2.1.1 理论知识

2.1.1 理论知识

(1)温度测量的基本知识

1)温度

温度是表示物体冷热程度的物理量,是物体分子运动平均动能大小的标志,它反映了物体内部分子热运动的剧烈程度。温度的高低是生产过程运行状态的重要标志,故温度成为热力生产中最普遍、最重要的测量参数之一。

2)温标

温标是衡量物体温度高低的标尺,它规定了用数值表示温度的一套规则,确定了温度的单位,是人为的规定。温度有华氏温标、热力学温标(绝对温标)和摄氏温标。

国际实用温标是用来复现热力学温标的,自1927年建立以来,作过多次修改,最近一次修改是国际计量委员会根据1987年第18届国际计量大会第7号决议的要求,于1989年会议通过的1990国际温标(ITS-90)。1990国际温标自1990年1月1日起使用。

1990国际温标的内容如下:

①ITS-90的基本物理量为热力学温度,符号为T,单位为K(开尔文)。它规定水的三相点热力学温度为273.16 K,1 K等于水的三相点热力学温度的1/273.16。温度也可用摄氏温度表示,符号为t,单位为℃(摄氏度)。其定义为:t=T-273 K。

②ITS-90所包含的温度范围自0.65 K至单色辐射温度计可测量的最高温度。它定义了17个固定点和温度点,包括14种纯物质的三相点、熔点和凝固点以及3个用蒸气温度计或气体温度计测定的温度点。

③ITS-90将温区划分为4段,规定了每段温度范围内复现热力学温标的基准仪器。

④规定了基准仪器的示值与国际温标温度之间的插补公式。

(2)各种测温方法

各种测温方法是基于物体的某些物理化学性质与温度有一定的关系而产生的。例如,物体的几何尺寸、颜色、电导率、热电势和辐射强度等。当温度不同时,以上这些参数中的一个或几个随之变化,测出这些参数的变化后,就可间接地知道被测物体的温度。

温度测量方法大体可分为接触测量和非接触测量。

接触测量是指敏感元件与被测对象直接接触,输出与温度变化相适应的信号。

优点:测量准确性高。

缺点:换热过程需要一定的时间,动态特性差;破坏对象的温度场,影响测温的准确性;测温上限受敏感部件耐热性的影响;测温元件易受环境影响和腐蚀。

非接触测量是指敏感元件不与被测对象接触。

优点:不需要换热过程,动态特性好,可测移动物体的温度;不破坏对象的温度场;理论上测温上限不受限制;测温元件不受环境影响和腐蚀。

缺点:由于中间物质的影响,测量准确性一般较差。

非接触测温仪表又可分为光学温度计、辐射温度计和比色温度计。

膨胀式温度计是利用物体受热膨胀的原理制成的温度计,主要有液体膨胀式温度计、固体膨胀式温度计和压力式温度计3种。

1)液体膨胀式温度计

最常见的是玻璃管液体温度计,如图2.1所示。它主要由膨胀室、毛细管和刻度标尺组成。根据所充填的液体介质不同能够测量-200~750℃的温度。

图2.1 玻璃管液体温度计

①测温原理。

玻璃管液体温度计是利用液体体积随温度升高而膨胀的原理制作而成的。

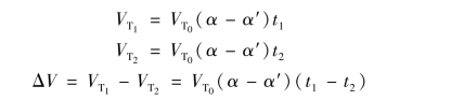
由于液体膨胀系数α远比玻璃膨胀系数α′大,因此,当温度变化时,就会引起工作液体在玻璃管内体积的变化,从而表现出液柱高度的变化。通过玻璃管上的刻度即可读出被测介质的温度值。为了防止温度过高时液体胀裂玻璃管,在毛细管顶部须留一膨胀室。

温度变化所引起的工作液体体积的变化为:

式中 VT0,VT1,VT2——工作液体在0℃、t1、t2时的体积;

α,α′——工作液体和玻璃的体膨胀系数。

可见工作液体和玻璃的体膨胀系数差越大,温度计的灵敏度就越高,测温精度也越高。常用工作液体种类及测温范围见表2.1。

表2.1 常用工作液体种类及测温范围

②玻璃管液体温度计的主要特点。

玻璃管液体温度计的优点是:直观测量准确、结构简单、造价低廉。因此,被广泛应用在工业、实验室和医院等各个领域及日常生活中。但其缺点是:不能自动记录、不能远传、易碎、测温有一定迟延。

玻璃管液体温度计所用的玻璃材料对温度计的质量起着重要作用。对300℃以上的玻璃管液体温度计要用特殊的玻璃(硅硼玻璃),500℃以上的则要用石英玻璃。

③玻璃管液体温度计的分类。

a.标准温度计:用于精密测量和校准其他温度计,其准确度高,分度值一般为0.1~0.2℃。基本误差在0.2~0.8℃范围内。

b.实验室用温度计:用于实验室的测温。

c.工业用温度计:用于工业测温,其准确度较低,允许误差为1~10℃。

d.电接点温度计:作温度控制用。

长期使用的温度计要定期校验并校正其零位,对零位漂移要作修正,不合格的不能使用,校验方法可按有关校验规程进行。

2)固体膨胀式温度计

固体膨胀式温度计是利用两种线膨胀系数不同的材料制成的,有杆式和双金属片式两种。固体膨胀式温度计除了用金属材料外,有时为了增大膨胀系数差,还选用了非金属材料,如石英、陶瓷等。

这类温度计常用作自动控制装置中的温度测量元件,结构简单、可靠,但精度不高。

图2.2 双金属温度计

双金属温度计是利用两种不同金属在温度改变时膨胀程度不同的原理工作的,如图2.2所示。工业用双金属温度计的主要元件是一个用两种或多种金属片叠压在一起组成的多层金属片。为提高测温灵敏度,通常将金属片制成螺旋卷形状。当多层金属片的温度改变时,各层金属膨胀或收缩量不等,使得螺旋卷卷起或松开。由于螺旋卷的一端固定而另一端和一根可以自由转动的指针相连,因此,当双金属片感受到温度变化时,指针即可在一圆形分度标尺上指示出温度来。这种仪表的测温范围是200~650℃,允许误差均为标尺量程的1%左右。这种温度计和棒状玻璃液体温度计的用途相似,可使用在机械强度要求更高的条件下。

3)压力式温度计

图2.3 压力式温度计

压力式温度计是利用密闭容积内工作介质随温度升高而压力升高的性质,通过对工作介质的压力测量来判断温度值的一种机械式仪表。

压力式温度计的工作介质可以是气体、液体或蒸汽,其结构如图2.3所示。仪表中包括温包、双金属片、毛细管、基座和具有扁圆或椭圆截面的弹簧管。弹簧管一端焊在基座上,内腔与毛细管相通,另一端封死为自由端。自由端通过拉杆、齿轮传动机构与指针相连。指针偏转在刻度盘上指示出被测温度。

压力式温度计由于受毛细管长度的限制,一般工作距离最大不超过60 m,被测温度一般为-50~550℃。它简单可靠、抗振性能好,具有良好的防爆性。但这种仪表动态性能差,示值的滞后较大,也不能测量迅速变化的温度。

(3)热电偶

1)热电现象和关于热电偶的基本定律

热电偶温度计由热电偶、电测仪表和连接导线组成。它被广泛用于测量-200~1 300℃的温度。在特殊情况下,可测至2 800℃的高温或4 K的低温。热电偶能把温度信号转变为电信号,便于信号的远传和多点切换测量,具有结构简单、制作方便、准确度高、热惯性小等优点。

①热电偶测温原理。

由两种不同的导体或半导体A或B组成的闭合回路,如果使两个接点处于不同的温度t0和t,则回路中就有电动势出现,称为热电势,这一现象称为热电效应。热电势是温度t0和t的函数,恒定接点温度为t0,则热电势是温度t的单值函数,只要测出热电势的大小,便可得到被测温度t。

热电势由温差电势与接触电势组成,如图2.4所示。

图2.4 热电偶回路的总电势

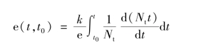
温差电势是指一根导体上因两端温度不同而产生的热电动势。同一导体两端温度不同时,高温端(测量端、工作端、热端)电子的运动速度大于低温端电子(参比端、自由端、冷端)的运动速度,单位时间内高温端失电子带正电,低温端得电子带负电,高、低温端之间形成一个从高温端指向低温端的静电场。该电场阻止高温端电子向低温端运动;加大低温端电子向高温端的运动速度,当运动达到动态平衡时,导体两端产生相应的电位差,该电位差称为温差电势。温差电势的方向由低温端指向高温端。

温差电势的大小为

式中 k——波尔兹曼常数;

e——电子电量Nt为导体内的电子密度,是温度的函数;

t,t0——导体两端的温度。

可见温差电势的大小与导体的性质和导体两端的温度有关,而与导体长度、截面大小以及沿导体长度方向的温度分布无关。

接触电势是在两种不同材料A和B的接触点上产生的。A,B材料有不同的电子密度,设导体A的电子密度nA大于导体B的电子密度nB,则从A扩散到B的电子数要比从B扩散到A的电子数多,A因失电子而带正电荷,B因得电子而带负电荷,于是在A和B的接触面上便形成了一个从A到B的静电场。这个静电场将阻碍电子的扩散运动,诱发电子的漂移运动,当扩散与漂移达到动态平衡时,在A,B接触面上便形成了电位差,即接触电势。接触电势的方向由电子密度小的导体指向电子密度大的导体。

接触电势的大小为

式中 k——波尔兹曼常数;

e——电子电量。

温度越高接触电势越大,两种导体的电子密度比值越大,接触电势也越大。可见,接触电势与两导体的性质和接触点的温度有关,而与导体长度、截面大小、沿导体长度方向的温度分布无关。

热电偶回路的总电势为

热电势是高温端温度及低温端温度的函数,若恒定低温端温度,则热电势是高温端温度的单值函数。通过测量热电势的大小可以得到被测(高温端)温度的数值。

②热电偶回路的基本定律。

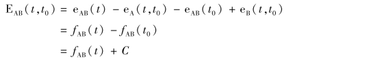
A.均质导体定律。

由一种均质导体或半导体组成的闭合回路,不论导体的长度、截面积如何以及沿长度方向的温度分布如何,回路中都不可能产生热电势。

证明:已知EAB(t,t0)=eAB(t)-eA(t,t0)-eAB(t0)+eB(t,t0)。

因为是均质导体,电子密度相同,所以eAB(t0)=eAB(t)=0。

又因为-eA(t,t0)=eB(t,t0),所以回路总电势等于0。

结论:热电偶必须由两种不同性质的材料构成;由一种材料组成的闭合回路存在温差时,若回路中有热电势产生,则说明该材料是不均质的。均质导体可用于电极材料的均匀性检测。

B.中间导体定律。

在热电偶回路中接入第三种、第四种等均质导体,只要保证各导体的两接入点的温度相同,则这些导体的接入不会影响回路中的热电势。

证明:以在热电偶回路中接入第三种均质导体C为例。保证两接入点的温度都为t0,回路电势为

其中,

即导体C的加入不影响回路中的热电势。

结论:可以在热电偶回路中接入连接导线和测量仪表;可以方便热电偶电极的选配;可以进行表面温度和液体介质温度的开路测量。

C.中间温度定律。

接点温度为t1和t3的热电偶,它的热电势等于接点温度分别为t1,t2和t2,t3的两只同性质热电偶的热电势的代数和,即热电偶的热电势只与高温端和低温端的接点温度有关,而与中间温度无关。

结论:可以对热电偶的冷端温度进行计算修正;允许在热电偶回路中接入补偿导线。

2)标准化与非标准化热电偶

①热电极材料及其性质。

热电极材料应满足下述要求:热电势及热电势率(灵敏度)大,热电势与温度间呈线性关系;电导率高,电阻温度系数小;物理、化学性能稳定(长期使用时,可保证热电特性稳定);复制性好(可批量生产),便于互换;机械加工性好,便于安装;价格便宜。

②标准化热电偶。

标准化热电偶是制造工艺较成熟、应用广泛、能批量生产、性能优良且稳定并已列入专业或国家工业标准化文件中的热电偶。标准化文件对同一型号的标准化热电偶规定了统一的热电极材料及其化学成分、热电性质和允许偏差,也就是说,标准化热电偶具有统一的分度表。分度表是以表格的形式反映电势温度之间的关系,需要注意的是:该电势温度关系是在冷端温度为0℃时得出的,使用时应特别注意。同一型号的标准化热电偶具有互换性,使用十分方便。

目前,国际上已有8种标准化热电偶,这些热电偶的型号(有时也称分度号)、电极材料、可测的温度范围及使用特点见表2.2。

注意:电极材料的前者为正极,后者为负极,紧跟的数字为该材料的百分含量。温度测量范围是热电偶在良好的使用环境下测温的极限值,实际使用时,特别是长时间使用,一般允许的测温上限是极限值的60%~80%。

表2.2 标准化热电偶

续表

③非标准化热电偶。

非标准化热电偶无论在使用范围或数量上均不及标准化热电偶。但在某些特殊场合,例如,高温、低温、超低温、高真空和有核辐射的被测对象中,这些热电偶具有某些特别良好的性能。非标准化热电偶没有统一的分度表。非标准化热电偶有钨铼系热电偶(钨的熔点为3 387℃,铼的熔点为3 180℃,用于测量高达2 760℃的温度);铱铑系热电偶能在弱还原性介质中测量2 000℃高温,适用于航天技术;双铂钼热电偶有较低的中子俘获面积,专用于核反应堆测温;非金属热电偶如碳化物、硼化物、氮化物,使得不用贵金属也能在氧化性气氛中测高温。由于非金属热电偶复制性差、机械强度差,在使用中受到较多限制。

3)热电偶的构造

①普通工业用热电偶。

普通工业用热电偶通常由热电极、绝缘管、保护套管和接线盒构成,如图2.5所示。

热电极的直径大小由材料的价格、机械强度、电导率、热电偶的用途及测温范围决定。贵金属电极的直径为0.3~0.65 mm,普通金属电极的直径为0.3~3.2 mm。热电极的长度有多种规格,主要由安装条件和插入深度来决定,一般为300~2 000 mm。热电偶热端采用焊接方式连接,接头形状有点焊、对焊和绞接点焊3种。焊点的直径应不超过热电极直径的两倍。

图2.5 普通工业用热电偶结构

1—接线盒;2—保护套管;3—绝缘套管;4—热电极

绝缘套管是为了防止热电极间的电势短路,在热电极上套装绝缘管。绝缘管有单孔、双孔、四孔等多种形式。绝缘管材料的选择根据材料允许的工作温度进行,低温下可用橡胶、塑料、聚乙烯等材料;高温下可用普通陶瓷(1 000℃以下)、高纯氧化铝(1 300℃以下)、刚玉(1 600℃以下)等。

保护套管为了防止热电极遭受机械损伤和化学腐蚀,通常将热电极和绝缘管装入不透气的保护套管内。套管的材料和形式由被测介质的特性、安装方式和时间常数等决定。常见材料有黄铜、20号钢、不锈钢、高温耐热钢、纯氧化铝、刚玉、金属陶瓷等,测量更高温度时还可使用氧化铍和氧化钍,可达2 200℃。安装时可采用螺纹连接和法兰连接两种形式。

普通工业用热电偶测温时间常数随保护套管的材料及直径而变化(一般为10~240 s),当采用金属保护套管,外径为12 mm时,时间常数为45 s;外径为16 mm时,时间常数为90 s,而耐高压的金属热电偶的时间常数为2.5 min。

接线盒内有接线柱作为热电极和补偿导线或导线的连接装置。根据用途的不同,有普通式、防溅式、防水式、隔爆式和插座式等结构形式。

②铠装热电偶。

铠装热电偶是由热电极、绝缘材料和金属套管三者经拉伸加工而成的坚实组合体。它可以做得很细、很长,在使用中可以根据需要进行弯曲。套管材料有铜、不锈钢和镍基高温合金等。套管与热电极之间填满了绝缘粉末,常用的绝缘材料有氧化镁、氧化铝等。套管中的热电极有单芯、双芯和四芯的,彼此之间互相绝缘。目前生产的铠装热电偶,其壁厚为0.12~0.6 mm,热电极直径为0.025~1.3 mm,外径一般为1~6 mm,长度为1~20 m,外径最细的有0.2 mm,长度最长的超过100 m。铠装热电偶的测量端有露端形(0.01~0.1 s)、接壳形(0.01~2.5 s)、绝缘形(0.2~8.0 s)、扁变截面形和圆变截面形等。

铠装热电偶的主要特点是测量端热容量小,动态响应快(时间常数小于10 s),机械强度高,挠性好,耐高压、强烈震动和冲击,可安装在结构复杂的装置上。

③快速反应的薄膜热电偶。

薄膜热电偶是用真空蒸镀的方法使两种热电极材料蒸镀到绝缘基板上,使二者牢固地结合在一起,形成薄膜状测量端,上面再蒸镀一层二氧化硅薄膜作为绝缘和保护层。

薄膜热电偶的特点:测量端是非常薄的薄膜(可薄到0.01~0.1μm),尺寸也很小,故测量端的热容量小,时间常数非常小(可达几毫秒),用于测量变化快的温度。由于黏结剂的耐热限制,只能用在-200~300℃。若将电极材料直接蒸镀到被测对象表面,时间常数可达微秒级。

热电极有镍铬-镍硅、铜-康铜、铁-镍等。如图2.6所示为铁-镍薄膜热电偶示意图,其尺寸为60,6,0.2 mm,金属薄膜厚度为3~6μm,时间常数小于0.01 s,测温范围为0~300℃。

图2.6 铁-镍薄膜热电偶示意图

1—测量接点;2—铁膜;3—铁丝;4—镍丝;5—接头夹具;6—镍膜;7—衬架

4)热电偶冷端温度补偿

由热电偶的测温原理可知,热电势是热端温度与冷端温度的函数,在冷端温度恒定的条件下,热电势是热端温度的函数。在实际应用时,热电偶冷端放置在距热端很近的大气中,受高温设备和环境温度波动的影响较大,因此冷端温度不恒定。要想消除冷端温度波动对测温的影响,必须进行冷端温度补偿。常用的冷端温度补偿方法有计算修正法、冷端恒温法、显示仪表机械零点调整法、补偿电桥(冷端温度补偿器)法、补偿导线法、辅助热电偶法、PN结补偿法等。

①计算修正法。

热电偶的分度关系是在冷端温度为0℃的情况下得到的,若热电偶的冷端温度为t0,而不是0℃时,则不能用测量热电偶的热电势去查分度表,必须进行热电势修正,而后,查分度表得出被测的热端温度,修正电势为EAB(t0,0),即

适用场合:实验室测温和现场使用的直读仪表测温。前提条件是冷端温度可测且基本恒定。缺点是不便于连续测温。

②冷端恒温法。

将热电偶的冷端温度恒定,从而便于补偿和修正。一般选择冰点槽(0℃)或工业恒温箱(50℃)进行恒温。

冰点槽法是将热电偶的冷端置于冰水混合物中,热电偶输出电势即以0℃为冷端温度的总电势,可直接查表或送显示仪表显示热端温度。

恒温箱法是将热电偶的冷端置于自动恒温箱中。自动恒温箱常以蒸汽或电能作为热源。需要注意的是,该法热电偶送出的电势E(t,50),不能用于最终温度显示,通常应调整仪表的机械零位进行修正。

③显示仪表机械零点调整法。

当送入显示仪表的电势为E(t,t0),而t0已知且恒定时,在断开热电偶的情况下将仪表的机械零点调整至t0温度对应的刻度。这样相当于在显示仪表内部提前施加了电势E(t0,0),接入热电偶后,则用于温度显示的总电势为E(t,0),因为所有显示仪表的刻度均按照分度表进行刻度,所以仪表正确显示被测的热端温度数值。

④补偿电桥(冷端温度补偿器)法。

如果能得到一个随温度而变化的附加电势,并将该电势串联在热电偶回路中,使其抵偿热电偶热电势因冷端温度变化而产生的变化,则可保证显示仪表中的电势不受冷端温度变化的影响,达到自动补偿的目的。常用的冷端温度补偿器基于图2.7所示的不平衡电桥原理工作。由图2.7可知,热电偶(及补偿导线)输出的热电势与不平衡电桥的不平衡电压相加后送至温度显示仪表。

