机场河综合治理工程地表水环境影响预测与评价实践

二、机场河综合治理工程地表水环境影响预测与评价实践

机场河位于武汉市汉口地区,属于城市内河水系,由明渠和地下箱涵组成。其中明渠长约为6.1 km,最宽处小于15 m,明渠水深最深处为5.4 m,底宽7.5 m。机场河水体水质较差,对周边居民的生产和生活造成了严重影响。根据国家《水污染防治行动计划》中对黑臭水体的治理要求,政府决定开展机场河明渠地表水环境综合治理。机场河明渠位于江汉区与东西湖区交界区域,起于解放大道,止于常青排涝泵站。机场河明渠两岸30~220 m范围内分布有一定数量的住宅小区、医院学校

机场河综合治理工程任务包括:旱季截污工程(即对机场河沿线排污口进行截污,削减排至明渠的污水量)、污水和雨水合流制(简称CSO)溢流污染控制工程(即新建常青花园片区污水干管收集系统)、生态补水工程(即机场河明渠的生态补水)、景观绿化工程(即机场河两岸景观绿化带)、水生态修复工程(即雨水渗滤沟设计和多样性生物群落构建等)和河道水环境监控与综合调度工程(即自动水质水量监测站和闸泵自控系统等)。工程工期约30个月,施工采用分段同步进行的方式,以保证按时完成任务。

项目施工前,监测部门在武汉市机场河评价范围内的丰水期,对设置在机场河水域的5个水质监测断面开展了采样监测分析,结果如表4-32所示(表中各浓度的单位与相关标准中的一致)。

表4-32 丰水期机场河水质监测结果及评价

机场河地表水环境目标是达到地表水Ⅴ类标准的城市景观用水水质要求,其中主要水质指标力争实现地表水Ⅳ类标准。为此,新建一座地下污水处理厂,废水排放量为10万m3/d,其运行过程中产生的废气采用生物滴滤塔处理后对空排放。将汉西污水处理厂(废水排放总量为60万m3/d)的尾水作为机场河明渠的生态补水工程的补水水源,生态补水量Q=20万m3/d。汉西污水处理厂排放口位于机场河末端处。两座污水处理厂排水执行《城镇污水处理厂污染物排放标准》(GB 18918—2002)中的一级A标准。表4-33是2017—2019年期间,武汉市汉西污水处理厂出水水质因子浓度均值一览表。

表4-33 汉西污水处理厂出水水质因子浓度均值一览表

请根据项目概述回答以下问题:

问题一 该项目的地表水环境影响评价等级是几级?

问题二 如何开展施工期的大气环境和地表水环境影响源分析?

问题三 如何开展该项目的地表水环境质量预测与评价?

问题四 请根据该项目建设特点制订合适的环境管理与环境监测计划。

参考答案

问题一 该项目的地表水环境影响评价等级是几级?

1.地表水环境影响评价等级判据

按照《环境影响评价技术导则地表水环境》(HJ2.3—2018)的相关说明,地表水环境影响评价的工作等级根据建设项目的影响类型、排放方式、排放量或影响程度、收纳水体环境质量现状和水环境保护目标等因素综合确定。直接排放废水的建设项目的地表水环境影响评价工作分为一级、二级和三级A。间接排放废水的建设项目的地表水环境影响评价工作为三级B。其中,一级评价最详细,二级次之,三级较简单。水污染影响型建设项目评价等级划分的依据是排放方式和废水排放量,如表4-34所示。

表4-34 水污染影响型建设项目评价等级判定

2.该项目的地表水环境影响评价等级

由项目概述可知,新建的地下污水处理厂和汉西污水处理厂的废水排放总量分别为10万m3/d和20万m3/d,即这两座污水处理厂排放总量均大于20000 m3/d。按照表4-34所示的判据,该项目的水污染影响类型评价等级确定为一级。

问题二 如何开展施工期的大气环境和地表水环境影响源分析?

机场河综合治理工程的工期长,约30个月,接近3年,因此施工期对机场河周边的大气环境、水环境、声环境的影响必须得到足够重视。

(一)施工期的大气环境影响源分析

施工期间大气环境的污染主要来源于主体工程机场河区域开挖产生的粉尘和废气、施工机械和车辆燃油产生的废气、交通运输产生的扬尘以及烟粉尘。

1.主体工程开挖产生的粉尘及废气

机场河综合治理工程涉及旱季截污工程、污水和雨水合流制溢流污染控制工程、生态补水工程、景观绿化工程和水生态修复工程,这些工程建设中涉及的土石方工程、地基加固与处理、主体结构施工等均会产生一定量的扬尘。采用类比分析方法,可以得到一般建筑施工场地的地基开挖、地基建设、土方回填和一般施工过程中场界10 m范围内扬尘浓度分别为938.67 μg/m3、219.38μg/m3、611.89μg/m3和78.15 μg/m3

2.施工机械和车辆燃油产生的废气

工程施工期间燃油废气主要是施工机械、运输车辆排放的废气,产生的污染物主要为SO2、NOx、CO。该工程施工的30个月期间,估计消耗柴油约2.61万t,根据相关工程资料,油料的大气污染物排放系数SO2的为3.522 kg/t、NOx的为48.261 kg/t、CO的为29.35 kg/t。据此计算得到各污染物产生量:SO2为91.92 t、NOx为1259.61 t、CO为766.04 t。

3.交通运输产生的扬尘

交通运输扬尘污染源主要包括两部分:一是汽车行驶产生的扬尘,二是土方物质运输时因防护不当而导致的物料失落和飘散。交通运输扬尘将导致进场道路两侧空气中含尘量增加,对道路两侧区域环境空气质量产生一定影响。基于相关工程资料,施工过程中车辆行驶产生的扬尘约占施工总扬尘量的60%以上。在同样路面清洁程度下,车速越快,车辆行驶产生的扬尘量越大,而在同样车速下,路面越脏扬尘量越大。因此,需要控制车速,以减少行车过程引起的地面扬尘产生量。

4.烟粉尘

施工过程中的烟粉尘主要来自钢筋焊接、除锈打磨工序。烟粉尘排放属于无组织排放,排放浓度为1200~2000 mg/m3

(二)施工期的地表水环境影响源分析

施工期间地表水环境的污染源主要是基坑废水、施工期生产废水、生活污水和施工导流,污染物以悬浮物和石油类为主。

1.基坑废水

基坑废水主要包括降雨积水、混凝土养护废水和基坑降水形成的积水。基于武汉市早期类似工程的实测数据报告,采用类比分析方法,得到该工程基坑经常性废水产生量约为3 m3/d,污染因子主要为SS,pH值为7~10。

2.施工期生产废水

施工期生产废水主要包括混凝土施工废水、机械车辆冲洗含油废水、移动式混凝土搅拌设备冲洗废水等。

(1)混凝土施工废水。

施工生产过程中的混凝土施工废水悬浮物浓度高,悬浮物的主要成分为土粒和水泥颗粒等无机物,基本不含有毒有害物质。该废水具有废水量较大、悬浮物浓度高的特点,悬浮物浓度可高达5000 mg/L。混凝土养护水的pH值较高,可达11左右,废水的排放方式为间歇排放。另外,混凝土搅拌机还将产生很小量的冲洗水,其主要污染物为悬浮物,浓度可达5000 mg/L左右,pH值可达11左右。根据施工组织设计书,该工程混凝土工程量为6.375万m3,根据类似工程施工经验,每立方混凝土工程施工约产生废水0.5 m3,由此可推算该工程混凝土浇筑养护废水总排放量为3.2万m3,混凝土废水日平均排放量约35.4 m3/d。

(2)机械车辆冲洗含油废水。

施工中的渣土车、推土机、挖掘机和装载机等各类机械,因检修和冲洗保养机械设备,均将产生含油废水。该废水的主要特点是悬浮物和石油类的含量较高,含油废水中石油类平均浓度为30~50 mg/L。该废水若不经处理直接集中排放,会对周围土壤和河渠造成污染。因此,机械维修厂的废水需经油水分离器处理。该工程以油料为动力且需要冲洗维护的施工机械约587台,按每月冲洗4次,每台机械冲洗一次废水排放量以0.5 m3计,因施工期安排30个月,每次按设计机械总量的1/10估算,则工程含油废水产生量约为117.4 m3/月,30个施工月共产生3522 m3含油废水。

(3)移动式混凝土搅拌设备冲洗废水。

该工程施工区沿机场河两岸布置,施工点多且分散,混凝土浇筑工程量小。假设采用4台移动式砂浆搅拌机及4台移动式混凝土搅拌机,每台每次冲洗用水量约为1 m3(平均一天冲洗2.5次),则高峰期移动式混凝土搅拌设备冲洗废水产生量约为20 m3/d。废水的pH值一般为11~12,悬浮物浓度一般为5000 mg/L。

3.生活污水

施工生活污水主要来源于施工期进场的管理人员和施工人员的生活排水,如餐饮污水、粪便污水等,主要污染物是COD和氨氮。该工程施工总工日为55万个,平均上工人数为1500人,高峰期上工人数为1600人。根据水利工程施工经验,生活用水按60 L/(人·d)计,排放系数按80%计,生活污水中COD和氨氮分别按0.04 kg/(人·d)和0.003 kg/(人·d)计,则该工程施工期生活污水产生量约为7.43万m3,COD和氨氮产生量分别约为61.9 t和4.64 t。工程施工期平均每日产生生活污水约72 m3、COD约60 kg、氨氮约4.5 kg;工程施工高峰期每天产生生活污水约76.8 m3、COD约64 kg、氨氮约4.8 kg。

由于施工采用分段同步进行的方式,各施工营地分散布置,因此各工区分别布置相应的生活设施,也不会有大、中型建筑物施工。虽然单个施工区产生的生活污水量不大,但若不妥善处理,其排放可能对排入区域环境产生短期的不利影响。

4.施工导流

该项目在机场河明渠岸坡上建设,施工时需分期导流,以尽量减小对区域雨污水排放的影响,并采取临时排水措施保证区域排水正常。导流过程均使用清洁水,因此施工期间的导流不存在水污染物转移问题。

问题三 如何开展该项目的地表水环境质量预测与评价?

机场河综合治理工程完成后,施工期的水环境影响将消失,取而代之的是新建的一座地下污水处理厂的尾水排放,以及汉西污水处理厂的尾水排放。由于汉西污水处理厂尾水排口位于机场河末端处,且该尾水将作为机场河明渠的生态补水工程的补水水源(生态补水量Q=20万m3/d),因此该工程的地表水环境影响预测与评价的重点是汉西污水处理厂尾水排放对机场河的环境影响。

(一)该项目的地表水环境影响预测与评价的基本内容

1.建设项目地表水环境影响预测的总体要求

在《建设项目环境影响评价技术导则总纲》(HJ 2.1—2016)中,规定了建设项目地表水环境影响预测的基本原则和方法。对于已经确定的建设项目,都应预测建设项目对水环境的影响,预测的范围、时段、内容和方法均应依据评价工作的等级、工程及环境的特点和当地的环境保护要求确定。具体如下:

(1)对季节性河流,应依据当地环保部门所定的水体功能,结合建设项目的特性确定其预测的原则、范围、时段、内容及方法。

(2)当水生生物保护对地表水环境要求较高时(如珍贵水生生物保护区、经济鱼类养殖区等),应简要分析建设项目对水生生物的影响。

(3)对于一级、二级和水污染影响型三级A,与水文要素影响型三级评价应定量预测建设项目的水环境影响;对于水污染影响型三级B评价,可以不开展建设项目的水环境影响评价工作。

