2.3.1 技术架构

2.3.1 技术架构

天气预报模式 (Weather Research and Forecasting Model,WRF)是目前应用最广泛的中尺度数值模式之一。其将数值模式的计算结果进一步加工为各种高级产品,并将数据产品封装为接口,提供给前端系统作展示。

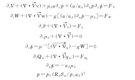
美国国家环境预报中心 (National Centers for Environmental Prediction,NCEP)、美国空军、美国国家海洋和大气管理局 (National Oceanic and Atmospheric Administration,NOAA)等联合开发的下一代WRF具有非静力平衡、高分辨率和完全可压缩的特点,对各种中小尺度天气系统都具有较强的模拟能力。模式坐标采用地形跟随坐标,水平方向采用Arakawa-C网格,在时间积分上采用Runge-Kutta的3阶积分方案,分辨率精度较高。物理过程包括大气水平和垂直涡动扩散、大气短波和大气长波辐射方案、边界层方案、陆面方案、云物理参数化方案和积云对流。WRF模式流程图如图2-6所示。

图2-6 WRF模式流程图

WRF模式采用的是地形跟随质量垂直坐标系统,采用Laprise推导方法,方程采用气压地形跟随坐标,垂直质量坐标η 的表达式为

式中ph——某高度上流体静力压;

phs、pht——地表和大气顶气压。

η值的范围为0~1,地面为1,大气顶为0。

phs-pht可表示单位面积空气柱的质量,并定义

另外,通量形式的欧拉方程为

其中,气压诊断关系式和状态方程分别为

在欧拉方程中考虑水气影响,方程可以改写为

式中 αd——干空气比容;

α——考虑了整个气团密度的比容。

另外有  α=αd(1+q c+q v+q r+q i+…)-1

式中 q n——云滴、水汽、雨滴和冰晶等的质量混合比,n 代表c、v、r、i等。

统计建模方法首先是利用数值天气预报提供的辐照度、温度等预报数据,然后再用辐照度功率转换模型进行光伏功率预测。统计建模方法包括BP 神经网络、支持向量机回归等传统的方法。随着近几年机器学习、人工智能领域的发展,很多人工智能的方法也被应用于功率预测,如决策回归树、K 近邻以及卷积神经网络等方法被用来建立短期功率预测模型。

通过多次分层级的数据挖掘与数据聚类,将清洁能源场站按照岀力特性进行分类,在此基础上建立分类的通用模型;针对具体的清洁能源目标场站,利用场站的历史运行数据,对该类通用模型中的未知参数进行快速适配。这种两次迭代建模的方法,大大提升了预测的精度。

常用的预测方法如下:

1.基于分区域聚类的预测方法

以光伏发电为例,光伏发电是周期性的,随着每日的日升开始发电,日落结束发电。光伏发电站一天的发电量与太阳高度、辐照度、温度、日长等相关,而这几个参数都具有一定的相似性,同时气象预测也具有周期的相似性。不同区域光伏电站受以上参数的影响,出力特性会有比较明显的差异,因此可通过对区域级、电站级等不同层级的数据进行聚类分析,按照不同的类别进行预测建模。

K 均值聚类算法 (K-means clustering algorithm)是最著名的划分聚类算法,它的简洁性和高效性使得它成为所有聚类算法中应用最广泛的。K 均值聚类是一种迭代求解的聚类分析算法,其步骤是首先随机选取K 个对象作为初始的聚类中心,然后计算每个对象与各个聚类中心之间的距离,把每个对象分配给距离它最近的聚类中心。每个聚类中心以及分配给它的对象就组成一个聚类。每分配一个样本,聚类中心都会根据聚类中现有的对象被重新计算。这个过程将不断重复直到满足某个终止条件。终止条件可以是没有 (或最小数目)对象被重新分配给不同的聚类、没有 (或最小数目)聚类中心再发生变化或误差平方和局部最小。

根据区域的实测出力数据结合实际辐照度数据,预测最大辐照度、预测日长、温度等参数。建立K 均值聚类算法模型,并基于不同的类别建立对应的通用预报模型。

2.BP神经网络模型参数优化

基于获得的场站信息,结合具体场站的历史运行数据进行场站级具体参数优化。BP神经网络是一种多层前馈神经网络,网络结构包含输入层、隐含层和输出层,每一层可以有不同个数的神经元,一个三层BP神经网络如图2-7所示。在光伏功率预测中输入的变量为预报辐照度、温度、相对湿度。输出的变量为功率。

