4.2 具有细胞分裂的类组织时间膜系统求解SAT问题
定理4.1:SAT问题可以通过一族基于细胞分裂的时间组织膜系统在多项式RS步内以统一的方式解决。
证明:对于具有n个布尔变量和m个子句的公式,考虑命题公式γ=C1∧C2∧…∧Cm,其中,
k≤n},1≤j≤m,1≤i≤
是命题变量xk的否定形式。
将例子γ按如下形式编码:
![]()
再通过以下多重集对γ进行编码,其中1≤i≤n,1≤j≤m:

接下来,在时间无关模式下定义一族识别类组织膜系统,这个系统可以处理提供输入多重集cod(γ)的所有例子γ。对于给定的含有n个变量和m个子句的布尔公式,该系统构造如下
![]()
其中,O为字母表:

其中,对象ti,j表示变量xi的赋值为真(true),对象fi,j表示变量xi的赋值为假(false);对象rj表示变量赋值使得子句j是可满足的;物质yes表示公式是可满足的,而物质no表示公式是不满足的;E为环境中存在的任意多份对象:

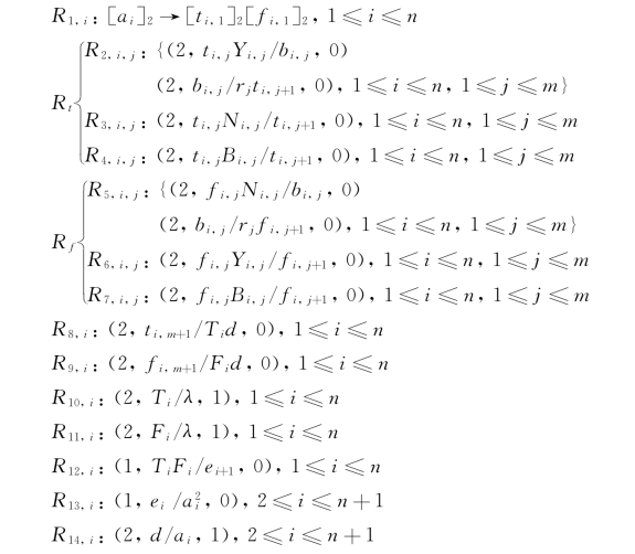
另外,Σ={Y i,j,N i,j,B i,j|1≤i≤n,1≤j≤m}为在O内的输入字母表;w 1={yes,no},w 2=a 1是各个细胞内初始物质;i in=2为输入细胞,i out=0是保存最后计算结果的输出区域;每条规则的执行时间通过时间映射e:R→N得到,其中R是包含以下规则的规则集。
(1)产生阶段:

(2)检测阶段:

(3)输出阶段:

![]()
该算法的计算过程分为以下几个阶段:
(1)产生阶段:通过分裂规则R1,i将细胞2分裂成两个新细胞,该过程循环执行直至所有可能的候选解都在这些细胞中产生,这样就能产生指数级的计算空间。最后,将产生2n个标签为2的细胞。规则集合Rt和Rf用于检查每个子句中当前变量xi(1≤i≤n)的赋值。从R8,i到R14,i的规则主要用于为变量xi的下一次循环计算做准备;
(2)检测阶段:系统检查公式是否存在一组变量的赋值,使得布尔公式的值为真。如果存在一组变量的赋值可以满足所有子句,则说明至少有一个可满足解,即该布尔公式是可满足的;否则,该布尔公式是不满足的。利用规则R15和R16,i检测出所有变量赋值满足的子句,并产生最终的检测结果;
(3)输出阶段:通过规则R17到R19,系统根据检测阶段的结果向环境中输出yes或者no作为计算结果。
接下来,将给出系统详细的计算过程。通过该计算过程可以看出,在有输入多重集cod(γ)的情况下,使用细胞分裂的类组织膜系统在时间无关模式下是如何工作的。
1)产生阶段
设e是规则的执行时间。对于给定的含有n个变量和m个子句的布尔公式,设变量为xi,1≤i≤n。一般地,细胞2中的对象ai对应于变量xi。系统在初始状态下,细胞1中含有物质yes、no;细胞2中含有对象a1和输入多重集cod(γ)。
第一步,系统开始运行,在标签为2的细胞中对象a1的作用下,应用分裂规则R1,1将细胞2分裂为两个具有相同标签的新细胞,同时,对象a1进化为t1,1和f1,1后分别出现在新生成的细胞中。其中,对象t1,1对应于变量x1的赋值为真,对象f1,1对应于变量x1的赋值为假。在第一步,除了应用规则R1,1之外,规则R17也开始执行。在规则R1,1和R17的执行期间,没有任何其他可以执行的规则,因此这个过程仅需一个RS步。
当规则R1,1执行结束时,规则R2,1,j和R5,1,j(1≤j≤m)同时开始执行。一般地,对象ti,1和fi,1对应于检查第一个子句中变量xi的赋值为真或假是否可满足。通过应用规则R2,1,j和R5,1,j中的第一条规则,如果细胞2中的对象t1,j和对象Y1,j(或者对象f1,j和对象N1,j)同时出现,那么规则R2,1,j和R 5,1,j(1≤j≤m)将被应用,多重集t 1,j Y 1,j(或者f 1,j N 1,j)被送出该细胞进入环境,同时环境中的对象b i,j进入细胞2。当规则R 2,1,j和R 5,1,j中的第一条规则执行结束,可以应用该规则中对应的第二条规则。通过使用该规则,细胞2中的对象b i,j被发送出细胞2,同时环境中的对象r j进入细胞2,生成的对象r j表示变量的赋值对应的子句是可满足的。如果细胞2中存在的是对象t 1,j(或者f 1,j)和其他对象,则不会产生对象r j,说明当前变量赋值对应的该子句是不满足的。m个子句分别对应m条规则,每次只能执行一条规则。因此通过循环的方式依次执行R 2,i,j、R 3,i,j和R 4,i,j(resp.、R 5,i,j、R 6,i,j和R 7,i,j)中的规则。每执行一次规则,对象t 1,j或者f 1,j的下标j值就会加1。这样,对于产生阶段每次循环计算过程,R t(resp.,R f)中的所有规则执行结束时,对象t 1,j(resp.,f 1,j)的下标j值就会达到m+1,即生成t 1,m+1(resp.,f 1,m+1)。当规则R 1,i执行结束后,规则R t(R 2,i,j,R 3,i,j,R 4,i,j)与R f(R 5,i,j,R 6,i,j,R 7,i,j)这两大类规则集合中各有一条规则是同时开始执行的,因此这两条同时开始执行的规则仅需一个RS步。此外,考虑规则R t和R f中的最大规则数目,即R 2,i,j和R 5,i,j。对于变量的每次循环计算过程,注意到在当前变量的某个子句中这两个规则不可能都同时执行(因为同一子句中的同一个变量只能是x i或者
)。因此,整个过程最多需要3m-1个RS步。
图4-1展示了n个变量的循环计算过程,上述规则产生的对象可以用二叉树中的结点表示。公式中每个变量在每次循环中相应的细胞都会分裂为两个细胞,这两个细胞中分别产生对象t i,m+1和f i,m+1对应二叉树的结点。因此每个结点对应变量的赋值true或false(左子树对应true,右子树对应false)。对于变量x i的每次循环计算过程,当规则R t(resp.,R f)中对应的规则全部执行结束时,在每个细胞2中会生成对象t i,m+1(resp.,f 1,m+1)。由于系统在时间无关模式下工作,对象t i,m+1和f 1,m+1并不是同时生成的。另外需要注意的是,对于每一次循环中每个包含对象t i,m+1(resp.,f i,m+1)的细胞,由于其中应用的规则是相同的,因此对象t i,m+1(resp.,f i,m+1)在每个细胞2中是同时生成的。这样,这些规则就能并行地同时执行。例如,对于图中变量x 3的循环计算过程,四个对象t 3,m+1(resp.,f 1,m+1)会在细胞2中同时产生。

