其他技术指标的应用与分析
从K线图和移动平均线衍生而出的技术指标越来越多,有些指标本身也不够稳定,可信度较低。这里主要介绍几个常用的,为投资者熟悉、可靠的技术指标。在考虑这些技术指标给予的买入或卖出信号时,还应依据自身操作特点经验,结合基本面分析,综合比较进行决策。否则,仅依赖技术分析指标信号,则难免会在证券市场的操作中遭受损失。
1.市盈率指标
市盈率指标又称市价盈利率,即股价与每股盈利之比。通常人们采用的计算方法是用股票价格除以上年度每股税后盈利(加权),其单位为倍。市盈率指标最低为零,没有负数。公司盈利水平如接近于零,其市盈率指标就会出现数千倍的情况。这一指标综合了投资成本与投资收益两个方面,是人们分析判断股市的一个重要指标,也是股市中最为常见的概念之一。市盈率倍数也是相对数值,表明以股票的市价与每股的盈利相比,要大多少倍。因此,市盈率指标又可称为本益比指标。上年度每股盈利采用公司上一年度财务报告中所公布的税后利润总额平均分摊到公司的总股本上计算,由于公司每年都可能会出现增资扩股、股本结构发生变动的情况,在计算税后利润时,一般采用加权方式:
上年度每股税后利润=上年度税后利润总额/加权股本

例如:某公司上年度总股本共为29 137万股,在上年度10月末以10送1股扩股,那么,用加权股本公式计算得出的总股本为:

如果该公司上年度税后利润总额为9 590.2万元,那么该股的税后利润即为0.31元,当该股市价为7.32元时,其市盈率为23倍。从以上计算得知,市盈率指标是个变量,因为市价是在变动的,而税后利润却是不变的。如果市盈率趋高,表明该股价上升,投资者看好该股,这是一方面;另一方面,市盈率高,也可能是该股上年度税后利润偏低,例如某一上市公司,其股票市盈率指标竟然高达1 255倍,而其市价只不过3元左右,其每股税后利润可想是多么的微不足道了。
对市盈率指标需作进一步分析,切不可仅以市盈率的高低作为投资决策的依据。因为,每年第一季度公司公布的上一年度财务报告和全年经营业绩,并不完全反映公司今年的情况和以后的发展潜力,因为它对公司情况的反映有一定的滞后性。比如,公司去年曾花费巨资开发新产品或投资于基础设施的改造装修,从而影响了部分生产经营,反映在公司年度财务报告中的税后利润总额会有所下降,使市盈率指标偏高。如果仅以此来认定股票的优劣,则是不全面的。因为去年的投资可以使今年利润上一台阶,这种情况并不反映在去年的市盈率中。还有,公司在年初增资扩股,如果大量配股资金到位,并且当年形成效益,那么股本的扩大,未必会使市盈率有很大幅度提高;但是,如果资金当年没有到位,或者到位了,效益却要在下一年度产生,因为总股本的扩大,必然会造成市盈率的大幅上升。这样的市盈率显然不能反映公司今年的情况和它的发展潜力,所以不能仅仅根据市盈率指标的高低作为投资决策的依据。
公司为了向投资者提供更多的信息资料,除了编制以上年度税后利润为依据的市盈率指标外,还编制以当年预计的税后利润为依据的市盈率指标,供投资者进行分析比较。前一指标称为市盈率Ⅰ,后一指标称为市盈率Ⅱ,但必须指出的是,市盈率Ⅱ仅是一种预测而已,实际上难免有夸大其词,误导投资者之嫌,与明年实际数据大相径庭的比比皆是,但却不承担法律上的责任,投资者对这类指标要有相当谨慎的态度。
从构成市盈率指标的两大因素来分析,人们购入市盈率指标很高的股票,所承担的风险主要是:这些股票日后因市场价格始终低于成本价格而无法获得股票增值的收益,投资者只能通过每年的分红派息(如果有的话)逐年收回成本。如投资于上述那家市盈率为1 255倍的股票,投资者只能等待该公司1 255年的股息红利来收回当初的投资。这显然是不可能的,但却足以说明投资者购入高市盈率股票风险的现实性。当然,市盈率越低,投资者收回成本的期限越短,其风险也就相对越小。