神经元的参数通过误差反向传播进行迭代寻优。输入层的各个神经元用于接收外界的输入信息,并传递给隐含层各个神经元,隐含层是内部信息处理层,负责信息变换,隐含层将各神经元的信息传递到输出层,完成一次学习的正向传播处理过程。

3.LSTM 用于短期功率预测

除常规的BP网络外,长短期记忆网络 (long short-term memery,LSTM)也是一种时间循环神经网络。循环神经网络工作的关键点是利用历史信息来帮助当前的决策。

这个短期预测模型的输入量不仅与当前气象有关,还与多个气象因素有关,短期LSTM 预测模型结构图如图2-8所示。

图2-7 三层BP神经网络

图2-8 短期LSTM 预测模型结构图

模型识别包括模型的类型选择和模型定阶。

模型的类型选择就是在时间序列平稳的情况下,根据样本值判定要用的预测模型是AR、MA 和ARMA 模型中的哪一类。对平稳的时间序列数据,可借助序列的自相关函数和偏相关函数来识别模型。

对于平稳时间序列 {x t},可以采用前k 个时刻的值对x t 进行最小方差估计,以确定ψk 1,…,ψkk使δ=达到最小值,其中,ψkk(k=1,2,…)称为偏相关函数。

函数模型类型判别表见表2-2。

表2-2 函数模型类型判别表

由表2-2所知,当偏相关函数在有限阶数内截尾,即偏相关函数在p 阶衰减至零,自相关函数拖尾,即自相关函数呈衰减性时,此序列适合建立AR(p)模型;当偏相关函数拖尾,自相关函数在有限阶数内截尾,即自相关函数在q 阶衰减至零时,此序列适合建立MA(q)模型;当偏相关函数和自相关函数均拖尾时,此序列适合建立ARMA(p,q)模型。

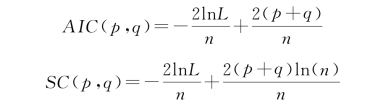
模型类型确定后,还需知道模型的阶数,前面提到的自相关函数和偏相关函数截尾性判别就是其中的一种简单定阶法。此外,常用的是最佳准则函数定阶法,如用赤池信息准则 (akaike information criterion,AIC)、施瓦茨准则 (schwarz criterion,SC)等。AIC和SC的一般形式分别为

式中 AIC(p,q)、SC(p,q)——lnL 模型的对数似然函数值;

n——观测值数目;

p、q——AR 和MA 的阶数。

AIC 和SC 的取值都是越小越好。

4.模型参数估计

经过模型识别后,模型的类别、结构和阶次都已初步确定,接着应估计模型中的未知参数。参数估计的方法有很多,包括矩估计、最小二乘估计以及最大似然估计等。

以AR(p)模型为例,假设AR(p)模型为

x t1 x t-1-…-ψp x t-p=a t

用最小二乘法估计参数ψ1,…,ψp,就是在已知N 个样本序列值的条件下,选取参数ψ1,…,ψp,使残差平方和(x t1 x t-1-…-ψp x t-p2 尽可能达到最小值。

5.模型检验

经过模型识别和参数估计后,最后还要检验确定模型是否恰当,如果检验通过,说明模型符合要求,就可以进行预测工作了。反之,就需要修改模型或重新识别模型,直至满足要求,模型检验系统架构如图2-9所示。

图2-9 模型检验系统架构

(1)气候/延伸期预测模型。基于成熟的不同时间尺度数值模拟模型,根据初始场和强迫场数据,结合观测资料同化技术对区域进行模拟。初始场数据来自场站观测及公开气象站,强迫场数据来自欧洲数据预报中心 (European Center for Medium Ranger Weather Forecasts,ECMWF)(简称EC)及美国国家环境预报中心气候预报系统 (climate forecast system,CFS)的数据,数据结果具有权威性和可靠性。

(2)站点气象要素提取模块。站点气象要素提取模块依据站点经纬度信息、数值模拟结果提取场站数据,气候及延伸期预报属于大尺度预报,模拟精度不会太高,故场站一般只选取代表点。产品包含逗号分隔值 (comma-separated value,CSV)、接口及Java对象表示法 (Java script object notation,JSON)等格式,由前端提取进行展示。

(3)气象灾害阈值提取模块。气象灾害阈值提取模块通过通用气象灾害阈值标准对模拟数据进行识别,将气象数值转化为灾害数据。