在进行水环境影响预测时,应考虑评价范围内已建和在建项目中,与拟建项目排放的同类型或同种污染物对相同水文要素产生的叠加影响。

(4)对建设项目分期规划实施的,应估算规划水平年进入评价范围的负荷量,预测规划水平年进入评价范围的水环境质量变化趋势。

(5)进行地表水环境影响预测时,应考虑水体自净能力不同的各个时段,通常可划分为自净能力最小、一般、最大三个时段。自净能力最小的时段通常在枯水期(结合建设项目设计的要求考虑水量的保证率),个别水域由于面源污染严重也可能在丰水期。自净能力一般的时段通常在平水期。冰封期的自净能力很小,情况特殊,如果冰封期较长可单独考虑。海湾的自净能力与时期的关系不明显,可以不分时段。

2.建设项目地表水环境影响预测的基本内容

水环境影响预测的基本内容需要根据建设项目的影响类型、预测因子、预测情景、预测范围、地表水体类别,以及预测选用的预测模型及评价要求确定。

(1)水污染影响型建设项目。

①预测各关心断面(控制断面、消减断面、取水口和排污口污染物排放核算断面等)的水质因子的浓度及变化;

②预测水质因子到达水环境保护目标处的浓度;

③预测水质因子或污染物的最大影响范围;

④对于湖泊、水库和半封闭海湾,还需要预测水体的富营养化状况,以及发生水华和赤潮的情况;

⑤预测排污口下游的污染物混合过程长度或范围。

(2)水文要素影响型建设项目。

①开展河流、湖泊及水库的水文情势预测分析,主要包括水域形态(如矩形、弯曲形、深水型或混合型等)、径流条件、水力条件,以及冲淤变化等内容。具体内容有水域面积、水量、水温、水位、水深、流速、水面宽,以及冲淤变化等因子;对湖泊和水库还要重点关注水域面积、库容量和水力停留时间等因子。

②开展感潮河段、入海河口及近岸海域的水动力条件预测分析,主要包括流量、流向、潮流界、潮区界、纳潮量、水位、水深、流速、水面宽,以及冲淤变化等因子。

3.该项目的地表水环境影响预测与评价的基本内容

对照《环境影响评价技术导则地表水环境》(HJ 2.3—2018)的基本规定,确定机场河地表水环境影响预测与评价的基本内容。

根据受纳水体的水文特征、污水厂处理规模及尾水的排放状态,结合表4-33所示的内容,基于90%保证率枯水期和15%保证率丰水期的条件,在正常排放和非正常排放情况下,模拟汉西污水处理厂尾水排至机场河后的水环境变化情况。假设汉西污水处理厂出现设备故障、停电或其他不可预知的事故,导致出水水质不达标的非正常工况,生态补水泵站的进水在线监测系统可及时了解并快速响应(关掉补水泵站等),切断补水。因此,不存在不达标生态补水污染机场河水质的情况。具体预测工况如表4-35所示。

表4-35 机场河水环境影响预测工况、排放浓度及排放量

(二)开展该项目的地表水环境影响预测与评价的基本步骤

1.确定预测因子

预测因子应根据评价因子而定,选取有地表水环境质量标准的评价因子作为预测因子。预测因子一般不超出现状评价因子范围。从表4-33可知,汉西污水处理厂出水水质要求稳定达到《城镇污水处理厂污染物排放标准》(GB 18918—2002)中的一级A标准,汉西污水处理厂尾水排放主要水质指标达到《地表水环境质量标准》(GB 3838—2002)中的地表水环境质量Ⅳ类标准。因此,该项目的预测因子包括COD、氨氮、总磷和总氮。