图4-1 变量分裂过程
根据上述分析,规则R 8,1和R 9,1可能是从不同的RS步开始执行的。当生成对象t 1,m+1(resp.,f 1,m+1)时,应用规则R 8,1(resp.,R 9,1),环境中的对象多重集T 1d(resp.,F 1d)进入细胞2与对象t 1,m+1(resp.,f 1,m+1)进行交换。规则R 8,1(resp.,R 9,1)可以确保在具有标签2的每个细胞中只生成一个对象d。当在细胞2中生成对象T 1(resp.,F 1)时,规则R 10,1(resp.,R 11,1)开始执行,通过该规则可以将对象T 1(resp.,F 1)发送到细胞1。当规则R 10,1(resp.,R 11,1)执行结束,规则R 12,1开始启动执行。此时,在细胞1中存在多重集T 1 F 1,环境中的对象e 2进入细胞2与多重集T 1 F 1交换。随后,规则R 13,1开始执行,细胞1中的对象e 2发送出细胞进入环境,同时,两份对象a 2进入细胞1。最后,应用规则R 14,1,细胞2中的对象d和细胞1中的对象a 2进行交换。
因为系统在时间无关模式下工作,显然e(R t)+e(R 8,1)+e(R 10,1)可能不等于e(R f)+e(R 9,1)+e(R 11,1)。规则R 12,1可以解决系统在运行过程中的同步问题,当该规则执行结束,说明前面所有的规则已经执行结束。
当规则R 13,1执行结束,开始应用规则R 14,1,每个细胞2将同时获得一个对象a 2。由于P系统极大并行性的原理,规则R 14,1的应用在每个细胞2中是同时完成的。此规则的执行只需要一个RS步。最终,每个细胞2中包含一个对象a 2。此时,变量x i(1≤i≤n)的第一次循环计算过程(即从规则R 1,1到R 14,2的执行过程)执行结束,生成的对象a 2用于变量在下一次循环中使用细胞分裂规则。当规则R 14,1执行结束时,总的来说,该过程总共最多需要3m+7个RS步。(https://www.daowen.com)
变量x i的第一次循环执行计算过程结束,每个细胞2中包含一个对象a 2。在对象a 2的影响下,在每个细胞2中同时执行规则R 1,2。通过应用细胞分裂规则,生成标签为2的四个细胞。类似地,该系统以循环的方式执行上述过程,所有变量将被赋值并找出满足的子句,直到所有变量的循环计算过程执行结束。
从R 1,1到R 14,n的可用规则按以下顺序执行。
第一次循环计算过程中规则的执行:
{R 1,1}→{{{R 2,1,j,R 3,1,j,R 4,1,j}→{R 8,1}→{R 10,1}}(resp.,{R 5,1,j,R 6,1,j,R 7,1,j}→{R 9,1}→{R 11,1})}→{R 12,1}→{R 13,1}→{R 14,1}
第二次循环计算过程中规则的执行:
{R 1,2}→{{{R 2,2,j,R 3,2,j,R 4,2,j}→{R 8,2}→{R 10,2}}(resp.,{R 5,2,j,R 6,2,j,R 7,2,j}→{R 9,2}→{R 11,2})}→{R 12,2}→{R 13,2}→{R 14,2}
……
最后一次循环计算过程中规则的执行:
{R 1,n}→{{{R 2,n,j,R 3,n,j,R 4,n,j}→{R 8,n}→{R 10,n}}(resp.,{R 5,n,j,R 6,n,j,R 7,n,j}→{R 9,n}→{R 11,n})}→{R 12,n}→{R 13,n}→{R 14,n}
总的来说,系统经过3mn+7n个RS步后,产生阶段将结束执行。此时,生成2n个标签为2的细胞。
2)检测阶段
当对象a n+1出现在标签为2的细胞中时,说明产生阶段所有规则已经结束执行。注意到每个细胞中应用规则R 14,n时遵循极大并行性的原理,因此,每个细胞2中的对象a n+1将同时出现。当产生阶段结束执行,每个细胞2中存在着集合{r 1,r 2,…,r m}中的一些对象(或不存在这些对象)。这些对象表示相应的子句在对应的变量赋值下是可满足的。当细胞2中出现对象a n+1和对象r 1(如果该对象存在),通过使用规则R 15,对象r 1和对象a n+1进入环境,同时对象s 2进入细胞2。如果对象s i(2≤i≤m)出现在细胞2中,则可以应用规则R 16,j。当对象s m出现在细胞2中时,可以应用规则R 16,m。这样,就可以在细胞2中产生对象s m+1。需要注意的是,整个过程规则以时间无关的模式执行。总的来说,整个检测阶段最多需要m个RS步。
3)输出阶段
当检测阶段以及规则R 17执行结束时,将会有以下两种情况:
(1)肯定的答案:公式是可满足的。在这种情况下,在标签为2的细胞中生成对象s m+1,因此可以应用规则R 18。通过使用这个规则,细胞2中的对象s m+1和细胞1中的物质yes相互交换。这样,细胞2中就出现了物质yes。接下来,规则R 19开始执行,物质yes被送出细胞2进入环境,而环境中存在的一份物质no进入细胞2。因此,当P系统停止工作时,yes将出现在环境中。由此可以得出一个结论,即至少有一个可满足解。总的来说,输出阶段最多需要2个RS步,这个结果独立于规则的任何时间映射e。
(2)否定的答案:公式是不满足的。在这种情况下,对象s m+1不会出现在任何一个标签为2的细胞中。因此,规则R 18和R 19都不会执行。最终,当系统停止时,对象no仍然在环境中,由此可以得出没有可满足的解的结论。在这种情况下,该过程不需要RS步。
下面给出一个实例来说明ΠSAT(m,n)是如何工作的,具体的SAT问题的例子使用的公式为:
。
ΠSAT(m,n)的初始格局如图4-2所示。第一步,在标签为2的细胞中对象a 1作用下分裂为两个具有相同标签的新细胞;同时,对象a 1进化为t 1,1和f 1,1后分别出现在新生成的细胞中。第一步除了应用规则R 1,1之外,规则R 17也开始执行。

