5.3.6 研究区工程建设适宜性评价
研究区的工程建设适宜性评价是在全面收集和掌握北京已有的关于该区域的工程地质、环境地质、水文地质、区域构造地质资料的基础上,对已有资料和补充勘察资料进行深入分析、分类整理、综合生成三维地层结构,获取该区的工程建设环境质量属性特征,建立研究区工程建设环境质量数据库,以综合评价研究区的工程建设环境质量和工程建设的适宜性,并预测可能发生的工程建设环境问题并给出建设开发的合理化建议,主要研究步骤包括以下几点(见图5-44)。
(1)收集研究区内的钻孔资料,主要数据包括钻孔坐标、分层标高及分层岩性。确定城市浅层(30m 范围内)地质结构岩土体的类型、分布规律;建立研究区工程建设层三维地层结构模型及空间力学参数模型。
(2)选取适宜性评价的方法———多目标模糊模式识别法。

图5-44 案例研究区域工程建设适宜性评价流程
(3)区划的目标是将研究区划分为建筑不适宜区、适宜性差区、较适宜区和适宜区,因此依据对研究区的区域地质背景、工程地质等条件的分析,选取研究区建筑适宜性评价的影响因子,建立评价指标体系。
(4)从已经建立的研究区三维地层结构模型及空间力学参数模型中提取评价因子数据,利用Map GIS软件的空间分析功能,基于多目标模糊模式识别法分别计算各评价单元的模糊值。
(5)建立研究区工程建设适宜性分区图,并在此基础上分析评价各区的地质特性及各建筑类型的合理性。
城市工程建设适宜性评价指标体系是用来表征具体地质环境特性和建筑适宜性的指标体系。目前,国内外没有统一的关于城市工程建设适宜性评价的指标体系,这是因为实际的工程地质环境千差万别,研究内容各有不同,建立统一的指标体系解决不同区域的建设适宜性评价是很难的。但是,可以根据影响城市工程建设的因素分析,建立相对统一的城市工程建设适宜性指标层次结构体系。
城市工程建设适宜性评价指标的特点如下。
(1)层次性
城市工程建设适宜性指标具有不同的层次组合,形成多层次的指标体系。这一特点要求其评价不可能一次完成,需多级计算,评价中应根据因素属性和影响程度,找出主要内容,分析因素之间消长的相互关系,按隶属关系构造递阶层次结构,再按层次评价。
(2)多样性
影响城市工程建设的因素十分复杂,评价指标十分繁多,构成一个十分复杂的指标系统。这就要求在具体评价时,一方面,为了便于应用,指标不应过于繁多;另一方面,评价方法要具有多样性,应广泛吸收现代地质学、系统科学的新理论、新方法,如模糊数学、神经网络、灰色理论、地理信息系统等,采取定性与定量相结合、理论与实践相结合的原则,多种方法相互论证、互相补充。
(3)模糊性
城市工程建设适宜性评价指标中的数据具有模糊性。一方面,各因素划分级别的指标界限是模糊的,有些指标界限是连续的,只是为了评价方便人为将其分割开来;另一方面,指标中的数据是模糊的,如地面变形分为轻度地面变形、一定程度的地面变形、严重程度的地面变形等。
(4)不确定性
城市工程建设适宜性评价中的有些指标不容易进行定量分析。一部分指标是人们在野外调查和分析中,用语言表达的;另一些则是通过仪器测量、试验获得的。在野外观察、描述复杂的地质现象时,常用“中软场地、有一定程度破坏”等方式来表达指标,由于描述方法不同而常出现单值、区间值甚至语言赋值等,这种表达方法具有不确定性。
研究区位于北京平原的东北部,主要由发源于北部山区的潮白河、温榆河等河流联合冲积形成,总体地势平缓,坡降1‰~3‰,条件优良;研究区部分区域有不良地质现象,多为已经探明的断裂带及由此引发的地裂缝,今后建造建筑物时应尽量避开,或在建筑物跨越地裂缝的部位设置沉降缝,或使用整体性好的基础形式;第四系沉积物覆盖层主要为人工堆积土、粉土、砂土、黏土及圆砾、卵石等,变化规律为自西向东沉积厚度由薄变厚,沉积颗粒由粗变细;松散土层均属于中压缩性土层,强度较高。
因此研究区工程建设适宜性评价一级评价因子,应选取区域稳定性、地基稳定性、地下水条件3个。由于影响地质环境质量的因素较多,为突出主要因子的作用,避免参评因子过多造成评价结果失真,每个一级评价因子下以选取3~4个二级评价因子为宜。
研究区工程建设适宜性评价指标体系及分级标准如表5-10所示。
表5-10 案例研究区域工程建设适宜性评价指标体系及分级标准

建筑的适宜性分区是多种因素综合作用的结果,但各因素的作用和地位是不同的。为了客观反映这种差异,采用层次分析法确定各因素的权重。
层次分析法(analytic hierarchy process,AHP)是通过两两因素对比,逐层比较多种关联因素,最后确定事物整体特征的方法。AHP的主要特点是定性与定量分析相结合,将人的主观判断用数量形式表达出来并进行科学处理,因此,更适合复杂的社会科学领域的情况,能较准确地反映社会科学领域的问题。同时,这一方法虽然有深刻的理论基础,但表现形式非常简单,容易被人理解、接受,因此得到了较为广泛的应用。
AHP是系统工程中经常使用的一种既简单又实用的方法。它常用于处理多因素、多层次、多目标的复杂系统问题和难以完全用定量方法来分析与决策的复杂系统工程问题;它可以将人们的主观判断用数量形式加以表达和处理,使主观判断尽可能与客观实际相符合。
运用AHP,大体上可按下面四个步骤进行:①分析系统中各因素间的关系,建立系统的层次结构;②对同一层次各元素关于上一层次中某准则的重要性进行两两比较,构造两两比较的判断矩阵;③由判断矩阵计算被比较元素对于该准则的相对权重,并进行判断矩阵的一致性检验;④计算各层次对于系统的总排序权重,并进行排序,最后得到各方案对于总目标的总排序。
下面分述上述四个步骤的实现过程。
5.3.6.1 建立层次结构模型
应用AHP分析决策问题时,首先要把问题条理化、层次化,构造出一个有层次的结构模型。在这个模型下,复杂问题被分解为元素组成部分,这些元素又按其属性及关系形成若干层次,上一层次的元素作为准则对下一层次的有关元素起支配作用。这些层次可以分为三类:①最高层(目标层):只有一个元素,一般是分析问题的预定目标或理想结果;②中间层(准则层):包括为实现目标所涉及的中间环节,它可以由若干个层次组成,包括所需要考虑的准则、子准则;③最底层(指标层):包括为实现目标可供选择的各种措施、决策方案等,本案例研究只选取了一层指标层,对同一层各因素的两两重要性做比较。
层次结构的层次数与问题的复杂程度及需要分析的详尽程度有关,一般层次数不受限制。每一层次中各元素所支配的元素一般不要超过9个,这是因为支配的元素过多会给两两比较带来困难。一个好的层次结构对于解决问题是极为重要的,如果在层次划分和确定层次元素间的支配关系上举棋不定,那么应该重新分析问题,弄清元素间的相互关系,以确保建立一个合理的层次结构。
5.3.6.2 构造两两比较的判断矩阵
在建立层次结构以后,上下层元素间的隶属关系就被确定了。下一步是要确定各层次元素的权重。对于大多数问题,特别是比较复杂的问题,元素的权重不容易直接获得,这时就需要通过适当的方法导出它们的权重。层次分析法中,利用决策者给出的判断矩阵导出权重。
5.3.6.3 权重向量和一致性指标
通过两两比较得到的判断矩阵不一定满足判断矩阵的互反性条件,AHP采用一个数量标准来衡量判断矩阵的不一致程度。为使各因素相对重要性量化,我们采用A.L.Saaty标度方法,如表5-11所示。
表5-11 A.L.Saaty标度的含义

对每一层次中各因素相对重要性的判断可以用标度值表示出来,写成判断矩阵,但是,在本案例中,通过计算与分析比较,判断矩阵一致性检验的结果并不理想。因此,又通过2n/2标度法进行调整,使判断矩阵具有良好的一致性。经过多次比较调整和检验,得出合理的判断矩阵及权重系数结果。
根据表5-11得到判断矩阵

层次分析法中层次单排序就是计算判断矩阵的最大特征值及对应的特征向量。采用线性代数理论及计算机处理技术,可得到精度较高的矩阵最大特征值及对应的特征向量。

其中,U 为评价指标的权重,CR 为随机一致性比率,CI为一致性指标,RI为平均随机一致性指标。
为保证其可信度,需要对判断矩阵一致性进行检验,亦即要计算CI。
![]()
其中,λmax为判断矩阵的最大特征值,n 是判断矩阵的元素个数。查平均随机一致性指标RI的值(见表5-12),只有当随机一致性比率CR= CI/RI<0.1时,单排序才认为合理,否则需要判断矩阵元素的取值。
表5-12 判断矩阵的平均随机一致性指标RI

对层次总排序也需作一致性检验,检验仍像层次总排序那样由高层到低层逐层进行。这是因为虽然各层次均已经过层次单排序的一致性检验,各成对比较判断矩阵都已具有较令人满意的一致性,但当综合考察时,各层次的非一致性仍有可能积累起来,引起最终分析结果较严重的非一致性。(https://www.daowen.com)
所谓层次总排序即指标层中各单因素在适宜性评价中的相对重要性的排序。为确保精度,对总排序按式(5-6)至(5-8)进行一致性检验。CI和CR 两项的值均小于0.1,方符合要求,即

影响研究区工程建设适宜性的主要因素为区域稳定性、地基稳定性和地下水条件,以此建立层次结构模型,如图5-45所示。

图5-45 案例研究区域工程建设适宜性评价层次结构
5.3.6.4 权重排序
利用上述层次分析法两两对比建立各个层次的比较矩阵,并用C语言编程计算出每个矩阵的特征向量并进行矩阵的一致性检验。经标准化处理后得出各个评价因子的权重如表5-13所示。
表5-13 案例研究区域工程建设适宜性评价因子权重

工程建设适宜性评价的方法很多,经过许多学者长期的研究,已经发展出了多种评价方法,如经验公式法、多元统计法、模糊评判方法等,各种方法各有优缺点,目前尚未有公认的最佳评价方法。多目标模糊模式识别法原则上能容纳一切影响因素信息,对于多因素的综合评判问题具有明显的优势。
评价单元的划分直接影响到评价的精度和准确度。本次研究采用1km×1km 的网格剖分1∶25 000研究区地质简图,共将其剖分为323个单元格,以每个单元格作为最小的适宜性评价单元。
根据模糊模式识别原理,将研究区建筑适宜性评价问题定义为有限论域U,把n= 323个待评单元作为U 中的各元素,且每个元素用9个指标来刻画,则可表示为

其中,uij为第i个单元第j 个指标的特征值(i= 1,2,…,323;j= 1,2,…,9)。并定义建筑适宜性分级为评价集合V,共分4个适宜性级别,表示为

其中,acj为第i个级别中第j 个指标的特征值(c= 1,2,3,4;j= 1,2,…,9)。
(1)隶属度的确定
通常按1~4级指标标准特征值的增减将隶属度函数分为递增型和递减型。
递增型即指标特征值越大,该指标对相对优属度γij越大,有
![]()
递减型即指标特征值越大,该指标对相对优属度γij越小,有
![]()
其中,aimax,aimin表示在矩阵V 中,对指标j= 1,2,…,9的特征值取最大值、最小值;γij为第i个评价单元第j个指标对优的相对隶属度(i= 1,2,…,323;j= 1,2,…,9)。
由此得到n= 323个评价单元9个指标的相对隶属度矩阵

