国家标准《水域纳污能力计算规程》(GB/T 25173—2010)也提供了三种可选择的水质模型:①河流零维模型:污染物在河段内均匀混合;②河流一维模型:污染物在河段横断面上均匀混合;③河流二维模型:污染物在河段横断面上非均匀混合。

5.计算和确定研究对象的水环境容量

利用模型、水域类型和相应的水质标准限值、水文设计情景、水文条件和水质参数等,进行模型运算,得到某功能区的水域水环境容量。

(四)水环境容量计算模型

河流流量在丰水期、平水期和枯水期是不同的,即河流流量处在相对稳定的动态的变化之中。因此,同一河流、湖泊或水库,其水质及污染物的背景浓度也在经常改变。当污染物进入水体后,污染物的迁移、转化、自净、降解与河流(河段)的物理形态、化学性质等方面的作用十分复杂。目前,几种河流的水环境容量数学模型如下:

1.基于环境容量定义的零维水环境容量数学模型

在给定的水质目标、设计水量、水文条件情况下,水体所能容纳污染物的最大数量,称为某河流的水环境容量。按照污染物降解机理,水环境容量W可划分为稀释容量W稀释和自净容量W自净两部分,如式(2-22)所示:

稀释容量是指在给定水域的上游来水污染物浓度未达到出水水质目标时,依靠稀释作用达到水质目标所能承受的污染物量。自净容量是指由于沉降、生化、吸附等物理、化学和生物作用,给定水域达到水质目标所能自净的污染物量。

设有某河段i,如图2-6所示,根据上述水环境容量定义,可以给出该河段水环境容量计算公式如式(2-23)和式(2-24)所示:

则由简化图和式(2-23)、式(2-24)可得式(2-25):

考虑各参数量纲,将式(2-25)进行整理,得到式(2-26)。

其中

图2-6 完全混合型河段零维简化模型

式中:Wi为第i河段水环境容量,kg/d;Qi为第i河段设计流量,m3/s;Vi为第i河段设计水体体积,m3;Ki为第i河段污染物降解系数,d-1;Csi为第i河段所在水功能区水质目标值,mg/L;C0i为第i河段上方河段所在水功能区水质目标值,mg/L。

若所研究的水功能区被划分为n个河段,则该水功能区的水环境容量是n个河段水环境容量的叠加,如式(2-27)所示。

式中:W为水功能区水环境容量,t/a;其他符号的意义和量纲同前。

2.基于一维水质模型的河流水环境容量计算模型

1)排污口集中于上游边界的计算模型

对于宽深比不大的河流,污染物在较短的河段内基本上能在断面内均匀混合,污染物浓度在断面上横向变化不大。因此,可用一维水质模型模拟污染物沿河流纵向的迁移过程。

一般情况下,污染物排放口不规则地分布于河段的不同断面,河段过水断面污染物的浓度由各排污口产生的污染叠加而得。将排污口在河段的分布进行简化处理,即认为在同一河段内所有污染物排放口集中于河段上游边界,此时可以将河段简化为如图2-7所示的矩形形态。这种处理方式对某一河段而言虽然存在一定偏差,但比较简单和实用。据此可以推算得到该河段的纳污能力,即该河段的水环境容量。

图2-7 各排污口集中于上游边界的河段一维简化模型

设某河段i长为Li,其水质目标为Csi,设计流量为Qi,设计流速为ui,入流设计水质为C0i,污染物降解系数为Ki;又设纳污能力为Wi。由于简化后的排污口位于河段上游边界,设排污口对河段上游边界的浓度贡献值为,则得到式(2-28):

对河段下游边界的浓度贡献值则为,流入水质C0i对河段下游边界的浓度贡献值为,两者之和应为Csi,如式(2-29)所示。

则该河段纳污能力可以通过式(2-30)计算求得:

考虑量纲时,式(2-30)也可写成式(2-31)的形式:

其中

式中:Wi为第i河段水环境容量,kg/d;Qi为第i河段设计流量,m3/s;Ki为第i河段污染物降解系数,d-1;Csi为第i河段所在水功能区水质目标值,mg/L;C0i为第i河段上方河段所在水功能区水质目标值,mg/L。

若所研究的水功能区被划分为n个河段,则该水功能区的水环境容量可以通过式(2-32)计算。

式中:W为水功能区水环境容量,t/a;其他符号的意义和量纲同前。

2)排污口分布于沿河流向的计算模型

假设排污口沿河流流向在不同点位分布,则可以采用同样的方法,将排污口在河段内的分布加以简化,即认为河段内所有污染物排放口沿河均匀分布,如图2-8所示。这种简化模型实际上是将排污口排放的污染物分布进行平均化处理。虽然对某一河段污染物的分布计算存在一定的偏差,但综合反映了河段内污染物排放的一种平均状态。据此可推算得到该河段的纳污能力,即水环境容量。

图2-8 各排污口沿河分布河段的一维简化模型

设某河段i长为Li,其水质目标为Csi,设计流量为Qi,设计流速为ui,设计断面面积为Ai,入流断面设计水质为C0i,污染物降解系数为Ki;同时,设该河段的纳污能力为Wi,则单位河长纳污量应为Wi/Li。建如图2-8中所示的坐标系,在河段内选一微分长度段,长为dx,坐标为x。那么,此微分长度段污染物输移至x=Li处的剩余质量可以采用式(2-33)计算求得。

因此,单位时间内经过x=Li所在断面的污染物总质量,应为上游Li长度河段内各微分长度段排放的质量降解至本断面剩余质量的叠加。计算式如式(2-34)所示。

则相应的浓度Ci的计算式如式(2-35)所示:

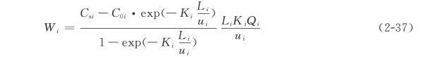
根据受纳水体纳污能力的定义,得到式(2-36):

则该受纳水体纳污能力Wi可以表达为

由于某受纳水体的体积Vi可以表达为

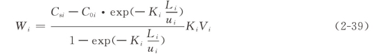
则式(2-37)可以写为式(2-39)的形式:

在考虑量纲时,式(2-39)也可写成式(2-40)的形式:

其中

式中:Wi为第i河段水环境容量,kg/d;Qi为第i河段设计流量,m3/s;ui为第i河段设计平均流速,m/s;Vi为第i河段设计水体体积,m3;Li为第i河段的长度,m;Ki为第i河段污染物降解系数,d-1;Csi为第i河段所在水功能区水质目标值,mg/L;C0i为第i河段上方河段所在水功能区水质目标值,mg/L。

若所研究的水功能区被划分为n个河段,则该水环境功能区的水环境容量W可以表示为

式中:W为水功能区水环境容量,t/a;其他符号的意义和量纲同前。

上述的两种河流水环境容量数学模型分别为零维模型和一维模型。对于宽深比足够大的河道,污染物自岸边排入水体后,需要很长的距离才能在断面上充分混合,浓度在排放口附近断面沿横向变化很大。若用零维或一维模型来求解纳污能力,就会使计算值大大超过实际值,此时需要采用二维水质模型来计算纳污能力,即水体的环境容量。