图2.7 冷端温度补偿器

冷端温度补偿器的结构及工作原理简述如下:图中R1,R2,R3是3个锰铜丝绕制的1Ω定值电阻;Rs是限流电阻;Rcu在20℃时,阻值为1Ω;电桥供电电压为4 V。当热电偶(补偿导线)的冷端温度为20℃时,补偿电桥处于初始平衡状态,不平衡电压Uab=0,热电偶送出电势E(t,20)给显示仪表。当热电偶的冷端温度升高而高于20℃时,热电势将因冷端温度升高而降低,此时Rcu的阻值增加,不平衡电桥的输出电压增加,即Uab>0;当热电偶的冷端温度降低而低于20℃时,热电势将因冷端温度降低而升高,此时Rcu的阻值减小,不平衡电桥的输出电压减小,即Uab<0,可见,补偿电桥的不平衡电压的变化方向恰与热电势的变化方向相反,可起到补偿作用。若不平衡电压的增加量恰好等于热电势的减少量,则实现了完全补偿,送显示仪表的电势不受冷端温度变化的影响。由于热电偶的热电特性与电桥的温度——输出特性不完全一致,故冷端温度补偿器并不能在补偿范围内各点处实现完全补偿。一般而言,完全补偿点为初始平衡温度和补偿范围上限温度两点。

另外,不同分度号热电偶的热电特性不同,要求的补偿电压也不同,即补偿器信号不同,通常补偿器的区别仅为限流电阻的阻值不同。

需要注意的是,若补偿电桥的初始平衡温度不是0℃,则送给显示仪表的电势还需要修正,通常采取显示仪表机械零点调整的方法。

⑤补偿导线法。

由中间温度定律可知,当接点温度低于100℃时,可用热-电特性相同的一对导线代替测量用热电偶,也就是使用补偿导线。补偿导线虽不能改变冷端温度,但可以迁移热电偶的冷端位置,即将冷端从温度波动剧烈的地点迁移至相对稳定的地点,便于与其他温度补偿方法配合实现温度的正确指示。例如,测量炉膛温度的热电偶的冷端通常在炉膛外部不远的地方,该处温度受高温设备及环境温度变化的影响,波动较剧烈,同时该处的温度一般高于冷端温度补偿器的补偿温度,因此不能采用前述温度补偿方法。使用补偿导线将热电偶的冷端迁移至集控室后的电子间,当该处温度稳定时,可采用显示仪表机械调零等预置电势法;当该处温度不是很稳定时,因为温度处于冷端温度补偿器的补偿范围,所以可使用冷端温度补偿器进行补偿。

(4)显示仪表

按显示形式的不同,显示仪表分为模拟式仪表、数字式仪表和屏幕显示仪表。模拟式仪表通过指针的直线位移或角位移反映被测量数值的大小,显示直观,但存在读数误差。数字式仪表通过内部的A/D转换环节实现模拟量到数字量的转换,以数字的形式显示被测量的数值,可避免读数误差,方便与计算机接口,但存在量化误差。通过合理选择A/D转换环节的精度可得到令人满意的现实精度。屏幕显示仪表可以以数字、曲线等多种形式在屏幕上显示被测量的数值,还可以显示需要的工艺流程图、控制画面等,是性能最强的显示仪表。

图2.8 动圈仪表的测量机构

动圈式显示仪表是最典型的模拟式显示仪表,由测量机构和测量线路两部分构成。以测温动圈表为例介绍动圈仪表的测温原理。

根据配接测量元件的不同,动圈仪表可分为与热电偶配接的动圈仪表和与热电阻偶配接的动圈仪表。不同的动圈仪表具有相同的测量机构,其区别在于测量线路的不同。

1)测量机构的动作原理

被测热电势通过连接导线、上下张丝、动圈电阻等构成的闭合回路,形成一定的电流强度,通电动圈在磁场中受到磁场力的作用,产生偏转,带动指针指示被测量的数值。图2.8为动圈仪表的测量机构。

2)测量线路

与热电偶配接的动圈表的测量线路,如图2.9所示。通过调整RL保证外线路电阻为15 Ω。RT//RB的温度特性恰好与动圈电阻的温度特性相反,可起到温度补偿的作用。在满偏电流不变的情况下,调整RC的大小可改变测量上限的数值,即扩大量程。

图2.9 与热电偶配接的动圈表的测量线路

RC—量程电阻;RT//RB—温度补偿电阻;RL—外线路调整电阻;RD—动圈电阻