用市盈率的倍数乘以每股的税后利润等于其市价,这也代表了市场对这一股票所公认的价值,意味着投资者愿意花费超过每股盈利多少倍的货币购得这一股票。事实上,公司的税后利润也并非全部分配给投资者,股东最终到手的股息红利仅仅是利润中的一部分,甚至是一小部分。税后利润要经过层层必要的扣除,如须扣除公司法定盈余公积金、公司法定盈余公益金、任意公积金以及上年度如果有的亏损额等,这就是说,投资者收回成本的倍数(年数)比使用连锁反应的还要大得多。那么,市盈率为多少才算是较为合适或具有投资价值呢?这并没有一个确定的数值,国际证券市场市盈率一般为10~20倍左右,人们通常采用商业银行存款利率的倒数来衡量市盈率指标的合理性,例如我国目前商业银行定期存款利率大致在2%~3%之间,其倒数即是33~50倍之间,利率越是降低,其倒数区间越是向上扩展,这意味着存款或购买股票33~50年就可使本金翻一番。那么,如股东被告知要等上千年才有可能收回投资,又会有谁对此感兴趣?必须指出的是,这里仅就股票的投资价值而言,并未涉及和考虑股票本身的增值潜力和投机收益等因素。
市盈率与股价一样,是一个不断变化着的动态指标,投资者需要看某股票一段时间、甚至连续数年的市盈率指标,才能得出比较正确的结论。一般来说,市盈率越低,越有吸引力。因为股价偏低,日后的上升空间很大,但同时它也表明,投资者看淡该股票,不愿对其投入资金,或者说,是对其前景比较悲观。这样的股票,便宜是便宜了,但也许就长期在低价位运行,尽管下跌的绝对值也许微不足道,可相对值还是不可小觑;反之,市盈率很高,股票供不应求,价位节节上涨,投资者纷纷追涨购买,这固然反映该股票受欢迎被追捧,人们对其抱乐观态度,同时也意味着其上升空间越来越小,高处不胜寒,下跌的可能性逐渐加大,这在一片看涨的气氛中往往容易被忽视。上海的股票就有因为过分乐观,而使其市值超过票面额100多倍的罕见事例,这种股票一旦下跌,其损失之惨重也是毋庸置疑的。鉴于我国目前商业银行存款利率在2%~3%之间,市盈率大约在30~50倍左右较为合适,但也有市盈率在5倍以下和上千倍以上的股票。当然,在运用市盈率指标分析时,需将该工具摆在恰当的位置,既不可过分迷信,又不能完全置之不理,要从各方面综合判断,结合成交量、消息面、政策面等进行综合分析。
在分析了市盈率指标后,还可将股价比盈利的指标颠倒为盈利水平作分子,股价作分母,该指标被称之为盈利收益率指标。在计算债券收益率的时候,总是将债券的利息收益(盈利)与投资的成本(价格)作一比较,分子大,收益率就高;分母大,收益率就低;该指标也反映了投资者从普通股票中所得到的总收益程度,它有助于人们与债券的到期收益率作横向比较,看看哪方面更好些。
2.乖离率指标(BIAS)
在介绍移动均线八大法则时,曾提到其中第四、第八两点,当股价远离均线时,即出现暴涨或暴跌行情,可作为卖出或买入的信号。但该法则没有介绍具体的判断方法,也就是说,该方法并未说明股价高达多少才是卖出信号,股价要跌入均线多深才是买入信号。一般仅凭经验估计难免会出差错。乖离率指标提供了回答这个问题的依据。乖离率又称Y值,是移动平均线原理衍生出的一项技术指标,其功能主要是通过测算股价在运行中与移动均线出现偏离的程度,从而得出股价在剧烈震荡中因偏离移动均线趋势而造成可能的反弹或回档,以及股价在允许的范围内波动而形成继续原有轨迹的程度。其公式为:
BIAS=(C-MA)/MA
式中,
