7.1.1 电涡流传感器测量原理

7.1.1 电涡流传感器测量原理

电涡流传感器是一种建立在涡流效应原理上的传感器。电涡流传感器由传感器线圈和被测导体(导电体—金属涡流片)组成,如图7.1所示。根据电磁感应原理,当传感器线圈(一个扁平线圈)通以交变电流(频率较高,一般为1~2 MHz)I1时,线圈周围空间会产生交变磁场H1,当线圈平面靠近某一导体面时,由于线圈磁通链穿过导体,使导体的表面层感应出呈旋涡状自行闭合的电流I2,而I2所形成的磁通链又穿过传感器线圈,这样线圈与涡流“线圈”形成了有一定耦合的互感,从而导致传感器线圈的阻抗Z发生变化。

图7.1 电涡流传感器原理图

我们可以把被测导体上形成的电涡流等效成一个短路环(虚拟线圈),这样就可得到如图7.2所示的等效电路,图中R1,L1为传感器线圈的电阻和电感。

图7.2 电涡流传感器等效电路图

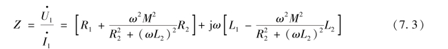
电涡流短路环可以认为是一匝短路线圈,其电阻为R2、电感为L2。线圈与导体间存在一个互感M,它随线圈与导体间距的减小而增大。根据等效电路可列出电路方程组:

通过解方程组,可得传感器线圈的复阻抗为

线圈受涡流影响后的等效电阻为

线圈受涡流影响后的等效电感为

由Z,Req和Leq函数式[式(7.3)、式(7.4)、式(7.5)]可以看出,线圈与金属导体系统的阻抗Z,Req和Leq都是该系统互感系数平方的函数,而从麦克斯韦互感系数的基本公式出发,可得互感系数是线圈与金属导体间距离X的非线性函数。因此Z,Req和Leq均是X的非线性函数。虽然它整个函数是非线性的,但可选取近似为线性的一段。其实Z,Req和Leq的变化与导体的电导率、磁导率、几何形状、线圈的几何参数、激励电流频率以及线圈到被测导体间的距离X有关。如果控制上述参数中的其余参数不变,只有一个参数变化,则阻抗就成为这个变化参数的单值函数。当电涡流线圈、金属涡流片和激励源确定后,并保持环境温度不变,则只与距离X有关。如此,通过传感器的调理电路(前置器)处理,将线圈阻抗Z的变化转化成电压或电流的变化输出。输出信号的大小随探头到被测体表面之间的间距X而变化,电涡流传感器就是根据这一原理实现对金属物体的位移、振动等参数的测量。