一、证券发行市场
有组织、有秩序的证券交易首先发生在证券发行市场上,该市场的规范发展有助于证券商品交易将来的发展。各国和各地区的发行市场有着不同的证券发行的规定和制度,我国的有关制度和规定还处于摸索发展阶段,它带有我国过渡经济的许多特征。
1.证券发行市场基本概念
市场是商品或权责关系相互转换的场所。证券发行人将自行设计,代表一定权利的有价证券商品通过媒介转让销售给需要投资的人们。这一全过程统称为证券发行市场。原始证券的发行是证券市场的起步阶段,也称一级市场或初级市场,它涉及面广,政府、金融机构、企业经批准都可依法发行自行设计的、不同种类、目的的新证券。法律规定,社会公众个人是不能作为证券发行人的,也并非任何机构单位都能发行有价证券。
证券发行市场发行计划、规模、频率都由国家证券管理部门制订,并依靠证券承销商具体实施。这市场可以没有固定场所,证券承销商可以利用计算机网络组织销售,完成新证券的转移。这市场也可以没有统一时间事先预告何时发行,全凭发行人自身需要、证券市场的总体趋势即投资者的承受能力,以及国民经济宏观调控的步伐而定,从这一意义上,发行市场又被称为无形市场。
2.发行人和中介商
证券发行市场主要当事人有三方面:发行人、投资者和中介商。发行人包含社会多方面,上述提到的政府、金融机构和企业等均只能发行债券。而公司主要有两大类型:股份有限公司和有限责任公司。前者是股份产权制度最基本的形式,其注册资本由等额股份构成,并公开发行股票筹资,股东以自己的投资额对公司债务承担有限责任,不涉及投资者其他资产,公司是以其全部资产对公司债务负责的法人。后者是指由两个以上的股东共同出资,每个股东以其认缴的出资额对公司承担有限责任,公司也以全部资产对其债务负责的法人。股东的出资转让、增加新股东都受到严格控制,非经全体股东同意,不得自行决定,即并非任何人都可成为股东。出资股本不能上市,其投资凭证也不称为股票,而是股单,或称出资证明文件。每位股东只持有一个股份,这股份价值都以投资额计算,均表明对公司的出资总额,这与前者完全不同。这两类公司各有特点,如前者属于开放型公司,那后者就是封闭型公司,这后一种模式越来越受到广大中小企业的青睐。
我国证监会对发行人资格审查要求严格,可谓良好的开端是成功的一半。证监会下属证券发审委员会对所有发行申报予以审批,并通过无记名投票决定核准与否。股票发行后,公司由此经营发生变化导致投资风险,则全应由投资者自行承担,即人们无法依据核准理由向公司或批准部门索赔损失。《证券法》第19条对此有明确的规定。
证券中介商即券商是发行市场不可缺少的角色,是专门受托代理发行人承销各类证券商品的金融机构,又称证券承销商。在国际证券市场上被称之为投资银行,它有别于传统的从事存贷业务的商业银行,在英国被称之为商人银行。在我国则主要就由各证券投资公司担任此职。证券中介商主要不是以资金,而是以金融技术作为手段,充当企业与金融机构间的中介,从而实现靠企业自身无力完成的筹资、使用、保值增值的目的。其主要业务有:证券承销业务。证券发行手续繁杂,工作量大,需要专业机构参与,并承担相应风险,这是证券中介商最初也是最基本的业务;证券交易业务。这是发行结束由一级市场转而进入二级市场后,券商通过自营交易获得差价和利润,以及代客交易获得一定比例的经纪手续费,即佣金收益;兼并和收购业务。券商为兼并或收购的双方牵线搭桥,提供价格咨询或融资服务;基金管理业务。券商既可作为基金发起人或作为基金管理人,也可作为基金承销人;风险投资业务。在高科技风险投资中,一些公司希望得到券商的资金支持,作为回报,券商在公司投资成功后可获可观的利润,同时也承担亏损风险;咨询服务业务。一些规模较大的证券公司在人才信息、技术方面拥有优势,可在一、二级市场的业务中接受发行人及交易双方的各类咨询,提供基本面和技术面的分析研究。
3.证券发行方式和发行价格