BIAS表示为乖离率指标,是以百分比表示的相对指标;
C表示为当日收盘价;
MA表示以一定基期日为标准的移动均线。
该公式以每日收盘价与均值的差再与均值相比而得。当收盘价C小于均值,乖离率就会呈现负值,当股价在移动均线上方时,乖离率为正值,当股价和均线相一致时,乖离率为零。经验表明,人们以基期10天(两周交易日)为分析基础,当乖离率为5%时,可认为是进入了超买区域,即得出卖出信号;反之,该数据值为负4.5%时,可认为进入了超卖区域。需指出的是,该数据与采用的基期天数密切相关,基期天数越多,其数据区域也就越宽;反之就越窄。随着股价走势的强弱与高低变化,乖离率也周而复始地穿梭于零点的上方和下方,显示其一定的预测功能。但这种预测判断功能,要以行情平稳运行为基础,如遇消息面的刺激,基本因素突然发生变化,市场出现飙升或暴跌行情,那乖离率也就不一定灵验。它会出现一些虚假信号,误导投资者的正常判断,比如指标进入超买区域后继续高攀不下;反之,又会在超卖区域仍一味下行。
利用乖离率分析还可以与股价曲线的背离现象结合来作判断。如股价创出新高,而乖离率的高点却在下移,这也是一个获利回吐的信号,提示人们卖出;反之,股价未创新高,而乖离率却反而升高,同样提示人们卖出。如股价连创新低,逐波下移,而乖离率反而底部抬高,这是买入信号。如股价没有进一步下跌,而乖离率倒出现新低,这也表达了同样的买入信息。
3.平滑异同移动平均线(MACD)
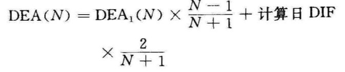
平滑异同移动平均线是为了弥补移动均线频繁发出买入或卖出信号而设计的一种技术分析法。当行情处于上升时,股价的短期移动均线上升速度快,而长期移动均线上升速度慢,久而久之,两者之间的离差会越来越大,如股价出现反转下跌,两条线就会相互交叉;反之也一样。MACD就是运用快速(短期均线)与慢速(长期均线)两条移动平均线的离差情况来分析和判断买进与卖出时机掌握的技术指标。其基本原理是利用这种离差情况(DIF)的数日平均计算出离差平均值(DEA),经过双重平滑运算,较为正确地判断买卖信号。
MACD由正负差(DIF)和离差平均值,亦称异同平均值(DEA)的两部分组成,DIF是主要指标,DEA则是辅助指标。DIF是快速移动均线与慢速移动均线的差值,快速移动均线一般采用12天数据计算,称为快速EMA,慢速移动均线一般采用26天数据计算,称为慢速EMA。
DIF计算公式为:
DIF=快速EMA -慢速EMA
=EMA (12)-EMA (26)
计算N日的平滑移动平均值EMA(N)公式为:

式中,
EMA1(N)为计算日前一日的N日EMA,
最初值取前一日的N日移动平均值(MA)代替,
N为天数;
C为计算日收盘价。
计算N日平滑移动离差平均值(DEA)公式为:

式中,
DEA1(N)为计算日前一日的N日DEA。
最初值取前一日的DIF值代替;
N为天数,一般选用9天;
DEA是DIF的移动平均,主要是为了消除偶然因素,使结果更为合理可靠。
运用MACD进行行情预测分析,可从两个方面展开:
从DIF和DEA的所得数据中分析,如两者均为正值,可认为是上升行情信号,尤其在DIF向上突破DEA,把握较大,如DIF往下跌破DEA,可认为是一种回档,即卖出信号。如两者均为负值,可认为是下跌行情信号,尤其是在DIF向下突破DEA,更是给出了卖出信号,而DIF向上突破DEA只能视为反弹。如两者走势与股价背离,则应引起关注,这是股价将要反转的信号。如股价K线图显示一浪高过一浪的头部,而MACD却出现逐级下调的阶梯状,这种被称为顶背驰的现象,意味着股价将会下跌,应警惕可卖出;相反,如K线图显示一波低于一波,同时,MACD却出现逐级趋高事态,这种被称为底背驰的现象,则意味着股价即将上扬,曙光在前,可提前买入。MACD能够消除MA产生的频繁出现的买卖信号,但是在股市处于牛皮盘整阶段,MACD也难免失去方向,提供错误信息。