2.确定预测范围

机场河段尾水排放明渠段6.1 km的范围。

3.确定污染源

汉西污水处理厂排放口。

4.选择预测方法

在《建设项目环境影响评价技术导则总纲》(HJ 2.1—2016)中,给出了建设项目地表水环境影响预测方法:数学模式法、物理模型法、类比分析法和专业判断法。

(1)数学模式法能给出定量的预测结果,但需要满足一定的计算条件和掌握必要的参数、数据。一般情况下此方法比较简便,应优先选用。选用数学模式时要注意模式的应用条件,当实际情况不能很好满足模式的应用条件而又拟采用时,要对模式进行修正并验证。

(2)物理模型法定量化程度较高,再现性好,能反映比较复杂的环境特征,但需要有合适的试验条件和必要的基础数据,且制作复杂的环境模型需要较多的人力、物力和时间。在无法利用数学模式法预测而又要求预测结果定量精度较高时,应选用此方法。

(3)类比分析法的预测结果属于半定量性质。当评价工作时间较短,无法取得足够的参数、数据,不能采用前述两种方法进行预测时,可选用此方法。

(4)专业判断法则是定性地反映建设项目的环境影响。建设项目的某些环境影响很难定量估测(如对文物与珍贵景观的环境影响),或由于评价时间过短而无法采用上述三种方法时,可选用此方法。

该项目的地表水环境影响预测选择数学模式法。结合机场河的实际情况,采用MIKE 21FM模型对机场河水环境影响进行模拟预测分析。MIKE 21FM模型因其强大的计算功能、友好的可视化界面、简单方便的操作广泛应用于河流、湖泊、海湾等多类型水体,尤其在二维自由表面流的数值模拟方面应用广泛,主要有河流、湖泊、河口、海湾、海岸及海洋的水流、波浪、泥沙和环境等的模拟。

5.确定模型中的相关参数

模型的基本参数包括模拟时长、计算步长、克朗数、干湿水深、涡黏系数、河底糙率,边界条件有构筑物等。本次预测中部分计算参数如表4-33和表4-36所示。水域的糙率是数值计算中十分重要的参数,与水深、床面形态、植被条件等因素有关。本次模拟计算中采用的是曼宁糙率系数M=25.4/(),式中Ks是床面粗糙高度,本次计算中Ks取值范围为25~50。

表4-36 水动力模型主要参数取值

模型计算过程中的参数根据模型网格大小、水深条件动态调整,模型计算的时间步长选择应保证Courant-Friedrieh Levy数(即CFL数)满足稳定条件,使CFL数小于0.8,最后确定时间步长为30 s。河道主槽糙率系数的取值范围定为0.01~0.02。总氮降解系数的取值范围为0.08~0.1 d-1,总氮降解系数的取值主要参照同类地区相关领域的研究成果及相关文献资料。模型中的另外一部分参数的确定如下:

(1)设计水文条件。

根据国家相关规范及规程的要求,按照《环境影响评价技术导则地表水环境》(HJ 2.3—2018)中河流设计水文条件要求:河流不利枯水条件宜采用90%保证率最枯月流量或近10年最枯月平均流量;流向不定的河网地区和潮汐河段,宜采用90%保证率流速为零时的低水位相应水量作为不利枯水水量。受人工调控的河段,可采用最小下泄流量或河道内生态流量作为设计流量。根据设计流量,采用水力学、水文学的方法确定水位、流速、河宽、水深等其他水力学数据。

根据长江水利委员会水文局1980—2012年降水资料,通过线性拟合得到降水的频率分布,并得到不同频率下的降水量。根据降水量选择出90%保证率最枯月流量,使缩小后的降水量与90%保证率最枯月流量的降水量相同,得到设计降水过程。最后将设计降水过程代入降水产流模型中,得到90%保证率最枯月流量及丰水期的设计流量。计算得到的结果数据,将作为模型模拟预测的设计水文条件数据。