(1)股票的发行。股票发行方式分为公开发行和内部发行。前者委托中介商代理,发行人与中介商共同依据证券法规合理确定有效认股人和认股数量,在此基础上,协商确定发行价格,公开、公平和公正地解决供求矛盾,发行方式分为包销、代销和联合发行。包销根据发行责任大小又可分为全额、定额和余额三种包销。全额包销是券商先全部认购所发行的新股,再组织销售,承担风险最大,发行手续费也最高。对发行人而言,发行人无任何风险就能筹措到全部资金,虽成本较高,但方便快捷。定额发行是券商只承担相应比例的股票发行额度,一般适用于发行人并非要求资金一步到位,也意味着该股紧俏好销。余额包销是券商承诺接受所有发行剩余股票,风险较大,尤其在市场低迷时,这也是券商显示自己资金实力与信心的方法,发行人同样无后顾之忧。代销是券商代理销售,对剩余股票不承担任何责任与风险。自然,发行手续费最低,也是券商对该品种看淡的一种表示。法律规定代销或包销期最长不得超过90天,否则双方协议失效。联合发行是适用于发行数量特别巨大的证券,由一家券商为主承销商,联合数家机构共同完成发行任务,发行风险共同分担,发行费用共同分摊,这种辛迪加式的方式,其内部的管理协调十分重要,否则会引起混乱。
在我国,发行方式确定后,具体推销办法仍有很大的差别,尤其是在新股供不应求的前提下,其主要方式有无限量发行认购证、认购储蓄存款单、全额缴款再比例配售余款退回,以及定价或竞价上网发行等。这些发行形式各有千秋,但是最受发行人及投资者欢迎的大概可以算是上网定价发行,它比较符合相对平等、经济、安全且股权分散的要求。上网定价发行是指主承销商利用证交所交易系统,作为新股的唯一卖方,以无数申购者为买方,在指定的时间,按指定的价格和数量限定范围内上网申购。交易系统处理申购原则是:
①当有效申购总量等于该股票发行量时,申购人就按其申购量认购。
②当有效申购总量小于该股票发行量时,申购人按实际申购量认购,余额部分按承销协议办理。
③当有效申购总量大于该股票发行量时,由证交所按每1000股确定一申报号,连续排队再摇号抽签确定最终认购人。申购款项在第四个交易日后解冻。
新股发行价的确定关系筹资方、投资方和中介商三方利益,是发行成败的关键,《证券法》规定发行价应高于股票面值,溢价发行无上限,由发行人与承销商协商决定。目前新股发行价基本依据平均每股税后利润乘以发行市盈率确定。公司总股本包括发行前总股本和本次发行量。新股发行价一般以发行当年预测税后利润乘以市盈率作为分子,分母是发行前总股本加上发行总股本。而发行总股本应加权考虑,即发行总股本乘以实际发行月份在全年中的比重,这种方法会产生某些不公,即实际发行月份越少,发行价就越高,发行人募得资金就越多,故发行人愿意将发行股票安排在下半年或年末进行,这是投资者应予以注意的。市盈率是市价与每股净利比较的结果。在新股发行前,市盈率的分子无法得出。因此,发行市盈率只能是由发行人同券商依据市场供求、公司业绩和同行业水平等综合因素确定,尤其是应考虑一、二级市场的平衡衔接,避免反差过大引发过度投机与市场动荡。可以说,新股发行价是因公司而异、因市场而异和因时间而异的,它取决于多种因素的合力。一般讲,优质股票发行市盈率可适当提高,以增加发行人的收益;反之,应降低发行市盈率,避免推销不出去的尴尬。
(2)债券的发行。债券发行方式较为简单,类似于股票,一般都公开销售,卖完为止,故此处略而不叙。债券发行价格取决于多种因素,如发行额度、票面利率、偿还期限等,其中票面利率是关键,因它是事先确定的,一些事后影响的因素则要通过发行价格的调整来表现,以改变市场上要么抢购要么滞销的情况。发行价格相对于其面值,有平价发行,溢价发行和折价发行。
平价发行即发行价格等于债券票面价格。
溢价发行即发行价格高于面值,投资者的实际收益率要低于债券的票面利率。其发行公式为:
溢价发行价格=(票面额+利息)/1+市场利率×年限
如某公司发行一债券,面值1 000元,票面利率5%,期限3年。在即将推向市场时,市场利率下调,也就是市场同期债券均以4%的年利率发行,求该公司如何调整其发行价?套用公式1 000× (1+5%×3)/1+4%×3,该公司调整发行价格为1 026.79元,这表示公司以高出面值26.79元的价格出售这张1 000元的债券,那么投资者的年收益率降为4%,这并不影响他们的购买热情,因为这与整个市场利率大致相同。当然,公司还可在此基础上去除0.79元尾数,使年收益率略高于同期利率,这样,既能加快发行进程,又及时完成发行任务,及时适应了变化的市场利率。
折价发行是公司用降低发行价的方法来让利于投资者,以调整与市场利率的差别,折价越多,意味着投资者获得越多,折价越小,收益率也越小。这主要用于债券票面利率已定,而市场利率上升之时。如:某公司发行一债券,面值1 000元,票面利率4%,期限5年。在即将发行时,同期市场利率上升到5%,求调整后的发行价?