4.相对强弱指标
相对强弱指标(RSI)主要通过一段时间内的平均收盘涨数和平均收盘跌数来分析衡量市场中买卖双方力量对比的数值指标。通过该指标可以反映证券供求双方力量的变化,从而可对证券走势做出大体正确的判断。
一般来说,证券交易的当日收盘价与上一交易日收盘价之间的差额可反映当日市场中证券的供给力量或需求力量。在一段时期中,证券市场当日收盘价与上一收盘价之间的涨幅总额或跌幅总额可代表该段时期内市场的买方力量和卖方力量。两者之间的力量比较就是相对强弱指标,因此,该指标又称力度指标。市场上多空双方气势的强弱可以通过RSI反映出来,它提供给投资者的是股价指数或某个股在何时何区域太强或太弱的信号,以引起投资者的警觉。这种多空双方的数量在图形上的体现,可以使投资者根据行情变动的轨迹来判断未来价格的走势。RSI计算简单,具有一定的参考价值,其运用的广泛性仅次于移动平均线。
相对强弱指标计算方法:
先求出相对强度值(RS)指标值。
RS=N日内收盘价涨幅平均值÷N日内收盘价跌幅平均值
例如,某股采用N日为10天,平均值单位是分,当然亦可是元或点。第一天收盘价与前一收盘价相比,涨了8分,第二天收盘价比前一收盘价涨了5分,依次类推得出下列数据:
一 二 三 四 五 六 七 八 九 十 十一
8 5 8 8 ﹣3 ﹣10 ﹣5 ﹣15 ﹣7 9 10
先将这10天涨的数据相加,再除以10,得出10天内收盘价涨幅的平均值为:
(8+5 +8+8+9)/10=3.8
再求出10天内收盘价跌幅的平均值为:
(3+10+5+15+7)/10=4
则 RS=3.8/4=0.95
求出RS值以后,就可以计算RSI指标,其公式为:RSI=100-100/1+RS
将RS值代入公式,得出RSI值为48.72,这就是第10天的RSI数据。以后即可采用滚动前进的计算方式,去掉最前面的旧数据,加上后面最新的数据,得到以后每个营业交易日的RSI数值,并将这些数据在图表上依次标出,相连成线,就完成了RSI曲线图的绘制。
RSI还有第二种计算方法,其公式为:
RSI=

仍以上述数据为例
第十天RSI
第十一天RSI
两种RSI的计算方法,运用公式不同,答案可能会有所差异,但只要固定使用一种方法,对分析行情走势没有影响。RSI值的活动范围在0~100之间,其常态分布区域集中在30~70之间,人们把低于20的区域为超卖区,高于80的区域为超买区,RSI曲线就是每日RSI数值的连接,它一般领先于股价上升或下跌。
RSI是以基期日内涨幅与跌幅数据之间的对比来分析研判的,如RSI值为50,说明多空双方势均力敌,旗鼓相当。如RSI值大于50,表示多方力量强于空方,买方需求旺盛;反之,如RSI值小于50,说明股票供过于求,股价滑落,出现超卖现象。RSI数值越高,其获利回吐的压力也越大,RSI数值越小,其反弹可能性和力度也就越大。RSI数据可根据盘面分析确立买卖双方力量的强弱,但反转信号一般较弱,易受干扰。如果RSI进入超买区域大于80,行情仍有可能继续上升;反之,RSI跌入超卖区域小于20,行情也仍有可能继续向下寻找支撑,在底部匍匐爬行。所以,在使用这一指标时,也需综合考虑各种因素。一般来说,RSI等于100,则说明连续N个交易日收盘价一个高过一个;反之,RSI等于零,则说明在连续N个交易日中收盘价一个比一个低。RSI大于80,表明行情即将近于尾声;小于20,则说明市场处于黎明前的黑暗,行情即将启动。
