3.2.1 电容式压力测量

3.2.1 电容式压力测量

压力和差压变送器作为过程控制系统的检测变换部分,将液体、气体或蒸汽的差压(压力)、流量、液位等工艺参数转换成统一的标准信号(如DC 4~20 mA电流),作为显示仪表、运算器和调节器的输入信号,以实现生产过程的连续检测和自动控制。

电容式压力测量的原理是把被测压力信号变化转换成电容量的变化,目前广泛采用的是以测压弹性膜片作为可变电容器的动极板,它与固定极板之间形成一可变电容器。被测压力作用在弹性膜片上,当被测压力发生变化、弹性膜片产生位移时,使电容器的可动极板与固定极板之间的距离发生改变,从而改变电容器的电容值,通过测量电容的变化量可间接获得被测压力的大小。

差动电容式压力变送器由测量部分和转换放大电路组成,如图3.3所示。

图3.3 测量转换电路

(1)电容式压力变送器测量原理

电容式传感器是目前应用非常广泛的一种压力/差压测量传感器。其工作原理如图3.4所示。电容式传感器采用全密封电容感测元件δ室,直接感受压力。被测压力作用在两侧的隔离膜片上,并通过充满δ室的硅油将压力均匀地传给中心测量膜片,中心测量膜片是一个张紧的弹性元件,该膜片作为差动式电容的动极板,定极板是在绝缘体的球形凹表面上镀一层金属薄膜而成的。当被测压差发生变化、中心测量膜片产生变形位移时,位移量与差压成正比,此位移转变为电容极板上形成的差动电容,并由其两侧的电容固定极板检测出来。

图3.4 差动电容结构

(2)转换原理

被测压力经δ室转换后的差动电容可以通过转换电路转换成二线制4~20 mA DC输出信号。

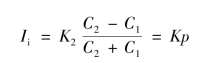
被测压力和差动电容之间的转换关系为

式中 p——被测压力/差压;

K1——常数;

C1——高压侧极板和传感膜片之间的电容;

C2——低压侧极板和传感膜片之间的电容。

转换电路输出的电流信号与两电容值的差和比成比例,即

压力变送器输出的电流信号与被测压力/差压之间呈线性关系。由于电容式压力测量的测量范围宽,准确度高,灵敏度也高,过载能力强,尤其适应测高静压下的微小差压变化。

(3)测量范围、上下限及量程

每个用于测量的变送器都有测量范围,它是该仪表按规定的精度进行测量的被测变量范围。测量范围的最小值和最大值分别称为测量下限(LRV)和测量上限(URV),简称下限和上限。

变送器的量程可用来表示其测量范围的大小,是测量上限值与下限值的代数差,即

使用下限与上限可完全表示变送器的测量范围,也可确定其量程。如一个温度变送器的下限值是-20℃,上限值是180℃,则其测量范围可表示为-20~180℃,量程为200℃。由此可见,给出变送器的测量范围便知其上下限及量程,反之,只给出变送器的量程,却无法确定其上下限及测量范围。

变送器测量范围的另一种表示方法是给出变送器的零点(即测量下限值)及量程。由前面的分析可知,只要变送器的零点和量程确定了,其测量范围也就确定了。因而这是一种更为常用的变送器测量范围的表示方式。

(4)零点迁移和量程调整

在实际使用中,由于测量要求或测量条件的变化,需要改变变送器的零点或量程,为此可对变送器进行零点迁移和量程调整。量程调整的目的是使变送器的输出信号的上限值ymax与测量范围的上限值xmax相对应。图3.5为变送器量程调整前后的输入输出特性。

图3.5 变送器上限调整

由图可知,量程调整相当于改变了变送器输入输出特性的斜率,由特性1到特性2的调整为量程增大调整;反之,由特性2到特性1的调整为量程减小调整。

在实际测量中,为了正确选择变送器的量程大小,提高测量准确度,常常需要将测量的起点迁移到某一数值(正值或负值),这就是所谓的零点迁移。在未加迁移时,测量起始点为零;当测量的起始点由零变为某一正值时,称为正迁移;反之,当测量的起始点由零变为某一负值时,称为负迁移。零点调整和零点迁移的目的,都是使变送器输出信号的下限值ymin与测量信号的下限值xmin相对应。在xmin=0时,为零点调整;在xmin≠0时,为零点迁移。

图3.6为变送器零点迁移前后的输入输出特性。由图可知,零点迁移后变送器的输入-输出特性沿x坐标向右或向左平移一段距离,其斜率并没有改变,即变送器的量程不变。若采用零点迁移,再辅以量程压缩,可以提高仪表的测量精确度和灵敏度。

图3.6 变送器零点迁移

零点正、负迁移是指变送器零点的可调范围,但它和零点调整是不一样的。零点调整是在变送器输入信号为零,而输出不为零(下限)时的调整;而零点正、负迁移,是在变送器的输入不为零时,输出调至零(下限)的调整。如果差压变送器的低压引入口有输入压力,高压引入口没有,则将输出调至零(下限)时的调整,称为负迁移;如果差压变送器的高压引入口有输入压力,低压引入口没有,则将输出调至零(下限)时的调整,称为正迁移。由于迁移是在变送器有输入时的零点调整,因此,迁移量是以能迁移多少输入信号来表示或以测量范围的百分之多少来表示的。

由于同一台变送器,其使用范围有大有小,因此,迁移量也随之有大有小。

大多数厂家生产的变送器,迁移量都是以最大量程的百分数来表示的。例如,有的变送器零点正负迁移为最大量程的±100%,这就是说,如果变送器的测量范围为0~31.1 kPa至0~186.8 kPa,则当变送器高压或低压引入口通0~186.8 kPa范围内的任意压力时,其零点都可以迁到4 mA。不过高压引入口通186.8 kPa的压力已经是测量范围上限了,再通就是超压,将零点调成DC 4 mA不是不可能,但已毫无意义,所以一般还补充一句,零点迁移量与使用量程之和不能超过测量范围的限值,即

式中 Δpz——迁移量;

Δps——使用量程;

Δph——最大量程。

如果使用量程为186.8 kPa,则零点正迁移量为

即不能迁移。

但若使用量程为62.3 kPa,则零点正迁移量为

对负迁移来说,没有这一限制,因为它是负压引入口压力,所以不管通0~186.8 kPa范围内的多大压力,零点迁移量加上使用差压,都不会超过测量范围的限值。

(5)量程比

量程比是指变送器的最大测量范围和最小测量范围之比,这也是一个很重要的指标。变送器所使用的测量范围和操作条件是经常变化的,如果变送器的量程比大,则它的调节余地就大。变送器可根据工艺需要,随时更改使用范围,给使用者带来方便。使用者可以不需更换仪表,不需拆卸和重新安装,只需改变量程即可。对智能仪表来说,只要在手持终端上再设定一下。这样,库里的备品数量可以大为减少,计划管理等工作也会简单得多。

从最简单的位移式差压计到目前的智能变送器,量程比是在不断地增加,这说明技术的进步。但要注意的是,当量程比达到一定数值(如10)以后,它的其他技术指标如精度、静压、单向性能都会变坏,到了某个值后(如40),虽然还可使用,但其性能已经降低。一般情况下,量程比越大,测量精度就越低。

(6)四线制与二线制

变送器大都安装在现场,其输出信号送至控制室中,而它的供电又来自控制室。变送器的信号传送和供电方式通常有四线制和二线制两种。

1)四线制

供电电源与输出信号分别用两根导线传输,其接线方式如图3.7所示,这样的变送器称为四线制变送器。由于电源与信号分别传送,因此对电流信号的零点及元件的功耗没有严格要求。供电电源可以是交流(220 V)电源或直流(24 V)电源,输出信号可以是死零点(0~10 mA)或活零点(4~20 mA)。

图3.7 四线制传输

2)二线制

对于二线制变送器,同变送器连接的导线只有两根,这两根导线同时传输供电电源和输出信号,如图3.8所示。可见,电源、变送器和负载电阻是串联的。二线制变送器相当于一个可变电阻,其阻值由被测参数控制。当被测参数改变时,变送器的等效电阻随之变化,因此流过负载的电流也随之变化。

图3.8 二线制传输

二线制变送器必须满足以下条件:

①变送器的正常工作电流,必须等于或小于信号电流的最小值I0min,即

由于电源线和信号线公用,电源供给变送器的功率是通过信号电流提供的。在变送器输出电流为下限值时,应保证其内部的半导体器件仍能正常工作。因此,信号电流的下限值不能过低。因为在变送器输出电流的下限值时,半导体器件必须有正常的静态工作点,需要由电源供给正常工作的功率,所以,信号电流必须有活零点。国际统一电流信号采用DC 4~20 mA,为制作二线制变送器创造了条件。

②变送器能够正常工作的电压条件。

式中 U——变送器输出端电压;

Emin——电源电压的最小值;

I0max——输出电流的上限值,通常为20 mA;

RLmax——变送器的最大负载电阻值;

r——连接导线的电阻值。

二线制变送器必须采用直流单电源供电。所谓单电源是指以零电位为起始点的电源,而不是与零电压对称的正负电源。变送器的输出端电压U等于电源电压与输出电流在RL及传输导线电阻r上的电压降之差。为保证变送器正常工作,输出端电压值只能在限定的范围内变化。如果负载电阻增加,电源电压就需增大;反之,电源电压可以减小;如果电源电压减小,负载电阻就需减小;反之,负载电阻可以增加。

③变送器能够正常工作的最小有效功率。

由于二线制变送器供电功率很小,同时负载电压随输出电流及负载阻值变化而大幅度变化,导致线路各部分工作电压大幅度变化。因此,制作二线制变送器时,要求采用低功耗集成运算放大器和设置性能良好的稳压、稳流环节。

二线制变送器的优点有很多,可大大减少装置的安装费用,有利于安全防爆等。因此,目前世界各国大都采用二线制变送器。

(7)静压和单向过压特性

1)静压特性

静压是指差压变送器的工作压力,通常比差压输入信号大得多。按理说,差压变送器的输出只和输入差压有关,和变送器的工作压力无关,但由于设计、加工、装配等诸多因素,变送器的零点和量程是随着静压的变化而变化的。变送器的静压指标就是指这种变化的允许范围。这里有以下两点需要说明:

①不同使用范围的变送器,其输出受静压的影响是不一样的,量程范围大,受静压变化的影响小;反之,则影响大。制造厂为了使自己生产的仪表有较高的技术指标,所以不管用户使用在多大测量范围,静压指标总是以在最大量程下,零点和量程的变化多少来确定的。

②变送器的静压可以是正压,也可以是负压。正压有限值,例如最高为16,40 MPa;负压也有限值,如-0.1 MPa,但不能绝对真空。我们说变送器的静压,通常只说它的上限压力,下限压力似乎认为没有规定,其实这是不对的。变送器在绝对真空下,膜盒内的硅油会汽化,会损坏仪表,所以也有规定。

2)单向过压特性

单向过压即单向超载,它是指差压变送器的一侧受压,另一侧不受压。在变送器和节流装置配套使用的过程中,由于操作不慎,有时会发生一侧导压管阀门开着,另一侧关闭,因此变送器静压是多少压力,单向过压也是多少压力。

对一般仪表,信号压力只能比额定压力稍大一些,例如大30%、大50%,但对差压变送器来说,单向超载的压力不是比信号压力稍大一些,而是大几倍、几十倍甚至上百倍。在这种情况下,变送器应不受影响,其零点漂移也必须在允许范围内,这就是差压变送器独特的单向特性。

最早的差压计是不耐单向过压的,但是现在的变送器单向过压指标定得很高,单向对仪表的各种性能基本上没有什么影响。例如,日本横河的EJA系列差压变送器使用时可以不装平衡阀。单向过压时间也不作规定,但从使用角度看,不装平衡阀是不方便的。

(8)稳定性

稳定性是变送器的又一项重要技术指标,从某种意义上讲,它比变送器的精度还重要。稳定性误差是指在规定的工作条件下,输入保持恒定时,输出在规定时间内保持不变的能力。稳定性±0.1% URV/6个月表示:在6个月内,仪表的零点变化不超过测量范围上限的±0.1%。注意这里说的是测量范围上限,不是使用范围。例如,某变送器的测量范围为0~2 kPa至0~100 kPa,如果使用范围为0~10 kPa,那么它的稳定性就不是±0.1%,而是±1%;所以在看仪表的误差时,一定要看它是对哪个范围而言。