3.2 膜上带蛋白的时间膜系统求解SAT问题
定理3.1:SAT问题可以通过一族膜上带蛋白的时间膜系统使用a、c、d,以及f类规则在多项式RS步内通过基本膜分裂以统一的方式解决。
证明:对于具有n个布尔变量和m个子句的公式,本章考虑命题公式γ=C 1∧C 2∧…∧Cm,其中,C j=y j,1∨…∨y j,pj,y j,i∈
≤k≤n},1≤j≤m,1≤i≤
是命题变量x k的否定形式。考虑多项式时间计算函数为g(n,k)=((n+k)(n+k+1)/2)+n。
![]()
再通过以下多重集对γ进行编码,其中1≤j≤m,1≤i≤n。

接下来,在时间无关模式下定义一族膜上带蛋白的识别P系统,该系统可以处理提供输入多重集cod(γ)的所有例子γ。对于给定的含有n个变量和m个子句的布尔公式,该识别P系统构造如下:
![]()
其中,O为字母表:

对象r j表示变量赋值使得子句j是可满足的,物质yes表示公式是可满足的,而物质no表示公式是不满足的。
P为蛋白质对象集:

蛋白质对象
表示变量xi的赋值为真(true),蛋白质对象
表示变量xi的赋值为假(false)。
另外,Σ={Yi,j,Ni,j,Bi,j|1≤i≤n,1≤j≤m}为在O内的输入字母表;μ=[[]2[]3]1为初始膜结构;w1=no,w2=a1,w3=λ是各个膜内的初始物质;z1=q0,z2=p1,z3=y1是各个膜上初始状态下的蛋白质对象;iin=2为输入膜,iout=0是保存最后计算结果的输出区域;R1,…,R3表示区域1、2、3中规则的有限集,包含以下三个阶段的规则。
(1)产生阶段:

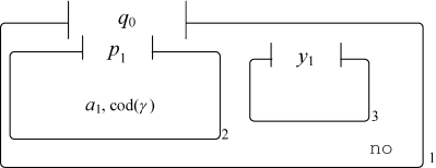
接下来,将给出系统详细的计算过程。通过计算过程可以看出该系统是如何工作的。设e是规则的执行时间。对于给定的含有n个变量和m个子句的布尔公式,设变量为xi,1≤i≤n。系统在初始状态下,膜1中含有对象no;膜2中含有对象a1,该对象对应于变量x1。另外,膜1上含有蛋白质q0;膜2上含有蛋白质p1;膜3上含有蛋白质y1。系统的初始格局如图3-1。