折价公式与溢价公式相同,套用公式得知该债券发行价调整为960元,投资者的年收益率即上升到5%,这40元的差价是公司让利给投资者用以提高年收益率的。
贴现发行即贴水发行,发行人按债券面值扣除部分金额后,以余额发行,到期按面值兑付。这扣除部分就是投资者的利息。这种发行方式使发行人省去届时支付利息的费用和手续,而投资者又等于事先就得到了利息收益。贴现发行虽然也低于面值发行,与折价发行相似,但性质完全不同。贴现发行的债券可以没有票面利率。根据单利计算及复利计息,债券贴现发行价格有两种计算方式:
单利发行价=票面额×(1-年利率×待偿年限)
复利发行价=票面额/(1+年收益率)年限
这两个公式中,年利率不同于年收益率,年利率即票面利率,可看成是在贴现发行下的年贴现率,而年收益率则是投资者在购买贴现债券时的实际年收益率,显然,它应该大于年利率。
如:某公司发行一无票面利率的债券,面值1 000元,期限6个月,年贴现率为8%,求该债券贴现发行价?
在我国,债券一般均是到期一次还本付息,故我们采用单利计息公式计算。如1年以上需采用复利计息,会指明要求。套用单利公式得贴现发行价为960元,6个月后按票面额兑付。
如:某公司发行2年期债券,面额1 000元,票面利率为5%,求其贴现发行价及年收益率?
先采用单利公式,方便地得出贴现发行价为900元。即发行人已将2年利息100元一次先付给了投资者。投资者以900元成本就得到这张千元债券。此时,这5%就是年贴现率。
然后我们再求该债券的年收益率。由复利公式着手:

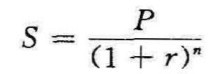
整理公式,推导出年收益率r:

在此公式中,S为贴现发行价,P为票面额,r为年收益率,n为期限。将已知数值代入公式,r=5.41%。这年收益率是采用复利公式计算得出的。如果采用单利公式计算,那年收益率应该大于5.41%,但不能从上述单利贴现发行公式中推导得出,因为式中无年收益率,所以得另外给出计算单利的年收益率公式:

将已知数值代入公式,单利年收益率等于5.55%,这表明这张票面利率为5%的债券以900元的贴现价格发行,其年收益率根据不同的计息方法,可得到不同的结果。贴现发行价格确定后,其年收益率无论是单利计息还是复利计息都与票面年利率是两个完全不同的概念,不可混淆。如此案例中,给出贴现发行价,要求解票面利率,也是很容易得出的。
我国的国债发行一直采取对公众募集的公募法,而1999年新增的600亿元国债则采取承受法。它与公募法不同,用银行或国家的特别基金承受购买政府发行的全部国债,它为西方国家普遍采用。间接公募法和承受法的实质区别是国债持有者的主体不同,前者是个人(包括个人、非商业银行),后者是银行(指商业银行)。两者的目的不同,银行持有主要是为了投放多余资金,抵充储蓄,并可扩大信用。个人持有主要是为了储蓄。在发达国家国债持有结构中,金融机构占有相当显著的份额,如美国为50%,德国为60%,英国为80%,这些国家商业银行所持有的国债大约占有其资产总额的10%左右。