图4-2 初始格局
当规则R 1,1结束执行,规则R 2,1,j和R 5,1,j(1≤i≤m)同时开始执行。通过循环的方式依次执行R 2,1,j,R 3,1,j和R 4,1,j(resp.,R 5,1,j,R 6,1,j和R 7,1,j)中的规则。每执行一次规则,对象t 1,j或者f 1,j的下标j值就会加1,最终生成t 1,m+1(resp.,f 1,m+1)。然后,应用规则R 8,1(resp.,R 9,1),环境中的多重集T 1d(resp.,F 1d)进入细胞2与对象t 1,m+1(resp.,f 1,m+1)进行交换。当在细胞2中生成对象T 1(resp.,F 1),规则R 10,1(resp.,R 11,1)开始执行,通过它可以将对象T 1(resp.,F 1)发送到细胞1。当规则R 10,1和R 11,1都结束执行时,可以得到系统此时的格局(见图4-3)。此时,不能确定规则R 17是否已经完成执行,因为系统在时间无关模式下运行,其中规则的执行时间长短可能是任意的。为了方便描述,在图4-3到图4-8中假设规则R 17已经结束执行。需要注意的是,在图4-4到图4-8的膜结构图中,有些物质对计算过程以及最后计算结果不会有影响,因此并没有将它们表示在图中。

图4-3 规则R10,1和R11,1执行结束后
接着,规则R 12,1、R 13,1和R 14,1执行结束后,可以得到系统此时的格局(参见图4-4)。当变量x i(1≤i≤n)的第一次循环计算过程执行结束,标签为2的细胞中有对象a 2。在对象a 2的影响下,规则R 1,2将被应用,生成标签为2的四个细胞。当变量的第二次循环计算过程中所有规则应用完成时,即当规则R 14,3的执行结束,可以得到系统此时的格局(参见图4-5)。类似地,变量的第三次循环计算过程中所有规则应用完成时,可以得到系统此时的格局(参见图4-6)。

图4-4 变量的第一次循环执行结束后

图4-5 变量的第二次循环执行结束后

图4-6 变量的第三次循环执行结束后
当在标签为2的细胞中产生对象a 4时,通过使用规则R 15,对象s 2进入细胞2。最后,可以生成对象s 4(见图4-7)。当对象s 4存在标签为2的细胞中时,应用规则R 18,对象s 4与细胞1中的对象yes交换。最终,通过应用规则R 19,对象yes被发送到环境,同时环境中的对象no进入细胞2中。此时,系统停止工作。在环境中出现对象yes,说明该公式是可满足的(见图4-8)。

图4-7 检测阶段结束后

图4-8 系统最终格局