由上面的分析可知,在矩阵V 中必然存在一个最优级别,其各指标的相对隶属度γij均为1;同时也必然存在一个最劣级别,其各指标的相对隶属度γij均为0。
(2)权重的确定
确定了样本对优的隶属度之后,用w 来反映不同的评价指标对于评价结果的权重,给出权重向量w=(w 1,w 2,…,w 9),w 满足归一化条件。
(3)构造模糊模式识别模型
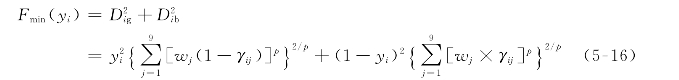
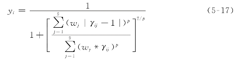
多目标模糊模式识别的算子有多种,其中加权平均算子不会导致信息丢失,因此选用基于权广义距离平方和最小的模糊模式识别模型。
若用y i表示样本i的相对优属度,则(1- y i)表示了样本i对相对劣属度;在模糊集理论中,隶属度可表示为权重,式(5-14)和(5-15)分别以y i和(1- y i)为权重,计算样本i距最优级别和最劣级别的距离。
样本i加权距优距离可表示为

样本i加权距劣距离可表示为

其中,p 为距离系数,p= 1时为海明距离,p= 2时为欧氏距离。
为求解y i,建立如下优化准则:样本i的加权距优距离平方与加权距劣距离平方之总和为最小,即目标函数为

对y i求偏导数并使之等于零,解得

式(5- 17)为基于权广义距离平方和最小的模糊模式识别模型。
通过式(5-17)计算出各待评单元的模糊值后,通过查算各评价对象的模糊集表(见表5-14),定出各待评单元的级别。
将查算表5-14得出的各待评单元的适宜性等级做成excel表格,导入GIS软件中,作出研究区工程建设适宜性分区图,并得出以下几点。
表5-14 案例研究区域工程建设适宜性分级

(1)建设适宜区:该区域面积为32km2,主要分布于研究区的东北部,所占面积最小。该区土层承载力高、压缩性低,地基土强度大、变形小;无地震液化和地裂缝等不良地质现象。在此区域采用天然地基上的箱型基础和长度适中的桩基础就可以满足高层建筑物的要求。这里应该是城市用地条件较好的地区,但其在工程建设上也存在一些自身的限制。这反映出随着城市用地的扩展,由于受到多方面的限制,自然条件较好、限制条件少的适宜城市发展的用地空间所剩不多。
(2)建设较适宜区:该区域面积为128km2,主要分布于研究区的东北部,西南区也有零星分布,在全区范围内占据面积最大。该区土层承载力较高、压缩性低,地下水埋藏较深;由于活动断裂的影响,存在一些地裂缝,但地裂缝规模较小,数量较少;存在轻微砂土液化现象。虽然在利用上有一定的限制条件,但是地基土的承载力较好,从工程建设角度分析,修建高层建筑物一般需要一定的地基处理;采用天然地基上的浅基础或片筏基础就可以满足多层建筑物的要求;能够完全满足低层建筑物的要求。
(3)建设适宜性差区:该区域面积为112km2,主要分布于研究区的西南部,在全区范围内所占面积较大。该区工程地质稳定性较差,地基承载力低、压缩性高,地下水埋深比较浅;地表下20m 深度内分布有粉土和砂土,建设时要进行排水、地基加固和砂土液化处理;区域内地裂缝发育较多,对修建的建筑物有较大影响。从工程建设角度分析,满足低层建筑物的要求;修建多层建筑物需要进行地基处理,费用较高;修建高层建筑物需要进行地基加固处理,费用高。
(4)建设不适宜区:该区域面积为48km2,主要分布于研究区的西南部,面积较小。该区工程地质稳定性很差,且处于活动断裂带之上,曾发现一条因地面沉降而形成的地裂缝,这条长约25km 的地裂缝造成了大量建筑物的开裂损坏,经修补和治理均无效。该区域在利用上有较大限制,容易引起人居环境的不稳定,因此,可以适当规划一些绿地等景观,若必须进行工程建设,最好是修建低层建筑物,并在建筑物跨越地裂缝的部位设置沉降缝,或使用整体性好的基础形式。