3.1.1 压力单位

3.1.1 压力单位

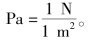
在工程技术上,压力对应于物理概念中的压强,即指均匀而垂直作用于单位面积上的力,用符号p表示。在国际单位制中,压力的单位为帕斯卡,简称“帕”,用符号Pa表示,其物理意义是1 N垂直均匀地作用在1 m2面积上所产生的压力,称为1 Pa,即1

在工程技术上,仍在使用的压力单位还有工程大气压、物理大气压、巴、毫米汞柱和毫米水柱等。