高考模式与高考成绩组成的变化

一、高考模式与高考成绩组成的变化

过去的高考,科目设置采取的是“3+X”模式,其中的“3”为语文、数学、外语3个科目,是所有考生必考科目;“X”为文科综合或理科综合,文科综合包括思想政治、历史、地理3个科目,理科综合包括物理、化学、生物3个科目,由考生自主选择文科综合或理科综合。高考成绩的组成情况为:

新高考的科目设置,增强了高考与高中学习的关联度,考生总成绩不再由一次考试形成,而是由统一高考的语文、数学、外语3个科目成绩和普通高中学业水平等级考试3个科目成绩组成,即“3+3”模式。其中,统一高考的3个科目,保持现有时间、分值不变,数学由分设文理改为不分文理,外语听力部分有2次考试机会,安排在高三上学期末进行,选最高成绩计入高考总成绩;普通高中学业水平等级考试科目,由考生根据自身特长和报考高校要求,在思想政治、历史、地理、物理、化学、生物6个科目中自主选择3个科目,即“6选3”。新高考成绩的组成情况为:

高考“不分文理”的含义

高考“不分文理”有两层含义。第一层含义是,高中学生参加全国统考的语文、数学、外语3门学科是不分文理的。具体来说,就是数学学科不分文理,因为改革前的高考语文和外语两科也不区分文理,但数学学科要区分文理,理科数学难度较大。按照新高考方案,数学不再有文理之分。第二层含义是,高中学生选择的3门学业水平等级考试科目也是不分文理的。举个例子来说,可以选择思想政治、物理、化学这3门“文理混搭风格”的学业水平等级考试科目,也可以选择思想政治、历史、地理这3门“纯文科风格”的学业水平等级考试科目,或者选择物理、化学、生物这3门“纯理科风格”的学业水平等级考试科目。简言之,高中学生可以根据自己想要报考的高校及相应专业的招生要求自主选择3门学业水平等级考试科目,选择权完全在高中学生手中。

夏季高考不再分文理科,为人才成长和培养搭建了一座真正的“立交桥”,有利于学生既全面又个性的发展。

将普通高中学业水平考试成绩纳入高考总成绩是新高考的重要变化之一,那么普通高中学业水平考试是如何组织的呢?首先,将普通高中学业水平考试分为合格考试和等级考试。考试内容均以各学科课程标准(含学业质量要求)为依据。合格考试覆盖国家课程方案规定的所有科目,考试范围为各学科课程标准确定的必修内容,考查高中学生的必修课程学习情况,是高中毕业的必要条件;等级考试则是以高中课程标准确定的必修和选择性必修内容为依据,其考试科目根据国家要求并结合我省实际设定,成绩经等级转换后计入考生高考总成绩,是高校招生录取的依据之一。其次,两类考试由省教育厅统一组织管理,省教育招生考试院具体实施,各科目试题由我省自行命制。再次,依据课程标准科学确定考试难度和区分度,统筹协调课程进度和考试时间安排,逐步实现考试向不同年级学生开放,增加学生的考试机会。

普通高中学业水平合格考试与等级考试的区别

第一,两类考试的作用不同。合格考试的目的在于检查全体高中学生是否达到了普通高中课程方案规定的最低学业要求,通俗地说,可以将其称为“强化基础”。因此,合格考试针对的是普通高中课程方案规定的高中学生必学的所有学科,考试结果不计入高考总成绩。而等级考试的目的则是在“强化基础”的前提下,凸显不同高中学生在学业修习上的学科特长,通俗地说,可以将其称为“突出个性”,考试结果计入高考总成绩。

第二,两类考试的考试科目不同。合格考试覆盖国家课程方案规定的所有学习科目,包括语文、数学、外语、思想政治、历史、地理、物理、化学、生物、技术(含信息技术、通用技术)、艺术(含音乐、美术)、体育与健康等科目。等级考试科目包括思想政治、历史、地理、物理、化学、生物6个科目,条件成熟时,增加技术(含信息技术、通用技术)科目。学生可根据自身兴趣、志向、优势以及高校招生要求,在上述科目中自主选择3个考试科目,即通常所说的“6选3”,其所选科目的合格考试成绩必须达到合格,不得选择不合格科目作为等级考试科目。

第三,两类考试的呈现方式不同。合格考试成绩分为“合格”和“不合格”,成绩达到60分即为合格。等级考试成绩是根据考生该科目的原始成绩和该科目全体考生的成绩分布情况,依据等级转换规则经成绩转换后计入考生高考总成绩。

第四,两类考试的时间不同。在考试时间上,合格考试每学年组织两次,分别安排在每学年上、下学期末。高中生在校期间有多次考试机会,但不得早于高一下学期末。等级考试每年组织一次,时间安排在6月份夏季统一高考后进行,学生在校期间只有一次考试机会,考试成绩当年有效。

那么,为什么要实行等级考试?等级考试成绩又如何进行转换呢?此次高考改革最大的亮点就是打破了文理分科的限制,增加了学生的选择,学生可以在6个等级考试科目中任选自己喜欢的3个科目。学生参加高考录取的3个等级考试科目可能是不同的,在全省范围内将会出现20种不同的组合,而高校在招生录取时依据的是最后的高考成绩。不同科目的学习难度和考试区分度是不同的,不能采取各个科目的考试成绩直接相加的方式,只有实行等级考试并将考试成绩进行相应的等级转换才能解决不同考试科目之间进行比较的问题。等级考试科目进行等级转换,一是能够较好解决学科之间分数不等值、学生选考科目分数不能直接相加而参加高校招生录取的问题;二是等级区间的比例依据山东考生的实际状况划定,经过严谨科学的测算,符合山东考生的实际整体状况,具有科学依据;三是能够保持每门等级考试科目内考生的成绩排名顺序不变,确保了考生成绩转换的公平公正;四是能够最大限度保证考生的成绩区分度,满足高校人才选拔的需要,确保全省考生在招生录取中的利益最大化。

等级考试科目的等级计分规则

将每门等级考试科目考生的原始成绩从高到低依次划分为A、B+、B、C+、C、D+、D、E共八个等级。参照正态分布原则,确定各等级人数所占比例分别为3%、7%、16%、24%、24%、16%、7%、3%。等级考试科目成绩计入考生总成绩时,将A~E等级内的考生原始成绩,依照等比例转换法则,分别转换到91~100、81~90、71~80、61~70、51~60、41~50、31~40、21~30八个分数区间,得到考生的等级成绩,如下图所示:

具体计分办法,举例说明如下:

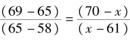
若考生小刘考了65分,经统计他所在成绩区间是C+级。C+级原始成绩的最高分为69分,最低分为58分,转换等级成绩后,C+级分数区间为61~70分。那么,小刘转换后的等级成绩为67分。具体计算公式为:设小刘转换后的等级成绩为x,则,由此计算出x=66.73≈67(四舍五入取整数)。

小刘原始成绩向等级成绩的转换如下图所示: