4.1.3 差压水位测量的压力校正
2025年10月12日
4.1.3 差压水位测量的压力校正
如上所述,上述几种平衡容器测量水位时由于正负压管中水温不同,以及汽包压力变化影响正负压管中水的密度、汽包的饱和水和饱和汽密度而产生附加误差,特别是测量高参数锅炉的汽包水位时因汽包压力对输出差压的影响,已不能满足要求。所以,目前已广泛采用电气压力校正方法,其校正公式与平衡容器的结构直接相关,下面以汽包水位测量为例介绍几种压力校正方法。
(1)单室平衡容器的压力校正
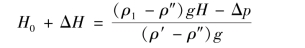
单室平衡容器的汽包水位表达式为
根据上式组成的压力校正系统f1(p)和f2(p)为函数发生器,它们接受汽包压力信号,其输出量为(ρ1-ρ″)gH和(ρ′-ρ″)g,二者能自动跟随汽包压力变化而变化,达到校正的目的。然后将差压信号(-Δp)与反映密度变化的信号(ρ1-ρ″)gH代数相加,再除以密度变化信号(ρ′-ρ″)g,则测量系统的输出为汽包水位,即H0+ΔH。
由于采用单室平衡容器,ρ1会随环境温度而变化,为一变值,因此,测量上仍存在一定的误差。
(2)双室平衡容器的压力校正
蒸汽罩双室平衡容器水位的表达式为