3.4.1 变压器和电抗器
1.结构与分类
变压器的种类繁多,根据电压等级,有高压输配电系统用的电力变压器和设备控制用的低压变压器之分;按冷却方式,有干式(空气冷却)和油浸、水冷等;按铁心的结构,有壳式(铁轭包在绕组外部)和心式(绕组包在铁心外部)两类。根据用途,低压变压器还可分隔离变压器、电源变压器、控制变压器、整流变压器、调压变压器、起动变压器等多种。数控机床使用的变压器一般都是低压、干式变压器,其常见结构如图3.4-1所示。

图3.4-1 数控机床常用变压器
a)单相 b)3相
在结构上,单相变压器一般采用图3.4-1a所示的壳式结构;而3相变压器以图3.4-1b所示的心式结构居多;在用途上,则以隔离变压器、电源变压器和控制变压器3类产品为主。
由于变压器的容量通常较大,提高防护等级将直接影响到变压器的散热、从而降低额定容量,因此,变压器的防护等级一般为IP00,即不具备防接触、防水性能,这一点在使用时务必引起注意;同时,也不宜将大容量的变压器安装在密封的电气柜内部。
2.性能与特点
隔离变压器、电源变压器和控制变压器的主要用途和技术特点如下。
(1)隔离变压器
隔离变压器(Isolating Transformers)是指输入绕组和输出绕组间带有保护隔离的变压器,IEC 1558/DIN EN 61558等标准对隔离变压器的性能作了具体规定。
隔离变压器主要用来阻断二次侧和大地间可能产生的电流回路,防止人触及二次侧控制回路带电导体、金属构件时的触电危险,但其变比可以不为1∶1。因此,隔离变压器的二次侧一般不允许和保护接地导线或设备外壳连接。出于安全上的考虑,对于数控机床等控制回路较复杂,需要带电调试、维修的设备,其AC220V/380V交流控制回路,原则上必须使用隔离变压器,而不允许直接取自电网。
隔离变压器的基本性能如下。
输入电压:≤AC1000V,频率≤500Hz;
输出电压:AC50~500V;
容量:单相≤25kV·A,3相≤40kV·A。
(2)电源变压器
电源变压器(Power Transformers)主要用于功率传送、电压变换,它实际上属于主回路器件。电源变压器的输入和输出绕组间一般只用基础绝缘隔离,其容量、输出电压需要满足负载空载和满载的运行要求。
根据容量,电源变压器分为大功率(10kV·A以上)、中功率(0.5~10kV·A)、小功率(0.5kV·A以下)几类。在数控机床上,电源变压器主要用于伺服驱动器、变频器等输入电压与电网电压不一致的控制装置或负载供电,一般以3相心式、中大功率为主。
电源变压器的基本性能如下。
输入电压:≤AC1000V,频率≤500Hz;
输出电压:≤AC1000V;
容量:没有限制。
(3)控制变压器(Control-circuit Transformers)
控制变压器是向控制回路供电的变压器,其容量、输出电压同样需要满足空载和满载的运行要求。
数控机床所使用的控制变压器以单相、壳式居多,由于控制回路的特殊安全要求,变压器需要有较好的绝缘性能,但它仍达不到隔离变压器的绝缘要求。
隔离变压器的基本性能如下。
输入电压:≤AC1000V,频率≤500Hz;
输出电压:≤AC1000V;
容量:≤6.3kV·A(一般情况)。
3.选择原则
变压器的主要参数有类型、输入/输出电压、容量等,变压器类型需要根据用途选择,输入/输出电压可直接根据要求选择,因此,电气设计时主要应考虑其容量。由于变压器的防护等级低,它受环境的影响较大,因此,在选择时需要考虑以下几点。
①温度。环境温度直接影响变压器的绕组温升,变压器的实际容量与环境温度、绕组的绝缘等级有关,不同材料的变压器在不同环境温度下,其实际容量St与额定容量Se、温度t(℃)的关系,一般可通过下式计算:
St=[1-k(t-t0)]Se
式中的k和t0与绕组的绝缘等级有关,A级绝缘时,k=0.006、t0=40℃;B级绝缘时,k=0.01、t0=50℃;H级绝缘时,k=0.012、t0=55℃。
②海拔。海拔将影响变压器的散热效果,变压器的额定容量可用于海拔低于1000m的使用环境,当海拔大于1000m时,变压器的实际容量Sh与额定容量Se、海拔h的关系,一般可通过下式计算:
Sh=[1-3.25×10-5(h-1000)]Se
③频率。如变压器设计允许在多种频率运行,随着频率的增加,变压器的实际容量Sf将变大,Sf与50Hz额定容量Se、频率f的关系,一般可通过下式计算:
Sf=fSe/50
④工作制。变压器同样可用于短时、断续工作,如果变压器断续工作的间隙时间足够长,绕组温升达不到额定温升时,变压器的实际容量Sc与额定容量Se、通电持续率ED(%)的关系,一般可通过下式计算:

4.电抗器
电抗器(Reactor)它是用来消除电网电流尖峰脉冲、减小谐波干扰的器件,其结构类似于变压器。
数控机床所使用的伺服驱动器、变频器等控制装置,都具有PWM逆变主回路,为了保护整流侧器件,在以下场合,3相主回路进线需要安装图3.4-2所示的三相交流电抗器。

图3.4-2 三相交流电抗器
①主回路不使用电源变压器、直接利用3相AC380/400V主电源进行供电的伺服驱动器、变频器。
②设备或供电电源上存在大容量晶闸管变流装置或功率因数补偿装置时。
③供电电源的三相不平衡度可能超过3%时。
④电网对设备有其他特殊的谐波指标要求时。
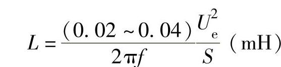
严格地说,电抗器的选用应根据所在国的电网质量和谐波干扰指标等要求确定。试验表明,当电抗器用于谐波抑制时,如电抗器上所产生的压降能够达到线路额定相电压的3%,就可使谐波电流分量降低到至44%。因此,伺服驱动器、变频器等控制装置的电抗器电感量,一般可按其压降为额定相电压的2%~4%选择,对于额定线电压为Ue的3相交流电路,其计算式如下:

对于输入容量为S(kV·A)的伺服驱动器、变频器,可根据3相电源的容量计算式S=3UeI,将上式转换为

电抗器电感量确定后,便可根据其感抗、线路额定电流计算确定电抗器的容量。电抗器也可以直接选配伺服驱动器、变频器生产厂家配套提供的产品。