需要说明的是,无论是超买还是超卖,RSI数值与曲线的关系也仅仅是提供一个信号,是否要采取行动,还需结合其他情况,才能提高准确度。股市走势犹如人的跑步,一般人最多可坚持10 000米,当他跑了8 000米时,可以认为他的力量快要用尽了,但对一位马拉松运动员来讲,10 000米仅仅是开始。在这个意义上,对于某些特大行情,RSI达到80并不说明什么,它完全可能站在90以上,并持续一段相当长的时间;反之也一样。
5.随机指标随机指标(KDJ)也称KD线预测法,主要通过研究最近数日的最高价、最低价与现时收盘价的价格波幅,推算出行情涨跌的强弱势头和超买、超卖现象,从而找出买点与卖点。与其他指标相比, KD线既考虑了一段时间内最高价与最低价的变动,又融合了移动平均线速度上的观念,形成了相当准确的买卖信号依据,因此, KD线成为风险性、波动性较大的市场敏感性指标工具,在中、短期技术分析中,有一定的功能。
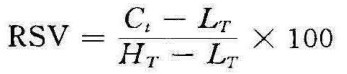
KD线根据一定期限内最高价与最低价间的差价和当日收盘价之间的关系,先求出一个未成熟随机值(RSV),然后再依据平滑移动平均线的方法来分别计算K值,再将K值平滑移动得出D值。在图形上可表示为两条不同颜色的波动曲线,它们有时相交,有时分离。KD值与均线相比有较大进步,或者说合理性较大,因为均线在习惯上只以收盘价来作为计算依据,无法显示一定时期内行情实际的波动轨迹。例如,1994年10月上旬一个交易日,上海证券交易所的股价综合指数在上午暴跌百余点后,下午却飙升二百余点,这在均线显示的总趋势图形上是根本无法表达出最高价和最低价的。投资者意识到这是一个缺陷,想方设法进行修正。KD线的发明即弥补了这一缺陷,成为短期投机的有效工具。
未成熟随机值(RSV)计算公式为:

式中,
Ct表示第t日收盘收盘价;
LT表示T日内最低价;
HT表示T日内最高价。
RSV值始终在1~100间波动。然后,计算KD值。

式中,
KtDt表示当日K值及D值;
Kt-1、Dt-1表示前一交易日K值及D值。
在此计算中,如果没有前一交易日K值和D值,也可分别采用50来代替,因为这是一个中间值,不带任何偏向。经过长期的平滑运算之后,采用50代替而产生的差异将会越来越小,从而趋于一致。如果利用股价综合指数来表达最高价、最低价和收盘价,也就可得出整个股市的KD值。把每天得到的KD值用两种不同颜色的笔在纸上分别点出,再依次连接起来,就形成了两条曲线,这就是所谓的KD线。绘制KD线关键是每天的数据要准确无误并不能间断。一般可在股价K线图的下方对应绘制出KD线。顺便提及的是,K线图中的K与KD线中的K是两个完全不同的概念,切勿混淆。
绘制KD线的目的是为了分析运用,一般把K线称为快线,把D线称为慢线,因为D线是K线的再度平滑运算,所以D线表现的波动振幅相对较小。KD线可选用不同的周期,但因为它本身即为一短期波幅指标,选用过长的周期则失去了参考意义。应用KD线指标研判,有以下几种功能:
K值在80以上,D值在70以上为超买的一般标准。
K值在20以下,D值在30以下为超卖的一般标准。
K线发生倾斜度趋于平缓时,是一信号,应提防随时发生行情反转。
K值由小到大超过D值时,表明当前是一种向上涨升的趋势,K值此时应从下往上突破D值,KD交叉是买入信号;反之,当K值由大到小低于D值时,表明目前趋势基本向下,所以K线从上向下跌破D线是卖出信号。
需要注意的是,只有当KD处于20以下区域交叉向上时,买入信号才较为准确,因为此时市场正处于超卖环境;反之,当KD处于80以上区域交叉向下时,其卖出信号才较为准确,因为此时市场正处于超买环境。KD值在50左右交叉时为牛皮盘局,投资者应以观望为主。若K线或D线与市价之间出现明显背离现象,亦是非常有效的买卖时机。在使用KD线指标分析时,为避免K值小于20时行情只作反抽又继续下跌,或K值大于80时行情又毫不理会继续上攀等情况发生,还应配合其他图形、指标来一起分析,顺势而为。
作为KD值的一个附加值,J值也是进行KD值分析的辅助指标,其计算公式为:
J值=3D-2K
J值的实质是反映D和D与K的差值,利用求出KD值的最大乖离程度,以期领先K值与D值找出头部与底部。J值大于100为超买,J值小于10为超卖。
KDJ线不仅可用于日线图上,也可用于分时图或周线图,短、中、长线均可采用。KDJ准确率相对较高,且有明显的买卖点出现,但KD线交叉时须注意虚假的骗线现象,因KDJ过于敏感,易被操纵。
6.威廉指标
威廉指标(WMS%或%R)与随机指数的概念类似,也表示当日的收市价格在过去的一定时间内全部价格范围中的相对位置。把这段时间内的最高价减去当日收市价,再把其差价除以这段日子的全部价格范围就得出当日威廉指标数据。百分比符号表示市场处于超买还是超卖状态。
威廉指标的计算方法首先是要决定周期日数,一般将它与市场上的主要周期联系起来,常用时间跨度为周期长度的1/2,与按日历计算的周期长度14天(10个交易日),28天(20个交易日)和56天(40个交易日)相对应的时间跨度分别为5、10、20天不等,20个交易日是个较为重要的市场周期,所以威廉指标采用的周期日数一般取10日或20日。要使威廉指标产生较佳的指导效果,这个时间参数很重要,它能较准确地反映价格的波动周期,威廉指标的有效性也会大大增加。如以5日、6日为参数的结果明显较差,因为以这样短的日期将会产生过多的买卖信号,从而使交易次数、成本增加,风险也随机加大。但威廉指标参数也不宜太大,参数一旦采用20天以上,其效果也明显下降,因为其给出的信号过于迟钝。如前所述,技术分析的前提之一是假定价格的变化有一定的惯性,一旦价格走强或走弱,就会持续一段时间,如时间参数过大,发出信号时,一段上升或下跌行情已接近尾声,无法取得预期的预警效果。
以10日威廉指标为例,其计算方法为:

式中,
HT表示T日内最高价;
LT表示T日内最低价;
Ct表示第t日收盘价。
%R数值与KD数值一样是介于0~100之间,当%R值=50时表示多空力量均衡;%R值大于50,进入下跌行情;%R值小于50,则进入上升行情。当%R值在0%~20%之间时,表示市场处于超卖状态,行情趋势即将见底;反之,%R值在80%~100%之间时,则表明市场处于超买状态,行情即将见顶。当%R值由下向上穿破中轴50%时,或由上向下跌破中轴50%时,基本可认定市场涨势或跌势,投资者可择机买卖。当%R值进入超买或超卖区域,并非表示行情一定会发生变化,其数据也仅是一种预测。一般来说,%R值买入信号处于上升趋势中才更灵验,而%R值卖出信号则处于下降通道时才更有效。
%R值数据指标的敏感性决定它是着重分析市场短期走势的技术工具,但是首先要确定市场一般趋势,当市场处于横向延伸状态时,%R指标的功效会更出色,而市场价格突变时%R指标效用就不大,只有在这种趋势成熟时,再密切注意%R信号。市场常有超买后再超买、超卖后再超卖的现象,因此人们最好配合使用其他指标,如相对强弱指标等,以发挥技术分析工具的互补作用。