图3-1 系统的初始格局
1)产生阶段
一般地,膜标签为2的膜中对象ai对应于变量xi,1≤i≤n。第一步,系统开始运行,这时规则R1,1和R11同时开始执行。规则R1,1使用分裂规则,即在膜2上蛋白质p1的作用下,膜2分裂为两个具有相同膜标签的新膜。该膜分裂规则仅仅受到膜上蛋白质的控制,而不需要膜内物质的作用。同时,膜2上蛋白质p1进化为
和
后分别出现在新生成的膜上。其中,蛋白质
对应于变量x1的赋值为真,蛋白质
对应于变量x1的赋值为假。在该过程中,除了规则R1,1和R11之外,没有任何可以执行的规则,因此仅需一个RS步。当规则R1,1执行结束时,规则R2,1,1和R3,1,1同时开始执行。这些规则对应于寻找第一个子句中变量x1的赋值(真或假)满足的子句。应用规则R2,1,1(resp.,R3,1,1),如果膜内的输入多重集中存在对象Yi,j(resp.,Ni,j),膜内会生成对象rj,说明子句j中对于变量x1的赋值是可满足的;其他情况生成对象c。m个子句分别对应m条规则,每次只能执行一条规则。因此该过程循环执行R2,1,j(resp.,R3,1,j)中的规则。每执行一次规则,膜上蛋白质第二个下标的值就会加1。这样,当R2,1,j(resp.,R3,1,j)中所有规则执行结束时,膜上蛋白质第二个下标的值就会达到m+1。最终,在每个膜2中将生成来自集合{r1,r2,…,rm}中的一些对象(或没有任何对象)。
当R2,1,j中的所有规则执行结束时,对应膜上的蛋白质为
。这时,开始执行规则R4,1,膜上蛋白质
改变为
,同时对象a1被送出膜2。当规则R4,1执行结束时,对象a1出现在膜1中。这时,如果R3,1,j中的规则尚未执行结束,则后面的规则不能执行。当R3,1,j中的所有规则以及规则R4,1执行完毕,规则R5,1开始执行,对象a1进化为b1。同时,该膜对应的膜上蛋白质
也改变为
。当对象b1出现在膜1中,说明前面所有的规则已经执行结束。这时,应用规则R6,1,膜3上的蛋白质y1改变为
,同时对象b1进入膜3中并进化为a2。当膜3上出现蛋白质
,在该蛋白质的作用下就会执行R7,1启动分裂规则。这样,在新生成的膜中,每个膜上的蛋白质都会变为y2,而每个膜中都会有一份对象a2。因此,在膜3膜上蛋白质和膜内对象的共同作用下,规则R8,1开始执行,每个膜3中的一个对象a2被送出膜3。最后,规则R9,1开始执行,每个对象a2分别进入每一个膜标签为2的膜中,同时把这些膜上的蛋白质变为p2,为下一次分裂规则的应用,进入下一次循环计算过程做准备。
通过以上计算过程的分析可以看出,当变量xi的第一次循环计算执行结束时,每个具有膜标签为2的膜上蛋白质都为p2,膜2内都有一个对象a2。在膜上蛋白质p2的作用下,规则R1,2在每个膜2中同时开始执行并产生4个具有相同膜标签为2的新膜。以下用“当前变量”表示每次变量循环计算过程中正在执行的变量,其值对应着取值范围1≤i≤n中的某个值。后面的计算过程类似于变量x1第一次循环计算过程(即从规则R1,1到R9,1的执行过程):系统继续为变量x2赋值(真和假),可以获得当前变量赋值满足的所有子句。当变量xi的第二次循环执行结束,系统继续为其余变量赋值。类似地,每个变量持续不断地分裂,寻找满足当前变量赋值的所有子句。其中,对于规则R2,1,j和R3,1,j,寻找变量赋值是否满足子句的计算过程最多需要2m-1个RS步(规则R2,1,j和R3,1,j中的第一个规则同时开始执行)。当变量xi(1≤i≤n)的第二次循环执行结束,系统继续为变量x3,…,xn赋值(真和假)。类似地,对于变量xi的每次循环计算过程,寻找满足当前变量赋值的所有子句。由于系统在时间无关模式下工作,规则R2,i,j和R3,i,j可能在不同的RS步内执行结束,因此规则R4,i和R5,i起到解决规则同步问题的作用。这样,当对象bi出现在膜1中时,说明之前所有规则已经执行结束。这里需要注意的是,对于变量xi的每次循环计算过程,对象bi的数量和膜标签为3的膜的数量是相等的。因此,规则R6,i可以确保任何一个膜3中有且仅有一份对象bi进入膜内并进化为ai+1。通过规则R7,i使用分裂规则可以使膜3的数量实现翻倍。可以看出,此时对象ai+1的数量总是与膜标签为2的膜的数量是相等的。因此,规则R9,i可以确保任何一个膜1中都有且仅有一份对象ai进入膜2内。此外,由于P系统的极大并行性原理,对于膜标签为2的膜,规则R9,i同时开始执行并同时结束执行。应该指出的是,该系统以循环的方式执行上述过程,所有变量将被赋值并找出满足的子句,直到所有变量的循环计算过程执行结束。
总的来说,系统经过2mn+6n个RS步后,产生阶段执行结束。此时,在膜1中分别产生2n个膜标签为2和3的膜(见图3-2)。(https://www.daowen.com)

图32 产生阶段结束后的膜结构
2)检测阶段
当产生阶段结束时,每个膜标签为2的膜中存在着集合{r1,r2,…,rm}中的一些对象(或不存在这些对象)。这些对象表示相应的子句在对应变量赋值下是可满足的。如果膜2中存在对象r1,在该膜上蛋白质pn+1的作用下,通过使用规则R10,1,膜上蛋白质pn+1变为pn+2,对象r1保持不变。如果生成了pn+2,则说明该膜中存在对象r1。如果膜上生成了蛋白质pn+2,通过使用规则R10,2检查膜中是否存在对象r2。就这样,系统检测膜中是否存在对象r3,r4,…,rm。最后,如果一个膜2上出现蛋白质pn+m+1,则说明这个膜中所有变量的赋值对应着SAT问题的一个可满足解。
3)输出阶段
当检测阶段结束,将出现以下两种情况之一。
(1)肯定的答案:公式是可满足的。在这种情况下,至少有一个膜标签为2的膜上出现蛋白质pn+m+1,因此可以应用规则R12。通过使用这个规则,在膜2上蛋白质pn+m+1的作用下,对象an+1进化为物质yes,同时被送出膜2外。当规则R11和R12都执行结束时,通过使用规则R13,物质yes被送出膜1,并将该膜上的蛋白质从q1变为q2。最后,在膜1上蛋白质q2的作用下,物质no重新进入膜1。此时,系统计算停止,只有物质yes保留在环境中,说明至少存在一个可满足解。总的来说,输出阶段最多需要3个RS步,这个结果独立于规则的任何时间映射e。
(2)否定的答案:公式是不满足的。在这种情况下,当检测阶段执行结束,没有任何一个膜标签为2的膜上出现蛋白质pn+m+1。因此,规则R12、R13和R14将不会执行。最终,当系统停止时,对象no仍然在环境中,则该SAT问题没有可满足解。在这种情况下,该过程不需要RS步。
系统计算效率的理论分析如下。
对于具有n个变量和m个子句的SAT问题,构造
统一算法必需资源可表示如下:
(1)膜内对象集合O的数量:3mn+2n+m+4;
(2)膜上蛋白质集合P的数量:2mn+5n+m+5;
(3)初始物质的数量:2;
(4)膜上初始蛋白质的数量:3;
(5)初始膜的数量:3;
(6)规则总数:2mn+6n+m+4;
(7)规则最大长度:4。
对于膜上带蛋白的识别P系统在统一方式下求解SAT问题,对任意的时间映射e:R→N,系统将在确定的RS步后停止计算。最终,对象yes或no必然会在可行的时间内出现在环境中。因此,系统
是时间无关充分的和时间无关完备的。
如果公式γ是可满足的,则在最多2mn+6n+m+3个RS步后,P系统将停止工作;如果公式γ是不满足的,则在最多2mn+6n+m-1个RS步之后,P系统将停止工作。对于这两种情况,产生阶段的RS步最多均为2mn+6n个RS步;对于检测阶段,前者需要m个RS步,后者最多需要m-1个RS步(因为检测阶段的m条规则不可能全部执行);而对于输出阶段,前者需要3个RS步,后者不需要RS步。
在时间无关模式下,SAT问题可以通过一族膜上带蛋白的识别P系统在多项式RS步内解决。系统以极大并行的方式运行,并且膜上的蛋白质可以实现精确地控制规则的应用。因此,所构造的P系统在计算过程中有其自身的优势。
定理3.2:SAT∈PMCTPPM(4)
推论3.1:NP∪co-NP⊆PMCTPPM(4)
显而易见,SAT是NP完全问题。注意到在本小节的证明过程中,系统使用的进化规则的最大长度为4。系统在时间无关模式下工作,根据前面的定义以及证明,系统在多项式时间内给出了该问题的统一解,因此很容易得到PMCTPPM(4)。
文献[5]证明了通过一族膜上带蛋白的时间膜系统使用非基本膜分裂求解了SAT问题,系统中进化规则的最大长度为6。而本章使用基本膜分裂而没有使用非基本膜分裂,且系统中进化规则的最大长度从6减少为4,从而改进了文献[5]中的研究结果。