2.5 基于促进剂的时间活性膜P系统通用性证明
下面,通过模拟注册机证明基于促进剂的时间活性膜P系统是计算通用的,即计算能力与图灵机等价或不低于图灵机。
定理2.3:![]()
证明:注册机的指令包括加法指令、减法指令以及终止指令,证明过程主要是对加法指令和减法指令进行模拟。
表示基于促进剂的时间活性膜P系统产生的自然数集合族,其中m表示初始膜数量,f表示时间无关。对于注册机M=(m,H,l 0,l h,I),假设其带有3个注册器,产生的数存储在注册器1中。另外,假定注册器1中没有加法指令,并且当计算结束时,除注册器1外,另外两个注册器均为空。系统构造如下:

系统在时间无关模式下工作,设e是规则集合I到自然数的任意时间映射。注册机中每个注册器r对应一个膜标签为r的膜,膜r中对象a的数量就是相应注册器内的值。下面将构造规则集合R。
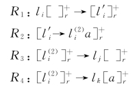
(1)对于每条加法指令l i:(ADD(r),l j,l k),r=1、2、3,指令集合构造如下:
(https://www.daowen.com)
下面模拟加法指令l i。系统在某一步应用规则R 1,对象l i进入相应的膜r中,并进化为对象
。随着对象
在膜r中出现,规则R 2将被应用,将会在膜r中生成一份对象a,使得对象a的数量加1,从而实现了加法指令l i的要求。同时,对象
出现在膜r中。此时,系统非确定性地选择规则R 3和R 4,通过应用规则R 3(resp.,R 4),对象
被发送出膜r并进化为l j(resp.,l k)。需要注意的是,膜4中对象l j(resp.,l k)的出现独立于以上指令集合中所有规则的执行时间。
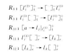
(2)对于每条减法指令l i:(SUB(r),l j,l k),r=1、2、3,指令集合I构造如下:


下面模拟减法指令li。系统在某一步应用规则R5,对象li进入相应的膜r中,并进化为对象
,然后执行规则R6将该对象送出所在的膜并进化为
,同时将该膜上的电荷从正变为负。下面可能会出现以下两种情况:
(1)当对减法指令li开始模拟时,在膜r中至少存在一个对象a。对于这种情况,当规则R6执行结束时,规则R7和R8同时开始执行。这时,由于对应膜r的膜上电荷为负,通过应用规则R7将一份对象a送出该膜,并将该膜上的电荷从负变为正。这样,一份对象a会在膜r中被消耗。另外,通过执行规则R8,对象
被送出膜4并进化为
,并将该膜的膜上电荷从正变为负。规则R8应用结束后,启动规则R9,对象
进入膜4并进化为
,将该膜的膜上电荷重新变为正。当对象
出现在膜4中,并且规则R7执行结束时,将
作为促进剂,在该促进剂的作用下,通过应用规则R10将对象a进化为lj,系统开始模拟指令lj。在该过程中,膜4中对象lj的出现独立于规则R7、R8、R9和R10的执行时间。
(2)当对减法指令li开始模拟时,膜r中不存在对象a。在这种情况下,规则R8和R9将先后开始执行,最终对象
出现在膜4中。此时,通过执行规则R11,对象
进入膜r中,进化为对象lk。当对象lk出现在膜r中时,规则R12开始执行,lk被送出膜r,并将该膜的膜上电荷重新变为正,系统开始模拟指令lk。膜4中对象lk的出现独立于规则R8、R9、R11和R12的执行时间。
因此,系统可以正确地模拟M中的加法指令和减法指令。最后,系统将停止计算,这时,对象lh出现在膜4中。系统即使在时间无关模式下工作,依然能够得到正确的结果,这样的系统具有较好的鲁棒性和容错性。
本章通过仅带两类电荷并且使用促进剂的时间活性膜P系统求解了SAT问题。如果将膜上的电荷去除,可以考虑该系统是否还能求解NP完全问题。另外,使用该膜系统求解PSPACE完全问题的计算效率还有待进一步研究。