已知机场河明渠长6.1 km,深5.4 m,底宽7.5 m,设计水深2.25 m,排水能力为37 m3/s。

(2)水下地形数据。

机场河水下地形数据采用2018年中国建筑第三工程局有限公司委托湖北中南勘察基础工程有限公司测量得到的水下地形数据。在计算时,将模型划分成三角形网格。

(3)初始水位。

模型中的初始条件指的是模拟周期开始时刻的区域表面高程以及水平方向和垂直方向上的流速。本项目所构建的水动力模型水面初始高程、陆地高程和湖区水深均为实际踏勘测量获得的数据。

在以水位为边界条件的情况下,如果模型同时考虑了科氏力和风场的作用,那么模型运行的结果可能会失真,尤其是在稳态流的情况下,会在边界的一边产生大量入流,而在另一边产生大量出流。

机场河水位(取平均水位)设计:丰水期设为2.4 m,枯水期设为1.9 m;温度为25℃,起始时刻流速设为0,初始水位设为2.5 m。

(4)边界条件。

水文边界(上、下边界):机场河的上边界采用实测的水位监测数据,机场河末端连接府河,不需要输入下边界条件。

6.进行机场河地表水环境影响预测与评价

在上述步骤1~5中的内容确定后,利用所选择的预测模型,进行地表水环境影响预测与评价。

(三)地表水环境影响预测与评价结果分析

1.水质预测模型

在《环境影响评价技术导则地表水环境》(HJ 2.3—2018)中推荐了水动力模型与水质模型。这些模型若按照时间划分,可以分为稳态模型与非稳态模型;若按空间划分,可分为零维、一维(包括纵向一维及垂向一维,纵向一维模型包括河网模型)、二维(包括平面二维及立面二维)以及三维模型;若按是否需要采用数值离散方法划分,可以分为解析解模型与数值解模型。这些水动力模型及水质模型需要根据建设项目的污染源特性、受纳水体类型、水力学特征、水环境特点,以及评价等级等要求来选取。河流数学模型适用条件如表4-37所示。

表4-37 技术导则推荐的河流数学模型适用条件

根据汉西污水处理厂尾水排放特征和机场河水力学特征及水环境特点,污染物进入受纳水体后水深方向能够混合均匀,模拟的河段较短、宽度较大,满足表4-37中的平面二维数学模型的适用条件,即可采用MIKE 21FM中的水动力和水质模块进行模拟计算。水动力模块模拟计算区域设计条件下的水流流场;水质模块模拟计算区域尾水排放产生的各污染因子的浓度增量及其空间变化情况。

MIKE 21FM二维数学模型主要由水动力模块、对流扩散模块、水质水生态模块、黏性泥沙模块、粒子追踪模块、非黏性泥沙模块、内陆洪水模块7个子模块组成。其中水动力模块包括水深、底部摩擦力、风力场、盐度等12部分,可模拟不考虑分层或因外力作用发生水位、流速变化的平面二维自由表层流运动,且可选择直角或球面坐标系。其基本思想为利用有限体积法求解,即通过离散控制方程,采用非结构化网格,求解一维黎曼问题得到计算结果。对流扩散模块可以从时空上精细化模拟多种可溶的或悬浮的污染物的迁移过程。其建立的步骤主要包括地形网格剖分、边界条件创建、敏感参数获取,以及模型结果验证等,重要的数据文件包括地形网格文件、时间序列文件、参数空间文件,以及结果输出文件等。

