6.1 基于分类噪声检测的序列最小优化算法
本节从SVM的基本模型出发,介绍了使用相对密度检测分类噪声数据的CNSMO方法。
6.1.1 SVM基本模型
SVM原始模型是凸二次规划模型,容易通过梯度下降等传统方法获得全局最优解,所以在线性程度较好及小样本数据下集中体现了良好的泛化能力。SVM的原始线性模型通过引入核函数和核内积的方式来产生非线性模型,核内积避开了对高维映射特征的具体计算,从而避免了“维度灾难”的问题。SVM的核心思想是通过最大化两类样本间隔来获得最优决策超平面。如图6-1,实际应用的数据集中一般都含有一定的噪声数据,因此并不是完全可分的。

图6-1 线性不可分分类示意图
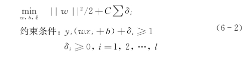
对于样本集{(x i,y i)},其中,x i∈R n,y i∈{+1,-1},i=1,…,l。若存在w∈R n,b∈R和正数ε,y i(ωi·x+b)≥1,i=1,…,l,SVM处理不可分数据集的原始模型表示如下:

通过引入惩罚系数C,转化为如下表达式:

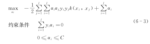
其中,w为决策平面的法向量,l为训练集中的样本数,δi表示每个错误划分样本到决策曲面的距离,C可以刻画目标函数对错误划分样本的容纳权重。由此,线性硬间隔SVM转化为线性软间隔SVM。通过对偶化处理并进一步引入核函数k(x i,x j),其对偶非线性模型转化成如下表达式:

设
为模型式(6-3)的最优解,决策超平面的法向量为
决策函数中的偏置可使用支持向量计算,为y j-〈w,x j〉,j∈{j|0<
<C},决策函数为f(x)=sgn(w*x+b*)。
6.1.2 基于分类噪声检测的CNSMO(https://www.daowen.com)
SVM在处理非线性数据集中,核函数可能会过度映射而导致过拟合现象。过拟合现象的重要原因在于对非噪声数据进行了不合理划分,从而使决策函数的预测能力快速下降。这种由过度映射带来的过拟合现象使得SVM在核参数的优化和核函数的选择方面变得相对困难。现有的SVM算法在训练过程中都需要交叉验证来避免过拟合,以保证算法的泛化能力。而交叉验证会产生过多的中间分类器,使得算法的训练时间较长。为了解决该问题,文献[15]首次提出了分类噪声的方法,从而避免了使用交叉验证。本章采用相对密度的方法提前检测出分类噪声数据[1518],在训练数据集中去除噪声点后再进行训练,避免了使用交叉验证,从而加快最优分类器的参数优化过程,显著减少分类器学习过程中的训练时间。
定义6.1:绝对密度[15]
给定数据集D∈R d,对任一个样本点p∈D和q∈D,其中d(p,q)表示点p和点q之间的距离。p的k最近邻表示为N k(p),其中N k(p)={q∈D|d(p,q)≤k-distance(p)}。p的绝对密度表示为Absolute Density(p,D)=k/∑d(p,q),for q∈N k(p)。
定义6.2:相对密度[15]
给定数据集D∈R d,D中包含D+以及D-两类样本集合,对于任意一个样本点o∈D+,其相对密度为

根据式(6-4),可以计算出某个样本点是否为分类噪声。如果式(6-4)的值大于1,则可以判断出该样本点为分类噪声。
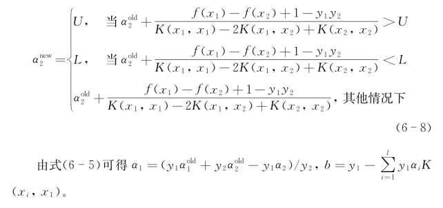
序列最小优化(sequential minimal optimization,SMO)算法是应用最为广泛的支持向量机分解算法,该算法每次更新的样本数为2。其通过不同迭代更新每对样本来不断逼近最终的决策超平面。虽然迭代次数较多,但是其迭代模型变成了解析的形式,因此,整体的收敛速度相对于其他大多数分解算法反而更快。CNSMO算法进一步通过排除分类噪声来优化SMO算法[19]。


其中f(x)为迭代过程中由原拉格朗日系数所决定的决策函数。
结合拉格朗日系数的上下界,获得如下的迭代更新方程:
