2.2.2 测量的基本概念

2.2.2 测量的基本概念

测量是人们借助专门的工具,在规定的条件下,采用实验的方法,将被测量x0与测量单位U进行比较,得到二者的比值(倍数)的过程。

式中 x0——被测量真值(实际值);

U——测量单位;

x——被测量的测量值。

被测量的测量值x只能近似地等于其真值x0

(1)测量方法

①按测量结果的获取方式分,可分为直接测量法和间接测量法。

A.直接测量法。把被测量直接与测量单位进行比较,或者用预先标定好的测量仪器进行测量,从而得到被测量数值的测量方法,称为直接测量法。

B.间接测量法。通过直接测量与被测量有某种确定函数关系的其他各变量,再按函数关系进行计算,从而求得被测量数值的方法,称为间接测量法。

②按被测量与测量单位的比较方式分,可分为偏差测量法、微差测量法和零差测量法。

A.偏差测量法。测量器具受被测量的作用,其工作参数产生与初始状态的偏离,由偏离量得到被测量值,称为偏差测量法。

B.微差测量法。用准确已知的、与被测量同类的恒定量去平衡掉被测量的大部分,然后用偏差法测量余下的差值,测量结果是已知量值和偏差法测得值的代数和。

C.零差测量法。用作比较的量是准确已知并连续可调的,测量过程中使它随时等于被测量,也就是说,使已知量和被测量的差值为零,这时偏差测量仅起到检零作用,因此,被测量就是已知的比较量。

(2)测量仪表的组成

为了实现一定的测量目的,测量仪表通常由多个完成不同功能的部分组成,按所完成的功能测量仪表通常可分为传感件(敏感元件)、传送变换元件和显示元件3个部分。

①传感件(敏感元件)。

直接感受被测参数的变化并将其转换为其他可测信号输出,要求如下:

A.输出信号必须随被测参数的变化而变化,即要求传感元件的输出信号与输入的被测信号之间有稳定的单值函数关系,最好是线性关系,而且可复现。

B.非被测量对传感元件输出的影响应小到可以忽略。若不能忽略,将造成测量误差。在这种情况下,一般要附加补偿装置进行补偿或修正。

C.传感元件需尽量少地消耗被测对象的能量,并且不干扰被测对象的状态或者干扰极小。

②传送变换元件。将传感件的输出放大、转换成显示件能接收的信号。

A.单纯起传输作用。

B.将感受件输出的信号放大,以满足远距离传输以及驱动显示、记录装置的需要。

C.为了使各种感受件的输出信号便于与显示仪表和调节装置配接,要通过变换件把信号转换成显示件能接收的另一种信号。这样,可实现同一种类型的显示仪表常用来显示不同类型的被测量。

③显示元件。显示元件的作用是向观测者显示被测参数的量值。

A.模拟式显示。

B.数字式显示。

C.屏幕画面显示。

(3)测量误差的分析与处理

根据测量误差来源(性质)的不同,误差可分为系统误差、随机误差和疏忽误差3类。

①系统误差。

在同一条件下(同一观测者,同一台测量器具,相同的环境条件等),多次测量同一被测量,绝对值和符号保持不变或按某种确定规律变化的误差。

A.产生原因。

a.测量仪表本身的原因;

b.仪表使用不当;

c.测量环境条件发生较大改变。

B.减小或消除系统误差的一般方法。

a.消除系统误差的来源。在测量工作投入之前,仔细检查测量系统中各环节的安装及连接线路,使其达到规定要求,尽量消除误差的来源。

b.在测量结果中加修正值。对不能消除的系统误差,在测量前,对检测系统中的各仪表进行检定,确定出修正值。对各种影响量如温度、气压、湿度等要力求确定出修正公式、修正曲线或修正表格以便对测量结果进行修正。

c.采用补偿措施。在检测系统中加装补偿装置(或自动补偿环节),以便在测量中自动消除系统误差。

d.改善测量方法。采用较完善的测量方法,消除或减少系统误差对测量结果的影响。

②随机误差。

在相同条件下多次测量同一被测量时,绝对值和符号不可预知地变化着的误差称为随机误差。误差的大小和正、负都是不确定的。

A.产生原因:随机误差大多是由测量过程中大量彼此独立的微小因素对测量影响的综合结果造成的。

B.处理方法:多次测量取平均值。

③疏忽误差。

明显歪曲了测量结果,使该次测量失效的误差称为疏忽误差。含有疏忽误差的测量值称为坏值。

产生原因:测量者的主观过失,如读错、记错测量值;操作错误;测量系统突发故障等。

处理:存在这类误差的测量值应当剔除。

(4)误差表示方法

测量误差是被测量参数的测量值x与其真值x0之差。

可以说,真值是不可能得到的,但在误差分析时又要用到真值,常采用近似的方法得到:

①用标准物质(标准器)所提供的标准值,如水的三相点。

②用高一级的标准仪表测量得到的值来近似作为真值。

③对被测量进行多次等准确度测量,各次测量值的算术平均值近似为真值。测量次数越多,越接近真值。

测量误差表示方式如下:

绝对误差Δx:

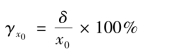
实际相对误差γx0:

标称相对误差γx:

以上3种误差表示形式一般用于反映测量结果准确程度的高低。当用于比较两次测量结果的准确性时,一般采用相对误差来衡量。

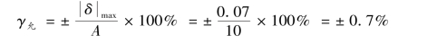
折合误差γA:

式中 Amax——测量仪表量程上限;

Amin——测量仪表量程下限。

折合误差一般用于比较测量仪表的优劣。折合误差也称为引用误差。

(5)测量仪表的基本技术指标

①量程范围。

仪表能够测量的最大输入量与最小输入量之间的范围称为仪表的量程范围,简称量程。在数值上等于仪表上限值Amax与下限值Amin的代数差之绝对值。

②仪表的准确度等级。

仪表的基本误差:在规定的工作条件下,仪表量程范围内各示值误差中的绝对值最大者。

基本误差的绝对误差形式:

基本误差的相对误差形式:

允许误差:仪表在正常工作条件下,为了保证质量,对各类仪表人为规定了其基本误差不能超过的最大值,此最大值称为仪表的允许误差。

允许误差的绝对误差形式:

允许误差的相对误差形式:

准确度等级:仪表最大折合误差表示的允许误差去掉百分号后余下的数字值为该仪表的准确度等级,也称精度等级。

工业仪表准确度等级的国家标准系列有0.005,0.01,0.02,0.04,0.05,0.1,0.2,0.4,0.5,1.0,1.5,2.5,4.0,5.0,…等级。仪表刻度盘上应标明该仪表的准确度等级。数字越小,准确度越高。

仪表的允许误差=±准确度等级

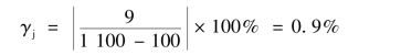
【例2.1】 某台测温仪表的测温范围为100~1 100℃,校验该表时得到的基本误差为9℃,试确定该仪表的精度等级。

解:该仪表的相对基本误差为

将该仪表相对基本误差“%”号去掉,其数值为0.8。由于国家规定的精度等级中没有0.8级仪表,同时,该仪表的误差超过了0.5级仪表所允许的最大误差,因此,这台测温仪表的精度等级为1.0级。

【例2.2】 某台测压仪表的测压范围为0~10 MPa。根据工艺要求,压力指示值的误差不允许超过±0.7 MPa,试问应如何选择仪表的精度等级才能满足以上要求?

解:仪表的允许误差为

如果将仪表的允许误差去掉“±”号与“%”号,其数值介于0.5~1.0,如果选择精度等级为1.0级的仪表,其允许的误差为±1.0%,超过了工艺上允许的数值,故应选择0.5级仪表才能满足工艺要求。

③变差。

在使用条件不变的情况下,在仪表量程范围内,使用同一仪表对被测量进行正反行程测量时,所有测量点上产生的最大差值与仪表量程之比值称为变差,用ε表示。

正行程(上行程):输入量从量程下限增加至量程上限的测量过程,过程中不允许减小。

反行程(下行程):输入量从量程上限减少至量程下限的测量过程,过程中不允许减小。

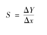
④灵敏度。

在稳定情况下,仪表输出变化量ΔY与引起此变化的输入量的变化量Δx之比值,定义为仪表的灵敏度,用S表示,即

⑤线性度(或非线性误差)。

实际特性曲线往往偏离线性关系,它们之间最大偏差的绝对值与量程之比的百分数,称为线性度,如图2.33所示。

图2.33 仪表线性度示意图

⑥灵敏限(分辨率、死区)。

灵敏限表明仪表响应输入量微小变化的能力指标,即不能引起输出发生变化的最大输入变化幅度与量程范围之比的百分数。

⑦温度漂移。

在保持工作条件和输入信号不变的条件下,经过规定的较长一段时间后输出的变化,称为温漂。它以仪表量程各点上输出的最大变化量与量程之比的百分数来表示。

【任务实施】

(1)准备工器具(表2.7)

表2.7 工器具清单

(2)操作步骤

①系统接线。

②进入软件后,单击“检定”按钮,进入检定设置界面,选择对应的被检器类别(S偶)。

③然后填写检定记录编号、级别、选择被检器的数量,以及被检偶的电极直径、被检器的设备编号、送检单位、制造厂和出厂编号。

④填写检定点温度,可以采用默认检定点,也可以自定义检定点。

⑤设定完后单击“检定”按钮,进入标准器选择界面,查看检定炉默认的标准器编号是否跟使用的标准器一致。单击检定炉后面的图标进入标准器数据库,找到对应编号的标准器,然后单击左上角的选择,单击“确定”按钮,进入检定界面。

⑥单击检定界面工具条的检定点图标。

⑦设置温控仪地址。

⑧选择温控仪PID参数。

⑨确定无误后,单击“检定”按钮,软件开始自动检定。

软件会自动控温、采集数据,达到检定条件后,软件开始采集数据,当数据采集完毕后,软件提示检定结束。单击“数据”图标,可以查看检定数据。软件自动计算误差,判定结果。单击“数据”图标,进入数据界面,可以进行导出数据、打印检定证书等操作。

(3)思考题

①热电偶测温时,产生误差的原因有哪些?

②如何减少冷端温度变化所带来的影响?

【任务评价】

利用温度自动检定系统校验热电偶任务评价表