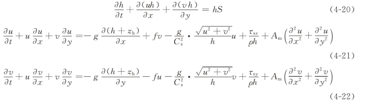
水动力数学模型的基本方程为

式(4-20)至式(4-22)中:

h为某点处水面到水底的平均深度,m;t为时间,s;g为重力加速度;ρ为水的密度,kg/m3;u为对应于x轴的平均流速分量,m/s;v为对应于y轴的平均流速分量,m/s;zb为河底高程,m;f为科氏系数,f=2Ωsinφ(其中Ω表示角速度,φ为对应的夹角),1/s;Cz为谢才系数,m1/2/s;τsx、τsy为水面上的风应力,τsx=r2ρaw2sinα,τsy=r2ρaw2cosα(r2为风应力系数;ρa为空气密度,kg/m3;w为风速,m/s;α为风方向角);Am为水平涡动黏滞系数,m2/s;x为笛卡儿坐标系x向的坐标,m;y为笛卡儿坐标系y向的坐标,m;S为源(汇)项,mg/L。

水质数学模型的基本方程为

式中:Cs为源(汇)项污染物浓度,mg/L;其他字母的含义同前。

(1)定解条件。

①边界条件:

岸边界 岸边界的法向流速为零;

水边界 上、下游边界均采用潮位过程线,潮位过程根据实测潮位过程得到。

②初始条件:

(2)计算方法和差分格式

上述二维水流模型的基本方程中含有非线性混合算子,可采用剖开算子法进行离散求解。这一数值方法根据方程所含算子的不同特性,将其剖分为几个不同的子算子方程,各子算子方程可采用与之适应的数值方法求解。这种方法能有效地解决方程的非线性和自由表面确定问题,具有良好的计算稳定性和较高的计算精度。

2.计算区域网格划分及地形概化

对控制方程的空间离散采用基于网格中心的有限体积法。计算区域采用非结构化网格进行概化,网格可以是三角形、四边形的混合网格。非结构化网格不仅可以对复杂几何地形进行最好程度的拟合,对边界进行光滑处理,而且可以在重点区域布置较小的网格单元,在提高预测精度的同时提高计算速度,以便于进行多情景预测工作。

网格剖分过程主要包括根据研究对象选择适当的模拟区域,确定地形网格的分辨率,定义陆地边界和开边界以及网格剖分和地形插值等步骤。根据研究区域的经纬度计算原点所在的区域,计算模拟采用CGCS2000-3-Degree-GK-CM-114E平面坐标。

本次计算区域网格的划分是根据某公司测量的陆地边界的CAD数据提取机场河的陆地边界,利用Arcgis将计算区域水系边界矢量化生成xyz文件,然后导入MIKE 21FM水动力模型生成计算区域的水系边界,即陆地边界,再用网格生成器生成非结构三角形网格即可得到模拟区域的计算网格,即将xyz文件导入MIKE Zero内的Mesh Generator以生成模型内的水动力模型的水系边界。计算网格由三角形单元构成,这样能较好地拟合岸线。根据需要,网格单元边长为3~30 m。建立二维水动力模型需要水陆边界线、水位和水深散点、流量时间序列等数据以及水文参数、初始条件和模拟时间。最后需要对模型进行调试、率定和验证。

区域网格划分可以根据汉西污水处理厂排污口位置、水文资料完整性以及模型计算的需要进行。网格布置采用三角形网格,共生成1754个网格和1522个计算节点。在此基础上,可以根据预测范围的水下地形等值线图,读取各个节点的河底高程。

3.正常排放工况下机场河地表水环境影响预测条件

由于该项目为河道综合整治项目,设置两座污水处理厂,其中汉西污水处理厂作为机场河生态补水水源,废水达标后排入机场河。污水处理厂处理后的水质达到《城镇污水处理厂污染物排放标准》(GB 18918—2002)中的一级A标准,主要指标达到《地表水环境质量标准》(GB 3838—2002)中的Ⅳ类标准,总氮超过《地表水环境质量标准》(GB 3838—2002)中的地表水环境质量Ⅴ类标准。

同时,需要预测汉西污水处理厂在90%保证率枯水期和15%保证率丰水期时,在正常排放工况下对机场河的影响。另外,需要分别在丰水期和枯水期预测总磷和总氮浓度最大值随时间的变化特征,并以机场河的水环境质量标准限值作为本底值,开展正常排放工况下机场河地表水环境影响预测。

4.正常排放工况下机场河地表水环境影响预测结果

依据表4-32和表4-33所示的机场河水环境现状监测值、汉西污水处理厂尾水检测值,以及预测参数和预测模型,得到正常排放工况下丰水期和枯水期机场河地表水环境影响的预测结果,如表4-38和表4-39所示。

表4-38 总氮浓度最大预测值 (单位:mg/L)

由表4-38可知,机场河各个断面处总氮浓度本底值超过《地表水环境质量标准》(GB 3838—2002)中的Ⅴ类标准限值。以Ⅴ类标准限值作为本底值,枯水期和丰水期总氮浓度在机场河入府河处的增量分别为0.106 mg/L和0.216 mg/L,汉西污水处理厂尾水排放经过机场河入府河后对府河水环境影响较小。汉西污水处理厂尾水排放后对机场河的总氮浓度的影响范围在枯水期和丰水期分别为5.36 km和6 km。

表4-39 生态补水至机场河后的水质预测结果 (单位;mg/L)

5.正常排放工况下汉西污水处理厂补水工程的水质改善效果分析

按照项目概述可知,汉西污水处理厂升级改造完成后,能够给机场河明渠提供稳定水量与水质的生态补水,设计出水水质满足《城镇污水处理厂污染物排放标准》(GB 18918—2002)中的一级A标准。由汉西污水处理厂近三年的出水水质数据(见表4-33)可知,生态补水中COD、氨氮、总磷的浓度均值分别为20.82 mg/L、0.09 mg/L、0.3 mg/L,均满足《地表水环境质量标准》(GB 3838—2002)中的Ⅳ类水水质标准。所以汉西污水处理厂补水工程只需重点分析补水至机场河后对机场河水质的改善作用。

由表4-39可知,当将汉西污水处理厂尾水引入机场河后,机场河常青北路段东渠断面、机场河常青北路段西渠断面、机场河常青队处东渠断面、机场河常青队处西渠断面和机场河西渠入府河处断面的水质能够得到改善,COD、氨氮、总磷浓度均达到《地表水环境质量标准》(GB 3838—2002)中的Ⅳ类水水质标准。

问题四 请根据该项目建设特点制订合适的环境管理与监测计划。

1.环境管理计划

由项目概述可知,机场河综合治理工程的工期长,约30个月;在机场河明渠两岸30~220 m范围内分布有一定数量的住宅小区、医院和学校。因此,该项目无论在建设期还是营运期,都将对机场河周边一定区域的生态环境造成影响。为此,需要根据项目建设期和营运期可能存在的环境问题制订本项目的环境管理计划,以使本项目的环境问题能及时得到落实。本项目的环境管理计划如表4-40所示。

表4-40 机场河综合治理工程环境管理计划一览表

续表

续表

从表4-40可知,环境管理计划的实施应该从工程设计阶段开始,贯穿机场河综合治理工程的各个阶段,包括设计阶段、施工阶段和营运阶段。

2.环境监测计划

为了评价机场河综合治理工程对机场河周边区域环境质量的影响程度,有必要开展施工期和营运期的环境质量监测。为此,分别制定该项目施工期和营运期的环境监测计划。

(1)施工期监测计划。

根据施工期的污染物排放特征,制定如表4-41所示的施工期环境监测内容,包括典型的大气环境污染物和水环境污染物的浓度、噪声,以及监测频次等。

表4-41 施工期环境监测内容一览表

(2)营运期监测计划。

根据营运期的污染物排放特征,制定如表4-42所示的营运期环境监测内容。监测对象是污染源的污染物排放情况,包括污水处理厂的常规监测和不定期监测两个方面,具体是污染物浓度、噪声,以及监测频次等。

表4-42 营运期环境监测内容一览表

续表